View Article

Abstract

A sensitive, quick, precise, accurate, robust, and ecofriendly Q- absorption ratio spectrophotometric technique was developed and validated for estimation of Rifampicin and Quercetin in two dissolution media pH - 6.8 phosphate buffer and 0.1 M Hydrochloric acid and successfully applied for estimation of liquisolid formulation. Rifampicin and Quercetin showed an iso-absorptive point at 420 and 411 nm in pH - 6.8 phosphate buffer and 0.1 M Hydrochloric acid respectively. The second wavelength used was 368 and 367 nm which is ?max of Quercetin in pH - 6.8 phosphate buffer and 0.1 M Hydrochloric acid respectively. The concentration of the drugs was determined by using ratio of absorbance at iso-absorptive point and at the ?max of Quercetin. This method is linear for Rifampicin; in range of 2–12 ?g/ml (R2 > 0.9970) and for Quercetin; in the range of 2-12 ?g/ml (R2 > 0.9995) in both dissolution media. The % Recovery was 95.18 – 98.15 % of Rifampicin and 93.58 – 97.89 % of Quercetin by standard addition method. The method was found to be precise as % RSD was less than 2.00 in Repeatability, Interday and Intraday precision. The % assay of drugs in liquisolid formulation was found to be 95.79 % for Rifampicin and 96.29 % for Quercetin which showed good applicability of the developed method. Moreover, the novel Analytical GREEnness (AGREE) metrics, the analytical eco-scale, and the green analytical procedure index (GAPI) were utilized to evaluate the developed technique’s environmental sustainability.

Keywords

Quercetin (QUE), Rifampicin (RIF), Isoabsorptive point, Q-absorbance ratio method.

Introduction

Mycobacterium tuberculosis, which most frequently infects the lungs, is the cause of the life-threatening dangerous disease known as tuberculosis (TB). Droplets from the lungs and throat of patients with active respiratory illness are used to transmit it from one person to another. After AIDS, it is the second most frequent infectious disease-related cause of mortality worldwide. A predicted 10.8 million new cases of Tuberculosis were discovered in 2023. Geographically, Africa and Asia have the greatest prevalence of TB. Together, India and China are responsible for about 40% of all TB cases worldwide [1–3]. Streptomyces mediterranei is used to make the semi-synthetic antimicrobial Rifampicin. It exhibits a broad spectrum of antibacterial activity, including activity against different Mycobacterium species. It slows the start of RNA synthesis in sensitive species by blocking DNA-dependent RNA polymerase function by establishing a stable interaction with the enzyme [4]. Some people who take antituberculosis medications have hepatotoxicity, which can end in rapid liver failure and death. Such occurrences restrict the therapeutic application of medications, which contributes to treatment failure and may result in antibiotic resistance. However, a few unfavourable effects of these medications have been documented, including ototoxicity, neurotoxicity, nephrotoxicity, hypersensitivity GI toxicity, and CNS toxicity. Consequently, higher doses are often required to achieve therapeutic efficacy, which increases the risk of resistant tuberculosis strains, prolongs treatment duration, reduces patient compliance, impairs immune function, and exacerbates lung tissue damage [5–7]. To overcome the above problems inclusion of Quercetin (QUE) will reduce the adverse effect associated with the present Tuberculosis treatment. It is used to increase the bioefficacy and bioavailability of various classes of drugs, including antitubercular, antiviral, antibiotic and antifungal. According to the literature review Quercetin also having Anti-tuberculosis activity. So, combining Quercetin with Rifampicin will give synergistic activity and it is proven by conducting Minimum inhibitory concentration test on H37Rv species by L. J. Slope method. Additional advantages in the treatment of tuberculosis include hepatoprotective and immunomodulators qualities [8,9]. A flavonoid called quercetin is an aglycone derivative of several other flavonoid glycosides that can be present in citrus fruits. It has antioxidant, anti-inflammatory, anti-radical and anti-atherosclerotic properties. Inhibiting CYP3A4 and the P-Gp efflux pump is how it functions. Diltiazem, digoxin, verapamil, etoposide, and paclitaxel are a few of the medications whose blood level, bioavailability and effectiveness have been demonstrated to be improved by quercetin [10–13]. Literature survey reveals various UV-spectroscopy [14,15], RP-HPLC [16–20] and HPTLC [21–25] methods are available determine for the purpose of RIF individually and in different formulations when combined with other medications. Several methods have been reported like HPLC [26–30], UV spectroscopy [31,32] and HPTLC [33–41] determine for the purpose of QUE individually and in different formulations when combined with other medications. One HPTLC method were reported for this combination [42]. HPTLC method involves multiple steps like sample spotting, plate development, and densitometry, which are more complex. Required consumable costs like TLC plates, solvents, and reagents. Slower due to the time required for plate development, drying, and densitometric scanning. The chromatographic techniques listed above are widely used and advised, but they also call for sophisticated, pricey equipment, space for the use and dispose of solvent, employment sample preparation processes, and special abilities. The emphasis on green chemistry is rapidly growing, presenting chemists with the critical challenge of innovating products, processes, and services that align with essential social, economic, and environmental objectives. This shift is driven by heightened global awareness of environmental safety, pollution control, sustainable industrial practices, and clean production technologies. Analytical methods often rely on volatile organic compounds as solvents, which pose significant risks as hazardous air pollutants and are frequently flammable, toxic, or carcinogenic. To promote environmental sustainability, adopting eco-friendly alternatives to toxic organic solvents, minimizing solvent usage, and employing biodegradable options in spectroscopy are key strategies for making these methods more environmentally responsible [43,44]. Moreover, UV spectroscopy for routine analysis is more environmentally friendly than HPTLC (Supplementary material 1). The objective of the current investigation was to develop and validate a quick, simple, reliable and affordable Q-ratio UV spectrophotometric technique for the analysis of RIF and QUE in developed liquisolid pharmaceutical formulations because there is currently no simple UV spectrophotometric technique for the assay of RIF and QUE in combined dosage form.

MATERIALS AND METHODS

    1. Materials and Reagents

Analytical grade RIF and QUE were bought from Swapnroop Drugs and Pharmaceuticals, Aurangabad, Maharashtra, India. Merck, Mumbai, India, bought sodium hydroxide, potassium hydrogen orthophosphate, and hydrochloric acid. pH-6.8 Phosphate buffer and 0.1 M Hydrochloric acid was set up as per Indian Pharmacopeia. Throughout the test, double-refined water was used.

    1. Instrumentation

The absorbance of each solution was measured using a UV-spectroscopy (1800, Shimadzu, Japan) with a 2 nm spectral width, 0.5 nm wavelength precision and a set of quartz cells (10 mm). With the help of Ultra violet system software version 2.34, spectrum was immediately recorded. In the investigation, an ultrasound bath (Frontline FS 4 from Mumbai, India) and electronic balance (Model AUX220, Shimadzu Ltd., Japan) were both employed.

    1. Standard drug solution preparation

Accurately weigh 10 mg of RIF and QUE individually and transferred into 10 ml volumetric flask diluted with methanol to prepare 1000 µg/ml solution. Two working standard solutions of 100 µg/ml of RIF and QUE were prepared by withdrawing 1 ml from the above standard solution and diluted with pH-6.8 Phosphate buffer and 0.1 M Hydrochloric acid. Further different concentration of RIF and QUE was prepared by diluting 100 µg/ml solution for method development and validation.

    1. Q-ratio method development

Utilizing the proportion of absorbances at two chosen wavelengths—one of which represents an isoabsorptive point and the other the λmax of one of two components is the Q-Absorbance ratio method. Working standard solutions with concentrations between 2 to 12 g/ml for both RIF and QUE were created in two different dissolution media. The absorbances at the isoabsorptive point and λmax of a different drug were then measured, and the absorptivity coefficients were determined using a calibration curve. The concentration of two medications in the mixture can be calculated using the formulae below [45–49].

