View Article

Abstract

A lot of individuals have been affected by the chronic metabolic condition referred to as Diabetes Mellitus (DM). By the year 2030, the prevalence of diabetes among adults in wealthy nations will be expected to increase by 20%, whereas it is predicted to rise by 69% in underdeveloped nations. In the past few decades, 1,3,4- oxadiazoles, a class of five-membered aromatic heterocycles, have drawn quite a lot of attention because of the broad spectrum of biological and pharmacological activities that they exhibit. Consequently, in accordance with this idea, we believed that 1,3,4- oxadiazole increase the ability of the chemical compounds to inhibit the ?- glucosidase enzyme. A molecular docking study was done on Schrodinger software using the enzyme ?-glucosidase (PDB ID:7KBJ). Thus, we obtain 1,3,4-oxadiazole derivatives such as Oxocpt-11 and Oxpa2m-12 which is having the greatest docking score of ?7.746, and ?7.495 respectively when compared to standard Acarbose of value ?9.938. In our current study, we have only synthesized one compound which is having greatest binding score (Oxocpt-11: -7.746) close to the standard by using Schiff base reaction and evaluated them for ?-glucosidase inhibitory potential. In addition, the synthesized compound (Oxocpt-11) was characterized and its structural elucidation was executed using FTIR spectroscopy and then in vitro anti-oxidant study was performed by using a DPPH assay method.

Keywords

Diabetes mellitus; ?-glucosidase enzyme; 1,3,4-oxadiazole; Molecular docking; Schiff base reaction; FTIR Spectroscopy; In vitro antioxidant activity; DPPH assay method

Introduction

Medicinal chemistry plays a foundational and basal role in chemical biology, and pharmacology to discover secure and effective drugs. It relies upon consecutive learning cycles composed of the compound plan, synthesis, evaluation, and information investigation to give new substance tests and lead compounds for novel and druggable targets. Medicinal chemistry is the execution of synthetic examination approaches for the combination of drugs. During the starting periods of medicinal chemistry improvement, scientists were fundamentally worried about the separation of medicinal agents tracked down in plants. Today, researchers in this field are similarly worried about the creation of newly designed drug compounds. [1,2]

Heterocyclic compounds are organic elements featuring nitrogen, oxygen, and sulfur that possess an extensive spectrum of applications in pharmacology, industry, and agriculture. Oxadiazoles are heterocyclic five-membered rings incorporating oxygen and nitrogen atoms. Numerous compounds comprising 1,3,4-oxadiazole rings have been scientifically recognized to be beneficial anti-diabetic agents. As oxadiazole rings are correspondingly more stable in biological circumstances and can be utilized as bio-isosteric alternatives for carbonyl-containing groups like esters, amides, carbamates, and hydroxamic esters, they are frequently employed as a motif in the structure of therapeutic candidates. [3,4]

Diabetes mellitus is a chronic metabolic illness that can be fatal and is symbolized by hyperglycemia and inappropriate insulin production. Type II diabetes mellitus has been linked to an elevated post-prandial glucose level, subsequently increasing the risk of plaque buildup, stroke, and other heart-related diseases. The functioning of α-glucosidase has a direct association with increased blood glucose concentrations. It is challenging to categorize DM because of metabolic diversity and variety. The American Diabetes Foundation (ADA) designed the oldest and most commonly recognized sorting in 1997. The most prevalent groupings for DM comprise type 1, type 2, various forms, and gestational diabetes mellitus. [5,6]

The molecule docking technique is fully used in computer-assisted drug design in recent years to identify the binding affinity and assess the method of interaction since it may significantly increase productivity and reduce research expenses. Molecular docking is a form of computational modeling that makes it easier to predict the ideal binding orientation of one molecule (for example, a ligand) to another (for example, a receptor) when two molecules incorporate to produce a stable complex. The preferred orientation of the bound molecules may be utilized to predict the stability and strength of complexes, in addition to the energy profiles (such as their binding free energy). This can be done by using a molecular docking scoring function. Presently molecular docking is frequently used to establish the initial binding properties of small molecules (possible medicines) to their biomolecular targets (such as proteins, polysaccharides, and nucleic acids). [7,8,9]

