View Article

  • Current Perspectives on The Pharmacognostic, Phytochemical And Pharmacological Profile of Vitex Trifolia

  • S.V.U. College of Pharmaceutical Sciences, Sri Venkateshwara University, Tirupati - 517502. A.P, India.

Abstract

Commonly found in tropical and coastal region of Aisa, Vitex trifolia L (family: lamiaceace is a fragrant shrub with medicinal value that has long been used to treat neurological problems, rheumatism, fever, inflammation, and discomfort. The plants trifoliate leaves, bluish-purple flowers, flowers and tiny drupaceous fruits are its botanical characteristics. Its pharmacognostic identification is supported by microscopic studies that reveal diagnostic features such as multicellular covering trichomes, glandular trichomes, dorsiventral mesophyll, anomocytic stomata, and well-developed vascular tissues. Macroscopic evaluation reveals lanceolate leaflets with complete margins and a distinctive aromatic odour. Its medicinal properties are thought to be attributed to the presence of flavonoids, iridoid glucosides, diterpenoids, lignans, phenolic compounds, essential numerous activities, backed by in vitro and in vivo experimental models, have been documented in pharmacological research, including anti-inflammatory, analgesic, antipyretic, antioxidant, antibacterial, antiplatelet, hepatoprotective, neuroprotective, and anticancer characteristics. In order to emphasizevitex trifolia potential as a viable source for the creation of innovative plant-based medicinal. Medicines, this review attempts to provide a through summary of its botanical traits, pharmacognostical properties, phytochemical content and pharmacological activity.

Keywords

vitex trifolia L, lamiaceae, anti-inflammatory, antimicrobial, traditional medicine

Introduction

Vitextrifolia L.(Nalla Vavili / Nirnochi) is a medicinal shrub belonging to the family Lamiaceae (formerly Verbenaceae). The plant, often referred to as the three-leaved chaste tree, is found in tropical and subtropical areas, including China, Australia, southeast Asia, Andia, Sri Lanka, and pacific islands. It thrives in sandy soils, coastal region, and riverbanks.The most widely utilized part of the plant are the leaves, flowers, fruits, stems and roots. The Vitex trifolia has historical been used to treat inflammation, pain, fever, rheumatism, headaches, respiratory condition, and infection in ayurvedic, siddha, Unani, and folk medicine systems. Its biological properties, such as it is antiproliferative, antiangiogenic, antioxidant, Wound healing, antimicrobial, antipyretic, immunomodulatory, anti-asthmatic, anti-inflammatory, and antihypertensive effects, have been the subject of numerous pharmacological investigations. Numerous bioactive substances including as flavonoids (casticin, artemetin, and luteolin), terpenoids, phenolic compounds, sterols, and essential oils, have been identified by phytochemical analyses of vitex trifolia. Numerous phytoconstituents have been shown to havevasoprotective, anti-inflammatory, and antioxidant properties that are directly related to cardiovascular health.

PLANT PROFILE:      

 

 

Figure 1: Vitex trifolia

  1. Botanical classification:
  • Kingdom: Plantae
  • Clade: Angiosperms
  • Clade: Eudicots
  • Order: Lamiales
  • Family: Lamiaceae (formerlyVerbenaceae)
  • Genus: Vitex
  • Species:Vitex trifolia L.

Morphological Description of Vitex trifolia

The fragrant perennial shrub or small tree Vitex trifolia L. (family Lamiaceae, formerly Verbenaceae) is found across tropical and subtropical coastal areas. The plant has a bushy, spreading habit and usually reaches a height of 2–4 m.

Root: Strong anchoring and adaptability to sandy and coastal soils are provided by the plant's well-developed tap root system, which has many lateral roots.

Stem: The stem is cylindrical, woody, upright, heavily branched, and coated in fine pubescence in its younger sections. Mature stems have distinct internodes and nodes, are rough, and range in colour from brown to greyish-brown. Older plants have thin, slightly cracked bark.