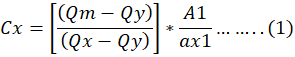
Cx=Qm-QyQx-Qy*A1ax1……..(1)

 

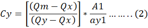
Cy=Qm-QxQy-Qx*A1ay1……..(2)

 

Where, A1 and A2 are mixtures absorbances at isoabsorptive point and λ-max of another drug, ax1, ay1, ax2 and ay2 are absorptivities of RIF and QUE. Qx = ax2 / ax1, Qy = ay2 / ay1 and Qm = A2 / A1.

    1. Linearity

Aliquots of the standard solution of QUE and RIF (0.2-1.2 ml of 100 µg/ml) equivalent to 2-12 µg/ml were precisely poured into series of 10 ml quantitative flasks, and the volume was brought up to the required level with 0.1 M HCl. Then, we measured each solution's absorbance between 200 and 800 nm. A series of 10 ml graduated flasks were filled to the proper level with pH-6.8 phosphate buffer, and aliquots (0.4-1.2 ml of 100 µg/ml) of the QUE and RIF standard solution (100 µg/ml) were properly quantified into each one. The absorption of each solution was then measured between 200 and 800 nm [45–49].

    1. Repeatability

Repeated scans and measurements of the absorbance of solutions (n = 6) for RIF and QUE (6 µg/ml for both medications) were used to assess the method's accuracy without altering any of its parameters [50].

    1. Precision Study

By analysing the corresponding responses three times on the same day and three times on three different days over the course of one week for three different concentrations of standard solutions of RIF and QUE (4, 6, and 8 µg/ml for both drugs), the interday and intraday precision of the suggested technique was assessed. Relative standard deviation (% RSD) was used to express the outcome [50].

    1. Detection limit and Quantification limit

The signal-to-noise ratio was calculated using the following equations, which were specified by ICH recommendations, to determine the quantification limit and detection limit of the medication [50].

Detection limit LOD=3.3*σS  and Quantification limit LOQ=10*σS

 

Where, σ = the standard deviation of the intercept and S = slope of the calibration curve.

    1. Accuracy (Recovery Study)

By using the conventional addition approach to calculate the recoveries of RIF and QUE, the accuracy of the technique was evaluated. To prequantified test solution of RIF and QUE (4 µg/ml for both drugs), known concentrations of standard solutions of QUE and RIF were added at levels of 50, 100, and 150%. Applying the acquired values to the corresponding regression line equations allowed us to estimate the quantities of QUE and RIF [50].

    1. Selectivity

The selectivity of the developed method was evaluated by analyzing placebo solutions. A mixture of non-volatile solvents Tween 20, PEG 200, and propylene glycol was adsorbed onto Avicel pH-102, Aeroperl 200, and Aerosil 200, all of which were prepared in combinations of amounts corresponding to the liquid-solid formulations. These solutions were examined using the proposed technique to determine if the formulation elements would affect the measurements of RIF and QUE [50].

    1. Solution stability study

Stability studies of the analytes in 0.1 M HCl and pH 6.8 phosphate buffer were performed at 25 °C for 48 h.

    1. Robustness

The main goal of the robustness assessment is to determine how sensitive the results are to intentional biases that may occur when performing these analytical procedures. The robustness of the developed method was demonstrated in this study by varying the wavelength by 2 nm at room temperature (25 ± 0.5 °C). Working concentrations of 8 μg/ml RIF and QUE in 0.1 M HCl and pH 6.8 phosphate buffer were selected and the RSD (%) of the means was calculated. [50]

    1. Liquisolid formulation analysis

Transfer the 800 mg of the liquid-solid formulation, which is equal to 150 mg of RIF and 150 mg of QUE, into two separate 100 ml amber-colored graduated flasks. Put 70 ml of pH-6.8 phosphate buffer and 0.1 M HCl into a different flask and sonicate for 15 minutes. With each of the two solvents mentioned above, dilute the volume to the mark. Place a 1 ml solution in a separate 10 ml graduated flask. To get 150 µg/ml of QUE and RIF, dilute it up to the mark with the solvents. To make 6 µg/ml of RIF and QUE, take 0.4 ml of the 150 µg/ml solution and diluted it up to the mark with the solvents. At the isoabsorptive point and λmax of a different medication respectively, the absorbance of sample solutions A2 and A1 was measured. Using equation (2) and (1), the concentration of the sample solution was estimated. The liquisolid formulation was used three times throughout the analysis process. [51]

    1. Assessment of greenness and ecological sustainability

To assess the environmental sustainability of the developed method, we employed a comprehensive suite of evaluation tools: the Green Analytical Procedure Index (GAPI), Analytical GREEnness (AGREE), Analytical Eco-Scale and Blue Applicability Grade Index (BAGI). [43,44,52–56]

      1. Evaluation of analytical GREEnness scale (AGREE)

AGREE is a tool used to assess the environmental sustainability of analytical methods, grounded in the twelve fundamental principles of green analytical chemistry (GAC). At the center of the AGREE pictogram, a graphical representation illustrates the adherence of the method to these principles, along with an overall score. Each principle's impact is quantified on a scale from 0 to 1, where higher values indicate greater compliance. A perfect sustainability score of 1 is represented by a dark green colour, symbolizing optimal environmental friendliness.

      1. Eco-scale assessment

The Analytical Eco-Scale Tool (AES) is another method for assessing the environmental sustainability of analytical procedures. This approach assigns penalty points (PP) to various factors, such as the use of hazardous reagents, energy consumption, and waste production. The total PP for a procedure is calculated and subtracted from 100 to determine the AES score using the formula: AES = 100 - total PP. Scores are categorized as follows: above 75 reflects excellent green analysis, 50 to 75 indicates satisfactory green analysis, and below 50 signifies poor green analysis. This tool was applied and compared to an established HPLC method to evaluate the AES of the proposed methodology.

      1. Green analytical procedure index (GAPI)

GAPI (Green Analytical Procedure Index) consists of 15 parameters represented by five pentagonal sections. It is used to evaluate the environmental impact of an analytical method by examining each step, including sample preparation, sample volume, reagent and solvent usage, associated health risks, instrumentation, and the quantity and management of waste generated. A color-coded system is employed: green signifies minimal environmental impact, yellow represents moderate impact, and red indicates a significant environmental burden. The GAPI tool was utilized to assess the environmental sustainability of the proposed method.

      1. Blue applicability grade index (BAGI)

The BAGI (Bio-Analytical Green Index) is a key metric in analytical chemistry, particularly within the framework of white chemistry. It evaluates the appropriateness and efficiency of analytical methods by analyzing various performance parameters. A higher BAGI score indicates that the method is both highly reliable and well-suited for its intended analytical purpose. This framework assesses methods based on ten specific criteria, producing a pictogram and numerical score that together reflect their overall practicality. By combining these evaluation tools, BAGI provides a comprehensive assessment of an analytical method's environmental impact and practical applicability, contributing to a holistic approach in white chemistry.

RESULTS AND DISCUSSION

    1. Q-ratio method

The main prerequisite for the absorbance ratio approach (Q-analysis), which was met in the case of both drugs, is that the complete spectra should follow Beer's law at all wavelengths. The calibration curves for both drugs were constructed at two wavelengths, 367 nm (λmax of QUE) and 411 nm (isoabsorptive point) for the measurement of the drugs in HCl (0.1 M).

Figure 1. Combined absorption spectra of RIF and QUE showed isoabsorptive point (411 nm) in HCl (0.1 M).

To analyse the drug in phosphate buffer (pH-6.8), calibration curves for both drugs were developed at two wavelengths: 368 nm (λmax of QUE) and 420 nm (isoabsorptive point). Figure 1 and 2 show the combined UV absorption spectra of RIF (338 and 469 nm) and QUE (367 nm), respectively, with the isoabsorptive point (411 nm) in HCl (0.1 M) and the isoabsorptive point (420 nm) in phosphate buffer (pH-6.8), respectively.