Materials

Reagents and chemicals required:

 

Table 1.1. List of reagents/chemicals used for synthesis using Schiff base

 

Sl. No

Reagents/chemicals required

Company name

1

o-Chlorobenzaldehyde

Research lab (RL)

2

p-Tolu aldehyde

Research lab (RL)

3

Semi-carbazide

NICE

4

Potassium carbonate

NICE

5

Iodine

Research lab (RL)

6

Methanol

??

7

Sodium acetate

Central Drug House (CDL)

8

1,4 Dioxane

Research lab (RL)

9

Sodium thiosulfate

Research lab (RL)

10

Ethyl acetate

Research lab (RL)

 

 

 

 

  1. List of reagents/chemicals used for antioxidant activity

Sl. No

Reagents/chemicals required

Company name

1

DPPH (2,2-diphenyl-1- picrylhydrazyl)

Sisco Research Laboratories (SRL)

2

Methanol

??

3

Ascorbic acid

NICE

Table 1.3. List of glassware/apparatus used

Sl. No

Glassware’s

Size/volume

1

Beaker

100,250,500ml

2

Conical flask

250

3

Funnel

65mm

4

Glass rod

8’’

5

Measuring cylinder

10,50 ml

6

Watch glass

Small, medium

7

Round bottom flask

250

8

Reflux condenser

300mm

9

Reagent bottles

125,250 ml

10

Spatula

1ft,6ft

Table 1.4. List of apparatus/equipment used

Sl. No

Apparatus/equipment

Company/model name

1

Colorimeter

AIMIL,22729

2

UV Spectrometer

AN-UV 7000

3

Mechanical stirrer

KLS. 101.A

4

Digital melting point apparatus

LT-115

5

Electronic balance

ELB300

6

Spectrum 2 FTIR

Perkin Elmer

Table. 1.5. List of software used for the study

Sl. No

Name of the software

Developer

1

Chemsketch

ACD/Labs

2

Molinspiration

Cheminformatics

3

IBM RXN

Computer-Assisted Organic Synthesis (CAOS)

4

Swiss ADME

Swiss Institute of Bioinformatics (SIB)

5

Pass Online

Way 2 Drug Predictive services

6

Open Babel

Open Babel Development Team

7

Schrödinger

Erwin Rudolf Josef Alexander Schrödinger

 

Scheme for synthesis

 

 

 

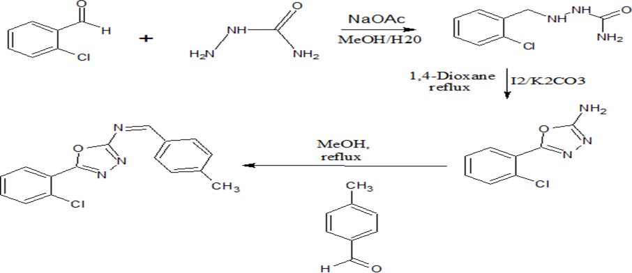
Fig. 1.1. Synthesis of 1,3,4-oxadiazole bearing Schiff bases derivatives

 

        • o-Chlorobenzaldehyde reacts with semi-carbazide in the presence of methanol and water refluxed with sodium acetate.
        • Then the substituted/ refluxed compound reacts with iodine and potassium carbonate which is refluxed with 1,4-dioxane.
        • Thus, the obtained compound from the above step is again refluxed with methanol and reacts with p-tolu aldehyde to get the product.