Figure 2. Combined absorption spectra of RIF and QUE showed isoabsorptive point (420 nm) in pH-6.8 phosphate buffer.

Linearity study

The standard logistic regression assessment confirmed the linearity of the proposed method, demonstrating a strong correlation for both drugs. The generated calibration curve was straight over the concentration range of 2–12 μg/ml for RIF and QUE in 0.1 M HCl and 4–12 μg/ml for RIF and QUE in pH–6.8 phosphate buffer. The newly proposed technique has a strong linear relationship, as shown by the correlation coefficient (R2) corresponding to the best-fitting line, which was higher than 0.995 indicates a robust linear relationship, validating the accuracy and reliability of the method for quantitative analysis. The data of linearity along with % RSD for RIF and QUE is as shown in Table 1.

    1. Repeatability

The repeatability study of RIF and QUE across different wavelengths and solvents demonstrates excellent precision, reflected in low standard deviation (SD) and %RSD values. At 367 nm and 411 nm in 0.1 M HCl, QUE shows superior repeatability (%RSD: 0.26 % and 1.70 %, respectively) compared to RIF (%RSD: 1.46 % and 1.84 %, respectively). In pH 6.8 buffer, QUE at 368 nm exhibits minimal variability (%RSD: 0.46 %) versus RIF (1.68 %). At 420 nm, both drugs demonstrate comparable precision with %RSD values below 2 %. These findings confirm the analytical method's reliability for RIF and QUE quantification, crucial for pharmaceutical applications (Table 1).

    1. Precision study

The intraday precision study shows low %RSD values (<2%), confirming excellent precision for RIF and QUE across concentrations in 0.1 M HCl and pH 6.8 buffer. QUE demonstrated superior precision (0.16–1.96% RSD) compared to RIF. These results validate the reliability and repeatability of absorbance measurements in both media. The interday precision study of RIF and QUE in 0.1 M HCl and pH 6.8 phosphate buffer shows acceptable % RSD values (< 2%). RIF exhibited higher precision at lower concentrations (0.91–1.90 %) across both media, while QUE showed consistent % RSD across concentrations, ensuring reproducibility in multiple dissolution conditions (Table 1).

Table 1. Rifampicin and quercetin's linear regression parameter and a description of their validation parameters in pH-6.8 phosphate buffer and 0.1 M HCl.

 

Regression and Validation parameters

RIF

QUE

0.1 M HCl

Wavelength

367 nm

411 nm

367 nm

411 nm

Linearity range (µg/ml)

2 to 12

2 to 12

2 to 12

2 to 12

Regression equation

y = 0.0146x - 0.0061

y = 0.0075x - 0.0042

y = 0.0078x - 0.0034

y = 0.0666x - 0.0036

Correlation co-efficient

0.9971

0.9978

0.9996

0.9998

Slope ± SD

0.0146 ± 0.0005

0.0075 ± 0.0021

0.0666 ± 0.0036

0.0078 ± 0.0025

Intercept ± SD

0.0061 ± 0.0001

0.0042 ± 0.0009

0.0036 ± 0.0019

0.0034 ± 0.0026

Detection limit (µg/ml)

0.047

0.132

0.035

0.005

Quantification limit (µg/ml)

0.143

0.401

0.108

0.017

(%RSD, n=6) Repeatability

0.9 – 1.46

1.0 – 1.84

0.26-0.58

1.7-1.91

Intermediate Precision

 

 

 

 

(%RSD, n=3) Intraday

0.9-1.26

1.16-1.78

0.25-1.40

1.04-1.96

(%RSD, n=3) Interday

0.92-1.68

0.57-1.24

0.21-1.92

0.97-1.87

Regression and Validation parameters

pH-6.8 Phosphate buffer

Wavelength

368 nm

420 nm

368 nm

420 nm

Linearity range

4 – 12 µg/ml

4 – 12 µg/ml

4 – 12 µg/ml

4 – 12 µg/ml

Regression equation

y = 0.0074x - 0.0252

y = 0.0073x - 0.0214

y = 0.0624x - 0.0186

y = 0.0066x - 0.0204

Correlation co-efficient

0.9993

0.9979

0.9995

0.9989

Slope ± SD

0.0074 ± 0.0003

0.0073 ± 0.0021

0.0624 ± 0.0036

0.0066 ± 0.0025

Intercept ± SD

0.0252 ± 0.0096

0.0214 ± 0.0096

0.0186 ± 0.0081

0.0204 ± 0.0064

Detection limit (µg/ml)

0.031

0.024

0.291

0.057

Quantification limit (µg/ml)

0.095

0.075

0.029

0.172

(%RSD, n=6) Repeatability

1.19-1.68

0.96-1.50

0.16-0.46

0.64-1.73

Intermediate Precision

 

 

 

 

(%RSD, n=3) Intraday

1.21-1.82

0.29-1.62

0.66-1.01

0.6-1.96

(%RSD, n=3) Interday

0.6-1.12

1.29-1.81

0.57-1.66

0.91-1.82

RSD = Relative standard deviation, SD = Standard deviation

Detection limit and Quantification limit

At the isoabsorptive point, the detection limit and quantification limit of the proposed technique in HCl (0.1 M) were determined to be 0.132 and 0.401 µg/ml for RIF and 0.005 and 0.017 µg/ml for QUE. detection limit and quantification limit were determined to be 0.024 and 0.075 µg/ml for RIF and 0.057 and 0.172 µg/ml for QUE at isoabsorptive point in phosphate buffer (pH-6.8) (Table 1). In pH 6.8 phosphate buffer, RIF and QUE limits were slightly higher, confirming media influence.

    1. Accuracy (% Recovery)

The % Recovery of RIF in 0.1 M HCl was found to be 96.38 % at 367 nm and 96.43 % at 411 nm and in pH-6.8 phosphate buffer was found to be 95.96 % at 368 nm and 96.35 % at 420 nm. The % Recovery of QUE in HCl (0.1 M) was found to be 96.88 % at 367 nm and 96.40 % at 411 nm and in pH-6.8 phosphate buffer was found to be 96.36 % at 368 nm and 94.61 % at 420 nm (Table 2). These results highlight method precision and reliability across both dissolution media.

Table 2. QUE and RIF % Recovery data in 0.1 M HCl and pH-6.8 phosphate buffer

 

Drug

Amount Taken

(µg/ml)

Amount added

(µg/ml)

% Recovery ± SD (n = 3)

0.1 M HCl

pH-6.8 Phosphate buffer

367 nm

411 nm

368 nm

420 nm

RIF

4

2

96.15 ± 0.26

97.59 ± 0.87

94.57 ± 0.69

95.48 ± 0.57

4

4

97.45 ± 0.36

96.49 ± 0.25

98.15 ± 0.54

96.56 ± 0.48

4

6

95.56 ± 0.89

95.23 ± 0.55

95.18 ± 0.61

97.01 ± 0.44

QUE

4

2

96.78 ± 0.79

95.47 ± 0.23

96.48 ± 0.89

95.69 ± 0.15

4

4

97.89 ± 0.98

96.97 ± 0.78

95.47 ± 0.81

94.58 ± 0.26

4

6

95.98 ± 0.48

96.78 ± 0.52

97.15 ± 0.59

    1. ± 0.78

SD = Standard deviation

Selectivity

The developed method did not indicate any interference from the additives and excipients in the detection of RIF and QUE from the studied liquisolid formulation thereby demonstrating the method’s selectivity for the analysis.

    1. Solution stability study

The data obtained showed that the sample solutions of both analytes in methanol were stable for 48 h at 25 °C.  

    1. Robustness study

The results of tests related to resilience are listed in Table 3. The findings show that minor deliberate wavelength changes had no discernible effect on the mean peak absorbance of QUE and RIF. This suggests the robustness of the recommended approach.

Table 3. Robustness study of Q-ratio technique for RIF and QUE in two different media

 

Drug

Wavelength (nm)

Concentration

(µg/ml)

Mean Absorbance ± SD

%RSD

0.1 M HCl

RIF

365

8

0.124 ± 0.0010

0.81

367

8

0.111 ± 0.0015

1.37

369

8

0.108 ± 0.0020

1.85

QUE

365

8

0.499 ± 0.0025

0.50

367

8

0.524 ± 0.0020

0.38

369

8

0.542 ± 0.0040

0.75

 

pH-6.8 Phosphate buffer

RIF

366

8

0.035 ± 0.0006

1.63

368

8

0.033 ± 0.0005

1.58

370

8

0.030 ± 0.0006

1.81

QUE

366

8

0.452 ± 0.0026

0.58

368

8

0.475 ± 0.0035

0.73

370

8

0.489 ± 0.0010

0.20

RSD = Relative standard deviation, SD = Standard deviation

Liquisolid formulation analysis

The validated Q-ratio method was used in the analysis of the liquid-solid dosage form of RIF and QUE with label claim of 150 mg RIF and 150 mg QUE per dosage form. The % mean drug concentration was found to be 95.79 % for RIF and 96.29 % for QUE. The outcomes were in line with what the label claimed. The developed methods can be a suitable complement to the existing ones. The approaches are advantageous because they make quality control of mixtures, routine analysis and tablet formulations incorporating these two medicines simple to do and less expensive.

    1. Whiteness, greenness and blueness assessment of proposed method

Using a greenness calculator, twelve rules were applied to create a clock-like AGREE pictogram, which displays a score in the center and assesses the environmental impact from deep green to deep red. The proposed UV method achieved an AGREE score of 0.65, with a predominantly green hue (Fig. 3). The Analytical Eco-Scale is a useful semiquantitative tool that calculates a numerical score indicating the method’s greenness by subtracting penalty points from a total of 100 for each negative environmental effect (such as waste generation, high energy consumption, and hazardous reagents). Considering the hazard pictograms in the Eco-Scale calculation, the developed method was rated as an excellent green method with an Eco-score of 84 (Table 4).

Table 4. Eco scale obtained penalty points for the developed UV method.

 

Items of the method

Value

Penalty points

Reagents

0.1 M Hydrochloric acid

< 10 ml

6

pH-6.8 phosphate buffer

0

Instrument

UV spectroscopic method

< 0.1 Kwh/sample

0

Hazard (physical, environmental, health)

0.1 M Hydrochloric acid)

More severe hazard

4

pH-6.8 phosphate buffer)

None

0

Waste

10 - 100 ml

6

Total penalty points

 

16

Analytical eco scale score (UV method)

 

84

Through the GAPI it has been demonstrated that the proposed method poses a low risk to the environment. The findings are illustrated using a color-coded pictogram with five pentagrams representing sample preparation, reagent and solvent use, instrumentation, and method type, as well as a hexagon representing pre-analysis pro cesses. Green indicates a significantly safer environmental impact, yellow indicates a moderate impact, and red indicates a risky impact that should be avoided. The proposed UV method produced twelve green, five red and nine yellow colours, with an E factor of 2 (Figure 3). The results obtained using the BAGI tool indicated a score of 82.5 for the developed method (Figure 3), demonstrating the method’s practicality and applicability, thereby confirming that it can be easily implemented.

Figure 3. Greenness assessment results of UV spectroscopic method.

CONCLUSION

The suggested spectrophotometric method for determining RIF and QUE in Liquisolid dose form was found to be rapid, accurate, precise, and robust. The method proved economical for estimating RIF and QUE from Liquisolid dosage form because it uses a readily available and inexpensive solvent for RIF and QUE analysis. It is convenient to use the Liquisolid dosage form for routine quality control analysis of the pharmaceuticals in combined pharmaceutical formulations since the common excipients and other additives that are typically present in it do not interfere with the analysis of RIF and QUE in technique. However, the greenness assessment underscored its minimal environmental impact, reinforcing its suitability for routine laboratory use.

ACKNOWLEDGMENTS

The authors acknowledge the receipt of pure Rifampicin as gift from Intas Pharmaceutical Pvt., Ltd., Ahmedabad, Gujarat, India. Authors are also thankful to Anand Pharmacy College for their technical support.

Supplementary Material

Green assessment of reported HPTLC method by AGREE, GAPI, BAGI and Eco scale.

 

Items of the method

Value

Penalty points

Reagents

Chloroform

<10 ml

1

Methanol

6

Formic Acid

6

Ethyl Acetate

5

Benzene

7

Instrument

HPTLC

<1.5 Kwh/sample

1

Hazard (physical, environmental, health)

Reagent hazardous (Chloroform)

More severe hazard

2

Reagent hazardous

(Methanol)

Less severe hazard

1

Reagent hazardous

(Formic Acid)

More severe hazard

2

Reagent hazardous

(Ethyl Acetate)

More severe hazard

2

Reagent hazardous

(Benzene)

More severe hazard

2

Waste

>10ml

5

Total penalty points

 

40

Analytical eco scale score (HPTLC)

 