Molecular Docking using Schrödinger Software

To dock 1,3,4-oxadiazole derivatives in the Schrödinger Suite, you can follow these general steps:

  1. Prepare the protein structure:
    1. Obtain the protein structure you want to dock the 1,3,4-oxadiazole derivatives into (here PDB ID; 7KBJ). You can either have the protein structure file in the required format (e.g., PDB) or obtain it from a protein database.
    2. Prepare the protein structure by removing any water molecules, ions, and other ligands that are not relevant to the docking.
  2. Prepare the ligand structure:
    1. Obtain the structure file of the 1,3,4-oxadiazole derivatives you want to dock. The structure file should be in a compatible format such as SDF, PDB, or MOL2.
    2. If needed, use a molecular modeling software or cheminformatics tool to optimize the ligand structure, ensuring that it is in a reasonable conformation for docking. This step may involve energy minimization or other structure refinement techniques.
  3. Launch the Schrödinger Suite:
    1. Open the Schrödinger Suite software on your computer.
  4. Set up the receptor grid:
    1. Open the “LigPrep” utility in the Schrödinger Suite.
    2. Import the protein structure file prepared in Step 1 into LigPrep.
    3. Use LigPrep to assign bond orders, add hydrogen atoms, and optimize the protein structure. You may need to specify the protonation state and tautomeric form of the protein.
    4. Save the prepared protein structure as a new file, which will serve as the receptor for docking.
  5. Prepare the ligand:
    1. Open the “LigPrep” utility again, this time with the prepared ligand structure file obtained in Step 2.
    2. Use LigPrep to assign bond orders, add hydrogen atoms, and optimize the ligand structure. Specify the desired protonation state and tautomeric form if necessary.
    3. Save the prepared ligand structure as a new file.
  6. Set up the docking:
    1. Open the “Glide” utility in the Schrödinger Suite.
    2. Import the prepared protein receptor file and the prepared ligand file into Glide.
    3. Specify the docking parameters, such as the grid generation method, scoring function, and search options. Adjust the parameters as per your requirements.
    4. Set up the docking protocol, including the type of docking (e.g., ligand docking, flexible docking) and any additional constraints or preferences.
    5. Start the docking calculation.
  7. Analyze and interpret the results:
    1. Once the docking calculation is complete, review the generated docking poses and score them based on the scoring function used.
    2. Analyze the binding modes and interactions of the 1,3,4-oxadiazole derivatives with the protein.
    3. Further analyze the results by visualizing the docking poses, calculating binding energies, and comparing different ligan poses if applicable.

Docking Study Interpretation

 

 

 

 

 

 

A)

 

 

B)

 

Fig.5.2. (A) 2D interaction of compound Oxocpt-11 with 7KBJ (B) 2D interaction of compound Oxpa2m-12 with 7KBJ

 

 

 

A)

              
B)

 

Fig.5.3. (A) 3D interaction of compound Oxocpt-11 with 7KBJ (B) 3D interaction of compound Oxpa2m-12 with 7KBJ

 

Table.5.2. Glide docking scores (kcal mol−1) of the compounds (Oxocpt-11, Oxpa2m- 12 and standard) on enzyme PDB ID: 7KBJ

 

Sl. No

 

Compounds

 

Docking Score (Kcal/mol)

 

XP G

Score

 

Glide Rotation

 

Glide Energy

1

Standard (Acarbose)

-9.938

-11.008

22

-47.059

2

Oxocpt-11

-7.746

-7.746

5

42.896

3

Oxpa2m-12

-7.495

-7.495

3

-41.686

 

  1. Docking results

The molecular docking technique permits us to characterize exactly how molecules interact in the binding site of targeted proteins and improve our knowledge of basic biological processes by simulating the interaction between a docked molecule and a protein at the atomic level. The synthesized compounds attach to the target binding region grooved at the target PDB: 7KBJ (Co-crystal structure of the alpha-glucosidase enzyme with compound 9), at the target's active region. We expressed the binding affinity of these derivatives as docking scores (Table 2). The binding free energy of docked derivatives ranged from −7.746 to −4.13.