60

Analytical eco-scale score >75 = Excellent, >50 = Acceptable, <50 = Inadequate

REFRENCES

        1. WHO Global tuberculosis report 2023. Available from: https://www.who.int/teams/global-tuberculosis-programme/tb-reports/global-tuberculosis-report-2023
        2. Hari BNV, Chitra KP, Bhimavarapu R, Karunakaran P, Muthukrishnan N, Rani BS. Novel technologies: A weapon against tuberculosis. Indian J Pharmacol 2010; 42:338–44. https://doi.org/10.4103/0253-7613.71887.
        3. Das S, Tucker I, Stewart P. Inhaled dry powder formulations for treating tuberculosis. Curr Drug Deliv 2015; 12:26–39.       https://doi.org/10.2174/1567201811666140716123050.
        4. Khan MF, Rita SA, Kayser MS, Islam MS, Asad S, Rashid R Bin, et al. Theoretically guided analytical method development and validation for the estimation of rifampicin in a mixture of isoniazid and pyrazinamide by UV spectrophotometer. Front Chem 2017; 5:1–12. https://doi.org/10.3389/fchem.2017.00027.
        5. Campbell IA, Bah-Sow O. Pulmonary tuberculosis: diagnosis and treatment. BMJ 2006; 332:1194–7. https://doi.org/10.1136/bmj.332.7551.1194.
        6. El Khéchine A, Drancourt M. Diagnosis of pulmonary tuberculosis in a microbiological laboratory. Med Mal Infect 2011; 41:509–17.        https://doi.org/10.1016/j.medmal.2011.07.0
        7. Butov D, Zaitseva S, Butova T, Stepanenko G, Pogorelova O, Zhelezniakova N. Efficacy, and safety of quercetin and polyvinylpyrrolidone in treatment of patients with newly diagnosed destructive pulmonary tuberculosis in comparison with standard antimycobacterial therapy. Int J Mycobacteriol 2016; 5:446–53.      https://doi.org/10.1016/j.ijmyco.2016.06.012.
        8. Prasad R, Singh A, Gupta N. Role of Bioenhancers in Tuberculosis. Int J Health Sci Res 2016; 6:307–13.
        9. Javed S, Ahsan W, Kohli K. The concept of bioenhancers in bioavailability enhancement of drugs – a patent review. Journal of Scientific Letters 2016; 1:143–65.
        10. Drabu S, Khatri S. Use of Herbal Bioenhancers to Increase the Bioavailability of Drugs. Res J Pharm Biol Chem Sci 2011; 2:107–19.
        11. Kesarwani K, Gupta R, Mukerjee A. Bioavailability enhancers of herbal origin: an overview. Asian Pac J Trop Biomed 2013; 3:253–66.      https://doi.org/10.1016/S2221-1691(13)60060-X.
        12. Randhawa GK, Kullar JS, Rajkumar. Bioenhancers from mother nature and their applicability in modern medicine. Int J Appl Basic Med Res 2011; 1:5–10.        https://doi.org/10.4103/2229-516X.81972.
        13. Ajazuddin, Alexander A, Qureshi A, Kumari L, Vaishnav P, Sharma M, et al. Role of herbal bioactives as a potential bioavailability enhancer for Active Pharmaceutical Ingredients. Fitoterapia 2014; 97:1–14. https://doi.org/10.1016/j.fitote.2014.05.005.
        14. Nikita M, Patel V, Patel SK. Q-Absorbance Ratio Spectrophotometric Method for the Simultaneous Estimation of Ciprofloxacin, and Metronidazole in their Combined Dosage Form. Journal of Pharmaceutical Science and Bioscientific Research 2012; 2:118–22.
        15. Swamy N, Basavaiah K, Vamsikrishna P. Stability-indicating UV-spectrophotometric Assay of Rifampicin. Insight Pharmaceutical Sciences 2018; 8:1–12.       https://doi.org/10.5567/IPHARMA-IK.2018.1.12.
        16. Shah U, Jasani A. UV spectrophotometric and RP- HPLC methods for simultaneous estimation of Isoniazid, Rifampicin and piperine in pharmaceutical dosage form. Int J Pharm Pharm Sci 2014; 6:274–80.
        17. Raul SK, Mahapatra AK, Ravi Kumar BVV, Patnaik AK. Stability indicating RP-HPLC method for the estimation of lacosamide in bulk and pharmaceutical dosage form. J Chem Pharm Res 2013; 5:732–9.
        18. Shah P, Pandya T, Gohel M, Thakkar V. Development and Validation of HPLC method for simultaneous estimation of Rifampicin and Ofloxacin using experimental design. Journal of Taibah University for Science 2019; 13:146–54.       https://doi.org/10.1080/16583655.2018.1548748.
        19. Khatak S, Khatak M, Ali F, Rathi A, Singh R, Singh GN, et al. Development and validation of a RP-HPLC method for simultaneous estimation of antitubercular drugs in solid lipid nanoparticles. Indian J Pharm Sci 2018; 80:996–1002.     https://doi.org/10.4172/pharmaceutical-sciences.1000449.
        20. Shah U, Patel S, Raval M. Stability Indicating Reverse Phase HPLC Method for Estimation of Rifampicin and Piperine in Pharmaceutical Dosage Form. Curr Drug Discov Technol 2018; 15:54–64.      https://doi.org/10.2174/1570163814666170619092224.
        21. Puthusseri S, Mathew M. Validated HPTLC method for simultaneous estimation of rifampicin, isoniazid, and pyridoxine hydrochloride in combined tablet dosage form. World J of Pharma Res 2014; 3:523–36.
        22. Shewiyo DH, Kaale E, Risha PG, Dejaegher B, Smeyers-Verbeke J, Vander Heyden Y. Optimization of a reversed-phase-high-performance thin-layer chromatography method for the separation of isoniazid, ethambutol, rifampicin and pyrazinamide in fixed-dose combination antituberculosis tablets. J Chromatogr A 2012; 1260:232–8.       https://doi.org/10.1016/j.chroma.2012.08.044.
        23. Strock J, Nguyen M, Sherma J. Transfer of Minilab TLC Screening Methods to Quantitative HPTLC-Densitometry for Pyrazinamide, Ethambutol, Isoniazid, and Rifampicin in a Combination Tablet. J Liq Chromatogr Relat Technol 2015; 38:1126–30. https://doi.org/10.1080/10826076.2015.1028292.
        24. Jadhav S, Viswanathan V, Mukne AP. Validated HPTLC Method for Simultaneous Quantification of Isoniazid, Rifampicin and Glabridin. J Pharm Biomed Sci 2016; 6:453–9. https://doi.org/10.20936/jpbms/160270
        25. Ang LF, Yam MF, Fung YTT, Kiang PK, Darwin Y. HPLC Method for Simultaneous Quantitative Detection of Quercetin and Curcuminoids in Traditional Chinese Medicines. J Pharmacopuncture 2014; 17:36–49.           https://doi.org/10.3831/kpi.2014.17.035.
        26. Yue-Ling M, Yu-Jie C, Ding-Rong W, Ping C, Ran X. HPLC determination of quercetin in three plant drugs from genus sedum and conjecture of the best harvest time. Pharmacognosy Journal 2014; 9:725–8. https://doi.org/10.5530/pj.2017.6.114.
        27. Jain V, Shaikh MS. Simultaneous RP-HPLC analysis of quercetin and kaempferol in different plant parts of cissus quadrangularis. Int J Pharm Sci 2016; 8:138–42.
        28. Sanghavi N, Bhosale SD, Malode Y. RP-HPLC method development and validation of Quercetin isolated from the plant Tridax procumbens L. Journal of Scientific and Innovative Research 2014; 3:594–7.