In terms of binding energies, compounds Oxocpt-11 and Oxpa2m-12 have the greatest binding scores, with binding energy values (Docking score) of −7.746, and −7.495 respectively (Table.5.2). Acarbose showed the highest binding affinity towards the target with binding free energies of −9.938. In our current study, we have only synthesized one compound which is having greatest binding score (Oxocpt-11: -7.746). The compound Oxocpt-11 which was the most active compound in the dataset presents a conventional hydrophobic interaction with the benzene group in the chlorobenzene ring with TRP A:525 residue (Fig.5.2. (A)). 1,3,4-oxadiazole ring provides hydrophobic linkage interaction with PHE H:307, TRP A:525, and TRP A:423 residue (Fig.5.2. (A)). The benzene group which is present in the methyl-substituted benzene ring has hydrophobic interaction with PHE A:673 and TRP A:423 residue (Fig.5.2. (A)). The candidate selected was considered to be appropriate for anti-diabetic activity based on their docking scores.

The compound Oxpa2m-12 which was the next active compound from the dataset has a hydrophobic interaction with the benzene group in the methoxybenzene ring with TRP A:525 residue only (Fig.5.2. (B)). The 1,3,4-oxadiazole ring allows hydrophobic linkage with PHE H:307 residue (Fig.5.2. (B)).

    1. Determination of Oxocpt-11 by FTIR Spectra

 

 

 

Fig.5.5. FTIR Spectrum of the Synthesized compound (Oxocpt-11)

 

Table.5.4. Interpretation of FTIR spectrum

 

 

 

Str- Stretching C-Carbon

Bend- Bending O-Oxygen

N-Nitrogen H- Hydrogen

 

CONCLUSION

In the present research work 1,3,4- oxadiazole was selected as the basic nucleus. In silico methods, such as molecular docking and virtual screening, provide efficient tools for predicting the biological activity and pharmacological properties of the compounds, helping researchers prioritize and optimize their synthesis efforts.

From the molecular docking studies, the binding free energy of docked derivatives ranged from −7.746 to −4.13. Compounds Oxocpt-11 and Oxpa2m-12 have the greatest binding scores, with binding energy values (Docking score) of −7.746, and −7.495 respectively. Acarbose showed the highest binding affinity towards the target with binding-free energies of −9.938.

The synthesis of 1, 3, 4 oxadiazole derivatives offer a wide range of potentially effective compounds. The development of efficient synthetic methodologies has enabled the preparation of diverse derivatives with enhanced properties and biological activities. The synthesized compound (Oxocpt-11) shows a yellowish crystal, odourless and tasteless in nature and the compound is soluble in water, ethyl acetate, methanol, etc. The melting point of the Oxocpt-11 was done in digital melting point apparatus and was found to be 150°C.

FTIR spectral analysis serves as a powerful experimental tool for the characterization and identification of functional groups present in the 1, 3, 4 oxadiazole derivatives. The unique vibrational signatures obtained from FTIR spectroscopy enable the elucidation of molecular structures, confirmation of chemical bonding, and identification of key functional groups.

The overall findings suggest that the 1,3,4 oxadiazole analogues hold the promise and potential antidiabetic activity assuring benefit in the field of medicinal chemistry.