        29. Sahani S, Jain V. A novel RP-HPLC method for simultaneous estimation of berberine, quercetin, and piperine in an ayurvedic formulation. International Journal of Applied Pharmaceutics 2019; 11:94–9. https://doi.org/10.22159/ijap.2019v11i1.29326.
        30. Baghel US, Nagar A, Pannu MS, Singh D, Yadav R. HPLC and HPTLC methods for simultaneous estimation of quercetin and curcumin in polyherbal formulation. Indian J Pharm Sci 2017; 79:197–203.       https://doi.org/10.4172/pharmaceutical-sciences.1000217.
        31. Andrade-Filho T, Ribeiro TCS, Del Nero J. The UV-vis absorption spectrum of the flavanol quercetin in methanolic solution: A theoretical investigation. European Physical Journal E 2009; 29:253–9. https://doi.org/10.1140/epje/i2009-10485-7.
        32. Patil V, Angadi S, Devdhe S. Determination of quercetin by UV spectroscopy as quality control parameter in herbal plant: Cocculus hirsutus. J of Chem Pharm Res 2015; 7:99–104.
        33. Rakesh SU, Patil PR, Salunkhe VR, Dhabale PN, Burade KB. HPTLC method for quantitative determination of quercetin in hydroalcoholic extract of dried flower of nymphaea stellata willd. Int J Chemtech Res 2009; 1:931–6.
        34. Ravjibhai Movaliya VK, Movaliya V, Zaveri K B MN. HPTLC method development and estimation of quercetin in the alcoholic extract of Aerva javanica root. Advance Research in Pharmaceuticals and Biologicals 2012; 2:222–8.
        35. Mythili T, Ravindhran R. Determination of Quercetin by HPTLC Method in Sesbania Sesban (L.) Merr. Stem Extract. Int J Adv Pharm Bio Chem 2013; 2:113–9.
        36. Fazil Ahmed M, Srinivasa Rao A. Simultaneous estimation of quercetin and rutin in ethanolic extract of Melia azedarach. Linn leaves by HPTLC method. Asian Journal of Biomedical and Pharmaceutical Sciences 2013; 3:56–9.
        37. Laila O, Murtaza I, Abdin MZ, Ahmad S, Ganai NA, Jehangir M. Development and Validation of HPTLC Method for Simultaneous Estimation of Diosgenin and Quercetin in Fenugreek Seeds (Trigonella foenum-graceum) ISRN Chroma 2014; 2014:1–8. https://doi.org/10.1155/2014/583047.
        38. Lekshmi Ncj P, Mb V, Shobi T M, Brindha R. High performance thin layer chromatography profile of quercetin in three cultivars of allium cepa and its antimicrobial activity against bacterial cultures. Asian J Pharm Clini Res 2015; 8:213–8.
        39. Dhar BL, Kumar RK, Manosi D, Jayram H. HPTLC Method for Quantitative Determination of Quercetin in a Polyherbal Compound for Urolithiasis. International Journal of Pharmacognosy and Phytochemical Research 2016; 8:1187–90.
        40. Doshi G, Une H. Quantification of quercetin and rutin from Benincasa hispida seeds and Carissa congesta roots by high-performance thin layer chromatography and high-performance liquid chromatography. Pharmacognosy Res 2016; 8:37–42. https://doi.org/10.4103/0974-8490.171098.
        41. Patel AA, Amin AA, Patwari AH, Shah MB. Validated high performance thin layer chromatography method for simultaneous determination of quercetin and gallic acid in leea indica. Revista Brasileira de Farmacognosia 2017; 27:50–3.       https://doi.org/10.1016/j.bjp.2016.05.017.
        42. Tandel D, Patel K, Thakkar V. Validated high?performance thin layer chromatographic method for simultaneous quantification of rifampicin and quercetin in liquisolid formulation using fractional factorial design in robustness study. Sep Sci Plus 2023; 6:1–8. https://doi.org/10.1002/sscp.202200087.
        43. Sajid M, P?otka-Wasylka J. Green analytical chemistry metrics: A review. Talanta 2022; 238:123046. https://doi.org/10.1016/j.talanta.2021.123046.
        44. Fawzy MG, Hassan WE, Mostafa AA, Sayed RA. Different approaches for the assessment of greenness of spectrophotometric methodologies utilized for resolving the spectral overlap of newly approved binary hypoglycemic pharmaceutical mixture. Spectrochim Acta A Mol Biomol Spectrosc 2022; 272:120998.    https://doi.org/10.1016/j.saa.2022.120998.
        45. Singh G, Kumar D, Sharma D, Singh M, Kaur S. Q-Absorbance ratio spectrophotometric method for the simultaneous estimation of prednisolone and 5-amino salicylic acid in tablet dosage form. J Appl Pharm Sci 2012; 2:222–6.       https://doi.org/10.7324/JAPS.2012.2736.
        46. Padh H, Parmar S, Patel B. Development, and validation of Q-absorbance ratio spectrophotometric method for simultaneous estimation of Mangiferin and Berberin HCl in bulk and synthetic mixture. Int J Pharm Sci Res 2018; 9:3355.   https://doi.org/10.13040/IJPSR.
        47. Anandakumar K, Santhi D, Jothieswari D, Subathrai R, Vetrichelvan T. Development, and validation of a UV spectrophotometric method for the simultaneous estimation of eprosartan mesylate and hydrochlorothiazide in bulk and formulations. Indian J Pharm Sci 2011; 73:569–72. https://doi.org/10.4103/0250-474X.99017.
        48. Pandey G, Mishra B. A New Analytical Q -Absorbance Ratio Method Development and Validation for Simultaneous Estimation of Lamivudine and Isoniazid. ISRN Spectroscopy 2013; 2013:1–5. https://doi.org/10.1155/2013/912376.
        49. Paghadar B, Antala H, Tala P, Dhudashia K, Patel N. Pharmaceutical and Nano sciences q-absorbance ratio spectrophotometric method for the simultaneous estimation of vardenafil and dapoxetine. Int J Res Pharm Nano Sci 2013;2:124–9.
        50. ICH harmonised guideline validation of analytical procedures Q2(R2). 2022.
        51. Tandel D, Patel K, Thakkar V, Gandhi T. Formulation and Optimization of Rifampicin and Quercetin Laden Liquisolid Compact: In-Vitro and In-Vivo Study. Int J Pharm Res Allied Sci 2022; 11:75–86.         https://doi.org/10.51847/wibIR5NRzg.
        52. Armenta S, Garrigues S, de la Guardia M. Green Analytical Chemistry. TrAC Trends in Analytical Chemistry 2008; 27:497–511. https://doi.org/10.1016/j.trac.2008.05.003.
        53. Clarke CJ, Tu W-C, Levers O, Brohl A, Hallett JP. Green and Sustainable Solvents in Chemical Processes. Chem Rev 2018; 118:747–800. https://doi.org/10.1021/acs.chemrev.7b00571.
        54. Pena-Pereira F, Wojnowski W, Tobiszewski M. AGREE-Analytical GREEnness Metric Approach and Software. Anal Chem 2020; 92:10076–82.    https://doi.org/10.1021/acs.analchem.0c01887
        55. Ga?uszka A, Migaszewski ZM, Konieczka P, Namiesnik J. Analytical Eco-Scale for assessing the greenness of analytical procedures. TrAC Trends in Anal Chem 2012; 37:61–72. https://doi.org/10.1016/j.trac.2012.03.013.
        56. Ga?uszka A, Migaszewski Z, Namie?nik J. The 12 principles of green analytical chemistry and the significance mnemonic of green analytical practices. TrAC Trends in Anal Chem 2013; 50:78–84. https://doi.org/10.1016/j.trac.2013.04.010.

Reference

  1. WHO Global tuberculosis report 2023. Available from: https://www.who.int/teams/global-tuberculosis-programme/tb-reports/global-tuberculosis-report-2023
  2. Hari BNV, Chitra KP, Bhimavarapu R, Karunakaran P, Muthukrishnan N, Rani BS. Novel technologies: A weapon against tuberculosis. Indian J Pharmacol 2010; 42:338–44. https://doi.org/10.4103/0253-7613.71887.
  3. Das S, Tucker I, Stewart P. Inhaled dry powder formulations for treating tuberculosis. Curr Drug Deliv 2015; 12:26–39.       https://doi.org/10.2174/1567201811666140716123050.
  4. Khan MF, Rita SA, Kayser MS, Islam MS, Asad S, Rashid R Bin, et al. Theoretically guided analytical method development and validation for the estimation of rifampicin in a mixture of isoniazid and pyrazinamide by UV spectrophotometer. Front Chem 2017; 5:1–12. https://doi.org/10.3389/fchem.2017.00027.
  5. Campbell IA, Bah-Sow O. Pulmonary tuberculosis: diagnosis and treatment. BMJ 2006; 332:1194–7. https://doi.org/10.1136/bmj.332.7551.1194.
  6. El Khéchine A, Drancourt M. Diagnosis of pulmonary tuberculosis in a microbiological laboratory. Med Mal Infect 2011; 41:509–17.        https://doi.org/10.1016/j.medmal.2011.07.0
  7. Butov D, Zaitseva S, Butova T, Stepanenko G, Pogorelova O, Zhelezniakova N. Efficacy, and safety of quercetin and polyvinylpyrrolidone in treatment of patients with newly diagnosed destructive pulmonary tuberculosis in comparison with standard antimycobacterial therapy. Int J Mycobacteriol 2016; 5:446–53.      https://doi.org/10.1016/j.ijmyco.2016.06.012.
  8. Prasad R, Singh A, Gupta N. Role of Bioenhancers in Tuberculosis. Int J Health Sci Res 2016; 6:307–13.
  9. Javed S, Ahsan W, Kohli K. The concept of bioenhancers in bioavailability enhancement of drugs – a patent review. Journal of Scientific Letters 2016; 1:143–65.
  10. Drabu S, Khatri S. Use of Herbal Bioenhancers to Increase the Bioavailability of Drugs. Res J Pharm Biol Chem Sci 2011; 2:107–19.
  11. Kesarwani K, Gupta R, Mukerjee A. Bioavailability enhancers of herbal origin: an overview. Asian Pac J Trop Biomed 2013; 3:253–66.      https://doi.org/10.1016/S2221-1691(13)60060-X.
  12. Randhawa GK, Kullar JS, Rajkumar. Bioenhancers from mother nature and their applicability in modern medicine. Int J Appl Basic Med Res 2011; 1:5–10.        https://doi.org/10.4103/2229-516X.81972.
  13. Ajazuddin, Alexander A, Qureshi A, Kumari L, Vaishnav P, Sharma M, et al. Role of herbal bioactives as a potential bioavailability enhancer for Active Pharmaceutical Ingredients. Fitoterapia 2014; 97:1–14. https://doi.org/10.1016/j.fitote.2014.05.005.
  14. Nikita M, Patel V, Patel SK. Q-Absorbance Ratio Spectrophotometric Method for the Simultaneous Estimation of Ciprofloxacin, and Metronidazole in their Combined Dosage Form. Journal of Pharmaceutical Science and Bioscientific Research 2012; 2:118–22.
  15. Swamy N, Basavaiah K, Vamsikrishna P. Stability-indicating UV-spectrophotometric Assay of Rifampicin. Insight Pharmaceutical Sciences 2018; 8:1–12.       https://doi.org/10.5567/IPHARMA-IK.2018.1.12.
  16. Shah U, Jasani A. UV spectrophotometric and RP- HPLC methods for simultaneous estimation of Isoniazid, Rifampicin and piperine in pharmaceutical dosage form. Int J Pharm Pharm Sci 2014; 6:274–80.
  17. Raul SK, Mahapatra AK, Ravi Kumar BVV, Patnaik AK. Stability indicating RP-HPLC method for the estimation of lacosamide in bulk and pharmaceutical dosage form. J Chem Pharm Res 2013; 5:732–9.
  18. Shah P, Pandya T, Gohel M, Thakkar V. Development and Validation of HPLC method for simultaneous estimation of Rifampicin and Ofloxacin using experimental design. Journal of Taibah University for Science 2019; 13:146–54.       https://doi.org/10.1080/16583655.2018.1548748.
  19. Khatak S, Khatak M, Ali F, Rathi A, Singh R, Singh GN, et al. Development and validation of a RP-HPLC method for simultaneous estimation of antitubercular drugs in solid lipid nanoparticles. Indian J Pharm Sci 2018; 80:996–1002.     https://doi.org/10.4172/pharmaceutical-sciences.1000449.
  20. Shah U, Patel S, Raval M. Stability Indicating Reverse Phase HPLC Method for Estimation of Rifampicin and Piperine in Pharmaceutical Dosage Form. Curr Drug Discov Technol 2018; 15:54–64.      https://doi.org/10.2174/1570163814666170619092224.
  21. Puthusseri S, Mathew M. Validated HPTLC method for simultaneous estimation of rifampicin, isoniazid, and pyridoxine hydrochloride in combined tablet dosage form. World J of Pharma Res 2014; 3:523–36.
  22. Shewiyo DH, Kaale E, Risha PG, Dejaegher B, Smeyers-Verbeke J, Vander Heyden Y. Optimization of a reversed-phase-high-performance thin-layer chromatography method for the separation of isoniazid, ethambutol, rifampicin and pyrazinamide in fixed-dose combination antituberculosis tablets. J Chromatogr A 2012; 1260:232–8.       https://doi.org/10.1016/j.chroma.2012.08.044.
  23. Strock J, Nguyen M, Sherma J. Transfer of Minilab TLC Screening Methods to Quantitative HPTLC-Densitometry for Pyrazinamide, Ethambutol, Isoniazid, and Rifampicin in a Combination Tablet. J Liq Chromatogr Relat Technol 2015; 38:1126–30. https://doi.org/10.1080/10826076.2015.1028292.
  24. Jadhav S, Viswanathan V, Mukne AP. Validated HPTLC Method for Simultaneous Quantification of Isoniazid, Rifampicin and Glabridin. J Pharm Biomed Sci 2016; 6:453–9. https://doi.org/10.20936/jpbms/160270
  25. Ang LF, Yam MF, Fung YTT, Kiang PK, Darwin Y. HPLC Method for Simultaneous Quantitative Detection of Quercetin and Curcuminoids in Traditional Chinese Medicines. J Pharmacopuncture 2014; 17:36–49.           https://doi.org/10.3831/kpi.2014.17.035.
  26. Yue-Ling M, Yu-Jie C, Ding-Rong W, Ping C, Ran X. HPLC determination of quercetin in three plant drugs from genus sedum and conjecture of the best harvest time. Pharmacognosy Journal 2014; 9:725–8. https://doi.org/10.5530/pj.2017.6.114.
  27. Jain V, Shaikh MS. Simultaneous RP-HPLC analysis of quercetin and kaempferol in different plant parts of cissus quadrangularis. Int J Pharm Sci 2016; 8:138–42.
  28. Sanghavi N, Bhosale SD, Malode Y. RP-HPLC method development and validation of Quercetin isolated from the plant Tridax procumbens L. Journal of Scientific and Innovative Research 2014; 3:594–7.
  29. Sahani S, Jain V. A novel RP-HPLC method for simultaneous estimation of berberine, quercetin, and piperine in an ayurvedic formulation. International Journal of Applied Pharmaceutics 2019; 11:94–9. https://doi.org/10.22159/ijap.2019v11i1.29326.
  30. Baghel US, Nagar A, Pannu MS, Singh D, Yadav R. HPLC and HPTLC methods for simultaneous estimation of quercetin and curcumin in polyherbal formulation. Indian J Pharm Sci 2017; 79:197–203.       https://doi.org/10.4172/pharmaceutical-sciences.1000217.
  31. Andrade-Filho T, Ribeiro TCS, Del Nero J. The UV-vis absorption spectrum of the flavanol quercetin in methanolic solution: A theoretical investigation. European Physical Journal E 2009; 29:253–9. https://doi.org/10.1140/epje/i2009-10485-7.
  32. Patil V, Angadi S, Devdhe S. Determination of quercetin by UV spectroscopy as quality control parameter in herbal plant: Cocculus hirsutus. J of Chem Pharm Res 2015; 7:99–104.
  33. Rakesh SU, Patil PR, Salunkhe VR, Dhabale PN, Burade KB. HPTLC method for quantitative determination of quercetin in hydroalcoholic extract of dried flower of nymphaea stellata willd. Int J Chemtech Res 2009; 1:931–6.
  34. Ravjibhai Movaliya VK, Movaliya V, Zaveri K B MN. HPTLC method development and estimation of quercetin in the alcoholic extract of Aerva javanica root. Advance Research in Pharmaceuticals and Biologicals 2012; 2:222–8.
  35. Mythili T, Ravindhran R. Determination of Quercetin by HPTLC Method in Sesbania Sesban (L.) Merr. Stem Extract. Int J Adv Pharm Bio Chem 2013; 2:113–9.
  36. Fazil Ahmed M, Srinivasa Rao A. Simultaneous estimation of quercetin and rutin in ethanolic extract of Melia azedarach. Linn leaves by HPTLC method. Asian Journal of Biomedical and Pharmaceutical Sciences 2013; 3:56–9.
  37. Laila O, Murtaza I, Abdin MZ, Ahmad S, Ganai NA, Jehangir M. Development and Validation of HPTLC Method for Simultaneous Estimation of Diosgenin and Quercetin in Fenugreek Seeds (Trigonella foenum-graceum) ISRN Chroma 2014; 2014:1–8. https://doi.org/10.1155/2014/583047.
  38. Lekshmi Ncj P, Mb V, Shobi T M, Brindha R. High performance thin layer chromatography profile of quercetin in three cultivars of allium cepa and its antimicrobial activity against bacterial cultures. Asian J Pharm Clini Res 2015; 8:213–8.
  39. Dhar BL, Kumar RK, Manosi D, Jayram H. HPTLC Method for Quantitative Determination of Quercetin in a Polyherbal Compound for Urolithiasis. International Journal of Pharmacognosy and Phytochemical Research 2016; 8:1187–90.
  40. Doshi G, Une H. Quantification of quercetin and rutin from Benincasa hispida seeds and Carissa congesta roots by high-performance thin layer chromatography and high-performance liquid chromatography. Pharmacognosy Res 2016; 8:37–42. https://doi.org/10.4103/0974-8490.171098.
  41. Patel AA, Amin AA, Patwari AH, Shah MB. Validated high performance thin layer chromatography method for simultaneous determination of quercetin and gallic acid in leea indica. Revista Brasileira de Farmacognosia 2017; 27:50–3.       https://doi.org/10.1016/j.bjp.2016.05.017.
  42. Tandel D, Patel K, Thakkar V. Validated high?performance thin layer chromatographic method for simultaneous quantification of rifampicin and quercetin in liquisolid formulation using fractional factorial design in robustness study. Sep Sci Plus 2023; 6:1–8. https://doi.org/10.1002/sscp.202200087.
  43. Sajid M, P?otka-Wasylka J. Green analytical chemistry metrics: A review. Talanta 2022; 238:123046. https://doi.org/10.1016/j.talanta.2021.123046.
  44. Fawzy MG, Hassan WE, Mostafa AA, Sayed RA. Different approaches for the assessment of greenness of spectrophotometric methodologies utilized for resolving the spectral overlap of newly approved binary hypoglycemic pharmaceutical mixture. Spectrochim Acta A Mol Biomol Spectrosc 2022; 272:120998.    https://doi.org/10.1016/j.saa.2022.120998.
  45. Singh G, Kumar D, Sharma D, Singh M, Kaur S. Q-Absorbance ratio spectrophotometric method for the simultaneous estimation of prednisolone and 5-amino salicylic acid in tablet dosage form. J Appl Pharm Sci 2012; 2:222–6.       https://doi.org/10.7324/JAPS.2012.2736.
  46. Padh H, Parmar S, Patel B. Development, and validation of Q-absorbance ratio spectrophotometric method for simultaneous estimation of Mangiferin and Berberin HCl in bulk and synthetic mixture. Int J Pharm Sci Res 2018; 9:3355.   https://doi.org/10.13040/IJPSR.
  47. Anandakumar K, Santhi D, Jothieswari D, Subathrai R, Vetrichelvan T. Development, and validation of a UV spectrophotometric method for the simultaneous estimation of eprosartan mesylate and hydrochlorothiazide in bulk and formulations. Indian J Pharm Sci 2011; 73:569–72. https://doi.org/10.4103/0250-474X.99017.
  48. Pandey G, Mishra B. A New Analytical Q -Absorbance Ratio Method Development and Validation for Simultaneous Estimation of Lamivudine and Isoniazid. ISRN Spectroscopy 2013; 2013:1–5. https://doi.org/10.1155/2013/912376.
  49. Paghadar B, Antala H, Tala P, Dhudashia K, Patel N. Pharmaceutical and Nano sciences q-absorbance ratio spectrophotometric method for the simultaneous estimation of vardenafil and dapoxetine. Int J Res Pharm Nano Sci 2013;2:124–9.
  50. ICH harmonised guideline validation of analytical procedures Q2(R2). 2022.
  51. Tandel D, Patel K, Thakkar V, Gandhi T. Formulation and Optimization of Rifampicin and Quercetin Laden Liquisolid Compact: In-Vitro and In-Vivo Study. Int J Pharm Res Allied Sci 2022; 11:75–86.         https://doi.org/10.51847/wibIR5NRzg.
  52. Armenta S, Garrigues S, de la Guardia M. Green Analytical Chemistry. TrAC Trends in Analytical Chemistry 2008; 27:497–511. https://doi.org/10.1016/j.trac.2008.05.003.
  53. Clarke CJ, Tu W-C, Levers O, Brohl A, Hallett JP. Green and Sustainable Solvents in Chemical Processes. Chem Rev 2018; 118:747–800. https://doi.org/10.1021/acs.chemrev.7b00571.
  54. Pena-Pereira F, Wojnowski W, Tobiszewski M. AGREE-Analytical GREEnness Metric Approach and Software. Anal Chem 2020; 92:10076–82.    https://doi.org/10.1021/acs.analchem.0c01887
  55. Ga?uszka A, Migaszewski ZM, Konieczka P, Namiesnik J. Analytical Eco-Scale for assessing the greenness of analytical procedures. TrAC Trends in Anal Chem 2012; 37:61–72. https://doi.org/10.1016/j.trac.2012.03.013.
  56. Ga?uszka A, Migaszewski Z, Namie?nik J. The 12 principles of green analytical chemistry and the significance mnemonic of green analytical practices. TrAC Trends in Anal Chem 2013; 50:78–84. https://doi.org/10.1016/j.trac.2013.04.010.