REFERENCES

  1. Gioiello, A., Piccinno, A., Lozza, A. M., & Cerra, B. (2020). The Medicinal Chemistry in the Era of Machines and Automation: Recent Advances in Continuous Flow Technology. Journal of Medicinal Chemistry. 2020 63 (13), 6624-6647.
  2. Nicholls, A., McGaughey, G. B., Sheridan, R. P., Good, A. C., Warren, G., Mathieu, M., Kelley, B. (2010). Molecular Shape and Medicinal Chemistry: A Perspective. Journal of Medicinal Chemistry, 53(10), 3862–3886.
  3. Khan H, Zafar M, Patel S, Shah SM, Bishayee A. Pharmacophore studies of 1,3,4- oxadiazole nucleus: Lead compounds as α-glucosidase inhibitors. Food Chem Toxicol. 2019 Aug; 130:207-218.
  4. Kashtoh H, Baek KH. Recent Updates on Phytoconstituent Alpha-Glucosidase Inhibitors: An Approach towards the Treatment of Type Two Diabetes. Plants (Basel). 2022 Oct 14;11(20):2722-2732.k
  5. Rafaqat Hussain, Wajid Rehman, Fazal Rahim, Shoaib Khan, Muhammad Taha, Yousaf Khan, Asma Sardar, Imran Khan, Syed Adnan Ali Shah. Discovery of Imidazopyridine Derived Oxadiazole-Based Thiourea Derivatives as Potential Anti-diabetic Agents: Synthesis, In Vitro Antioxidant Screening and In Silico Molecular Modeling Approaches. Journal of Molecular Structure,2023.
  6. Sri Fatmawati, Kuniyoshi Shimizu, Ryuichiro Kondo. Ganoderol B: A potent α- glucosidase inhibitor isolated from the fruiting body of Ganoderma lucidum. Phytomedicine.2011 Sep 15;18 (12): 1053-1055.
  7. Pagadala, N. S., Syed, K., & Tuszynski, J. (2017). Software for molecular docking: a review. Biophysical Reviews; 9(2): 91–102.
  8. Dias R, de Azevedo WF Jr. Molecular docking algorithms. Current Drug Targets. 2008 Dec;9(12):1040-1047.
  9. Saikia S, Bordoloi M. Molecular Docking: Challenges, Advances and its Use in Drug Discovery Perspective. Current Drug Targets. 2019;20(5):501-521.
  10. Mihailovi?.N, Markovi?.V, Mati?, I. Z, Stanisavljevi?, N. S, Jovanovi?, Ž. S, Trifunovi?, S, & Joksovi?, L. Synthesis and antioxidant activity of 1,3,4- oxadiazoles and their diacyl hydrazine precursors derived from phenolic acids. RSC Advances.2017; 7(14):8550–8560.
  11. Gurunanjappa. P, & Kariyappa, A. K. Design, synthesis and biological evaluation of 1,3,4-oxadiazoles/thiadiazoles bearing pyrazole scaffold as antimicrobial and antioxidant candidates. Current Chemistry Letters.2016; 109–122.