Photo
Devang Tandel
Corresponding author

Anand Pharmacy College, Gujarat Technological University, Anand, India.

Photo
Kalpana Patel
Co-author

Anand Pharmacy College, Gujarat Technological University, Anand, India.

Photo
Margi Patel
Co-author

Anand Pharmacy College, Gujarat Technological University, Anand, India.

Photo
Vaishali Thakkar
Co-author

Anand Pharmacy College, Gujarat Technological University, Anand, India.

Photo
Tejal Gandhi
Co-author

Anand Pharmacy College, Gujarat Technological University, Anand, India.

Devang Tandel*, Kalpana Patel, Margi Patel, Vaishali Thakkar, Tejal Gandhi, Ecofriendly Q-Absorbance Ratio Spectrophotometric Method for Simultaneous Quantification of Rifampicin and Quercetin in Liquisolid Dosage Form, Int. J. of Pharm. Sci., 2025, Vol 3, Issue 3, 1443-1457. https://doi.org/10.5281/zenodo.15034396

More related articles
Formulation And Evaluation of Emulgel from Pongami...
Abhijeet Welankiwar, Suchit Gajbhiye, Jaid Ghaniwale, Waquar Ahma...
Chemistry and Pharmacological Potential of Oxindol...
Ankush Goyal, Amit Aggarwal, Pratima Sharma, Mona Piplani, Nakibu...
Tamsulosin Versus Silodosin for The Treatment of Distal Ureteric Stones: A Revie...
Y. Bhavana, T. Bhavana, S. D. Reshma, S. Balakrishna Reddy, Dr. M. Lakshmi Banusri, ...
Formulation and Evaluation of Cefuroxime Axetil...
Beeravelli Harshitha Reddy, M. Sunitha Reddy, K. Anie Vijetha, ...
Studies On Various Techniques Used for Masking the Bitterness of Drug and Formul...
Gaurav Magar, Dr. A. V. Chandewar, Dr. M. A. Channawar, Satyam Pendor, Ashwini Warankar, ...
Related Articles
Formulation & Evaluation of Phytopharmaceutical Stick Based on Tectona grandis f...
Dr. Gourishankar Birtia, Diksha Dilliwar, Anjali Sahu, Tilak Kumar Sinha, Dron Kumar Sahu, ...
Antibiotic Drug Utilization Review of Diabetic Foot Infection in Surgery Ward In...
R. S. Atchayavarshini, Dr. S. PandiyaRajan, B. Deepasree, M. Santhanakumar, R. Sivaraj, ...
Development and Validation of an RP-HPLC Method for Quantification of Levodopa i...
Santosh Kumar, Mangal Singh , Sarita , Manjeet Singh Yadav , ...
Formulation And Evaluation of Emulgel from Pongamia Oil...
Abhijeet Welankiwar, Suchit Gajbhiye, Jaid Ghaniwale, Waquar Ahmad, ...
More related articles
Formulation And Evaluation of Emulgel from Pongamia Oil...
Abhijeet Welankiwar, Suchit Gajbhiye, Jaid Ghaniwale, Waquar Ahmad, ...
Chemistry and Pharmacological Potential of Oxindole Nucleus: A Review...
Ankush Goyal, Amit Aggarwal, Pratima Sharma, Mona Piplani, Nakibul Islam Mondal, Mohd Ahmed, ...
Formulation And Evaluation of Emulgel from Pongamia Oil...
Abhijeet Welankiwar, Suchit Gajbhiye, Jaid Ghaniwale, Waquar Ahmad, ...
Chemistry and Pharmacological Potential of Oxindole Nucleus: A Review...
Ankush Goyal, Amit Aggarwal, Pratima Sharma, Mona Piplani, Nakibul Islam Mondal, Mohd Ahmed, ...