  12. Raczuk E, Dmochowska B, Samaszko-Fiertek J, Madaj J. Different Schiff Bases- Structure, Importance and Classification. Molecules. 2022 Jan 25;27(3):787-795.
  13. Cleiton M. da Silva, Daniel L. da Silva, Luzia V. Modolo, Rosemeire B. Alves, Maria A. de Resende, Cleide V.B. Martins, Ângelo de Fátima. Schiff bases: A short review of their antimicrobial activities. Journal of Advanced Research. 2011; 2(1): 1-8.
  14. Jamil W, Perveen S, Shah SAA, Taha M, Ismail NH, Perveen S, Ambreen N, Khan KM, Choudhary MI. Phenoxyacetohydrazide Schiff Bases: β-Glucuronidase Inhibitors. Molecules. 2014; 19(7):8788-8802.
  15. Sinicropi MS, Ceramella J, Iacopetta D, Catalano A, Mariconda A, Rosano C, Saturnino C, El-Kashef H, Longo P. Metal Complexes with Schiff Bases: Data Collection and Recent Studies on Biological Activities. International Journal of Molecular Science. 2022 Nov 27;23(23):14840.
  16. Li, Z., Wan, H., Shi, Y., & Ouyang, P. (2004). Personal Experience with Four Kinds of Chemical Structure Drawing Software: Review on Chemdraw, ChemWindow, ISIS/Draw, and Chemsketch. Journal of Chemical Information and Computer Sciences;44(5):1886–1890.
  17. Mendelsohn, L. D. (2004). Chemdraw 8 Ultra, Windows, and Macintosh Versions. Journal of Chemical Information and Computer Sciences, 44(6), 2225–2226.
  18. Pryce, J. D., & Marletta, M. (1991). A new multi-purpose software package for Schrödinger and Sturm-Liouville computations. Computer Physics Communications, 62(1), 42–52
  19. O’Boyle, N. M., Banck, M., James, C. A., Morley, C., Vandermeersch, T., & Hutchison, G. R. (2011). Open Babel: An open chemical toolbox. Journal of Cheminformatics; 3(1):
  20. Daina, A., Michielin, O., & Zoete, V. (2017). Swiss ADME: a free web tool to evaluate pharmacokinetics, drug-likeness, and medicinal chemistry friendliness of small molecules. Scientific Reports;7(1).
  21. Bulti Bakchi, Ambati Dileep Krishna, Ekambarapu Sreecharan, Veeramallu Bala Jaya Ganesh, Muraboina Niharika, Suryadevara Maharshi, Srinivasa Babu Puttagunta, Dilep Kumar Sigalapalli, Richie R. Bhandare, Afzal B. Shaik. An overview on applications of SwissADME web tool in the design and development of anticancer, antitubercular and antimicrobial agents: A medicinal chemist's perspective, Journal of Molecular Structure; (2022).

Reference

  1. Gioiello, A., Piccinno, A., Lozza, A. M., & Cerra, B. (2020). The Medicinal Chemistry in the Era of Machines and Automation: Recent Advances in Continuous Flow Technology. Journal of Medicinal Chemistry. 2020 63 (13), 6624-6647.
  2. Nicholls, A., McGaughey, G. B., Sheridan, R. P., Good, A. C., Warren, G., Mathieu, M., Kelley, B. (2010). Molecular Shape and Medicinal Chemistry: A Perspective. Journal of Medicinal Chemistry, 53(10), 3862–3886.
  3. Khan H, Zafar M, Patel S, Shah SM, Bishayee A. Pharmacophore studies of 1,3,4- oxadiazole nucleus: Lead compounds as α-glucosidase inhibitors. Food Chem Toxicol. 2019 Aug; 130:207-218.
  4. Kashtoh H, Baek KH. Recent Updates on Phytoconstituent Alpha-Glucosidase Inhibitors: An Approach towards the Treatment of Type Two Diabetes. Plants (Basel). 2022 Oct 14;11(20):2722-2732.k
  5. Rafaqat Hussain, Wajid Rehman, Fazal Rahim, Shoaib Khan, Muhammad Taha, Yousaf Khan, Asma Sardar, Imran Khan, Syed Adnan Ali Shah. Discovery of Imidazopyridine Derived Oxadiazole-Based Thiourea Derivatives as Potential Anti-diabetic Agents: Synthesis, In Vitro Antioxidant Screening and In Silico Molecular Modeling Approaches. Journal of Molecular Structure,2023.
  6. Sri Fatmawati, Kuniyoshi Shimizu, Ryuichiro Kondo. Ganoderol B: A potent α- glucosidase inhibitor isolated from the fruiting body of Ganoderma lucidum. Phytomedicine.2011 Sep 15;18 (12): 1053-1055.
  7. Pagadala, N. S., Syed, K., & Tuszynski, J. (2017). Software for molecular docking: a review. Biophysical Reviews; 9(2): 91–102.
  8. Dias R, de Azevedo WF Jr. Molecular docking algorithms. Current Drug Targets. 2008 Dec;9(12):1040-1047.
  9. Saikia S, Bordoloi M. Molecular Docking: Challenges, Advances and its Use in Drug Discovery Perspective. Current Drug Targets. 2019;20(5):501-521.
  10. Mihailovi?.N, Markovi?.V, Mati?, I. Z, Stanisavljevi?, N. S, Jovanovi?, Ž. S, Trifunovi?, S, & Joksovi?, L. Synthesis and antioxidant activity of 1,3,4- oxadiazoles and their diacyl hydrazine precursors derived from phenolic acids. RSC Advances.2017; 7(14):8550–8560.
  11. Gurunanjappa. P, & Kariyappa, A. K. Design, synthesis and biological evaluation of 1,3,4-oxadiazoles/thiadiazoles bearing pyrazole scaffold as antimicrobial and antioxidant candidates. Current Chemistry Letters.2016; 109–122.
  12. Raczuk E, Dmochowska B, Samaszko-Fiertek J, Madaj J. Different Schiff Bases- Structure, Importance and Classification. Molecules. 2022 Jan 25;27(3):787-795.
  13. Cleiton M. da Silva, Daniel L. da Silva, Luzia V. Modolo, Rosemeire B. Alves, Maria A. de Resende, Cleide V.B. Martins, Ângelo de Fátima. Schiff bases: A short review of their antimicrobial activities. Journal of Advanced Research. 2011; 2(1): 1-8.
  14. Jamil W, Perveen S, Shah SAA, Taha M, Ismail NH, Perveen S, Ambreen N, Khan KM, Choudhary MI. Phenoxyacetohydrazide Schiff Bases: β-Glucuronidase Inhibitors. Molecules. 2014; 19(7):8788-8802.
  15. Sinicropi MS, Ceramella J, Iacopetta D, Catalano A, Mariconda A, Rosano C, Saturnino C, El-Kashef H, Longo P. Metal Complexes with Schiff Bases: Data Collection and Recent Studies on Biological Activities. International Journal of Molecular Science. 2022 Nov 27;23(23):14840.
  16. Li, Z., Wan, H., Shi, Y., & Ouyang, P. (2004). Personal Experience with Four Kinds of Chemical Structure Drawing Software: Review on Chemdraw, ChemWindow, ISIS/Draw, and Chemsketch. Journal of Chemical Information and Computer Sciences;44(5):1886–1890.
  17. Mendelsohn, L. D. (2004). Chemdraw 8 Ultra, Windows, and Macintosh Versions. Journal of Chemical Information and Computer Sciences, 44(6), 2225–2226.
  18. Pryce, J. D., & Marletta, M. (1991). A new multi-purpose software package for Schrödinger and Sturm-Liouville computations. Computer Physics Communications, 62(1), 42–52
  19. O’Boyle, N. M., Banck, M., James, C. A., Morley, C., Vandermeersch, T., & Hutchison, G. R. (2011). Open Babel: An open chemical toolbox. Journal of Cheminformatics; 3(1):
  20. Daina, A., Michielin, O., & Zoete, V. (2017). Swiss ADME: a free web tool to evaluate pharmacokinetics, drug-likeness, and medicinal chemistry friendliness of small molecules. Scientific Reports;7(1).
  21. Bulti Bakchi, Ambati Dileep Krishna, Ekambarapu Sreecharan, Veeramallu Bala Jaya Ganesh, Muraboina Niharika, Suryadevara Maharshi, Srinivasa Babu Puttagunta, Dilep Kumar Sigalapalli, Richie R. Bhandare, Afzal B. Shaik. An overview on applications of SwissADME web tool in the design and development of anticancer, antitubercular and antimicrobial agents: A medicinal chemist's perspective, Journal of Molecular Structure; (2022).

Photo
Dr. Anoob Kumar K I
Corresponding author

Professor, Dr. Moopen's College of Pharmacy, Wayanad

Photo
Reshma Kurup
Co-author

Student, Dr. Moopen's College of Pharmacy, Wayanad

Photo
Reshadh T A
Co-author

Student, Dr. Moopen's College of Pharmacy, Wayanad

Photo
Archana M
Co-author

Assistant Professor, Dr. Moopen's College of Pharmacy, Wayanad

Photo
Dr. Lal Prasanth M L
Co-author

Principal,Dr. Moopen's College of Pharmacy, Wayanad

Reshma Kurup, Reshadh T. A., Anoob Kumar K. I., Archana M., Lal Prasanth M. L., In silico anti-diabetic (?-glucosidase) inhibitory activity of schiff’s base derived 1,3,4, oxadiazole analogues, Int. J. of Pharm. Sci., 2026, Vol 4, Issue 4, 1243-1251, https://doi.org/10.5281/zenodo.19468175

More related articles
Formulation And Characterization of Aceclofenac Lo...
Jaswinder Singh, Mohit Chauhan, Anu Jindal, Rajmeet Singh, Shavet...
Overview of In Vitro Anti-Inflammatory Models ...
Aakanksha Shewale, Nikita Sandhan, Vaidehi Pawar, Shubham Pawar, ...
A Comparative Analysis Of In-Process Quality Contr...
Trupti Yogesh Pawar, Tanishka Anil Pawar, Rahul Keshav Godge, ...
Anti-Proliferative Effect of Methanolic Extract from Philodendron Burle-Marxii ...
Prabitha E. G., T. P. Rajmohanan, Ajna P. A., Anjali U., Binil Raj S. S., ...
Development And Validation of RP-HPLC Method For Simultaneous Estimation of Dapa...
Dhruvi Vaghasiya, Dhirendra Kumar Tarai, Khyati Bhupta, Dr. Santosh Kirtane, ...
Related Articles
A Review Article of An Antioxidant Activity of Moringa Oleifera Leaf...
Syed Sabreen, Dr. Dhulipalla Curie, Jetti Amos Babu, Muppuri. Venkata Gopi, Yalagala Jaya Manoj, T. ...
Evaluation of Antioxidant and Antidiabetic Activities of Gymnema Sylvestre and M...
Mansi Kulkarni , Samruddhi Gaikwad , Gudiya Purohit , Shubham Pardeshi , Vaishnavi Nage, Tabassum Kh...
Artificial Intelligence in Pharmacy ...
Prabhakar kolhe, Radika Kotame, Omkar Phopse, Abhishek Dhanwate, Pravin Binnar, ...
Formulation And Characterization of Aceclofenac Loaded Mucoadhesive Microspheres...
Jaswinder Singh, Mohit Chauhan, Anu Jindal, Rajmeet Singh, Shaveta Bhardwaj, Satvinder kaur, ...
More related articles
Formulation And Characterization of Aceclofenac Loaded Mucoadhesive Microspheres...
Jaswinder Singh, Mohit Chauhan, Anu Jindal, Rajmeet Singh, Shaveta Bhardwaj, Satvinder kaur, ...
Overview of In Vitro Anti-Inflammatory Models ...
Aakanksha Shewale, Nikita Sandhan, Vaidehi Pawar, Shubham Pawar, Vishal Shewale, Priti Patle, ...
A Comparative Analysis Of In-Process Quality Control Parameters Of Montelukast S...
Trupti Yogesh Pawar, Tanishka Anil Pawar, Rahul Keshav Godge, ...
Formulation And Characterization of Aceclofenac Loaded Mucoadhesive Microspheres...
Jaswinder Singh, Mohit Chauhan, Anu Jindal, Rajmeet Singh, Shaveta Bhardwaj, Satvinder kaur, ...
Overview of In Vitro Anti-Inflammatory Models ...
Aakanksha Shewale, Nikita Sandhan, Vaidehi Pawar, Shubham Pawar, Vishal Shewale, Priti Patle, ...
A Comparative Analysis Of In-Process Quality Control Parameters Of Montelukast S...
Trupti Yogesh Pawar, Tanishka Anil Pawar, Rahul Keshav Godge, ...