Leaves: One of the species' primary characteristics is its opposing, palmately complex, typically trifoliate leaves. Lanceolate to elliptic-lanceolate in shape, each leaflet is roughly 5–12 cm long and 2-4 cm wide. The base is cuneate, the apex is acute to acuminate, and the leaf edge is complete. While the lower surface is pale green with profuse silvery or greyish pubescence, the upper surface is glabrous and dark green. Because essential oils are present, crushed leaves release a distinctive, aromatic smell.

Inflorescence: The inflorescence is a densely flowered, 10–20 cm long terminal or axillary panicle or cyme. The axis of the inflorescence is branching and pubescent.

Flowers: The zygomorphic, tiny, bisexual, and ostentatious flowers range in colour from lavender to bluish-purple. The calyx is pubescent, five-toothed, and campanulate. The tubular corolla has five uneven lobes. Four didynamous stamens with exerted filaments are present. With a thin style and bifid stigma, the ovary is superior, bicarpellary, and four-locular.

Fruit: The fruit is an ovoid to globose drupe that is 4–6 mm in diameter. It is green at first and turns black or purplish-black when it ripens. There are four one-seeded pyrenes in the fruit.

Seeds: The stony endocarp encloses the tiny, hard, brown seeds. They have low natural germination rates and are not endospermic.

Cultivation And Propagation methods:

Seed Propagation

Seed Collection and Processing: In late summer or early winter, seeds are extracted from completely ripe fruits. Seeds are carefully separated, and fruits are shade-dried. For propagation, only seeds that are disease-free and in good health are chosen.

Seed Dormancy and Germination: Due to physiological and hard seed coat-related dormancy problems, Vitex trifolia seed propagation has a moderate degree of success. Germination is frequently erratic and delayed.

Pretreatment Method:

To improve germination percentage, seeds may be subjected to:

  • Water soaking for 12–24 hours
  • Mechanical or chemical scarification
  • Treatment with gibberellic acid (GA?, 100–500 ppm)
  • Warm stratification
  • Advantages and Limitations

Propagating seeds is a cost-effective method of preserving genetic variety. It is less suited for commercial medicinal production, nevertheless, because to its poor germination rates, lengthy growth periods, and genetic diversity.

Vegetative Propagation: Vegetative propagation is preferred for medicinal plants as it produces true-to-type plants with consistent phytochemical profiles.

Stem Cutting Propagation Hardwood or semi-hardwood stem cuttings with two to four nodes that are 15 to 20 cm long are frequently utilised. Root initiation is greatly improved by treatment with rooting hormones such indole-3-butyric acid (IBA, 500–2000 ppm). Cuttings are planted in well-drained media, such as substrates made of cocopeat, sand, or soil:sand:farmyard manure FYM (1:1:1). In controlled humidity and moderate shade, rooting usually takes three to five weeks.

Air Layering: Another efficient technique for vegetative proliferation is air layering. Mature branches are stripped of some of their bark, treated with rooting hormones, and then covered with damp sphagnum moss. Within four to six weeks, roots begin to form, and then the layer is separatedand moved. This approach is labour-intensive and less appropriate for large production, despite its great success.

Advantages of Vegetative Propagation:

Rapid multiplication, genetic homogeneity, and early maturity are guaranteed by vegetative methods. They work especially well for growing medicinal plants, where uniformity in quality is crucial.

Micropropagation (In-Vitro Propagation):

Explant Selection and Sterilization: Young leaves, nodal segments, and shoot tips are frequently utilised as explants. Cleaning with running water is the first step in surface sterilisation. Next, 70% ethanol and appropriate sterilising agents, like sodium hypochlorite, are applied.

Culture Media and Growth Regulators: It is common practice to propagate Vitex trifolia in vitro using Murashige and Skoog (MS) medium. Auxins like naphthalene acetic acid (NAA) and indole-3-butyric acid (IBA) aid in root induction, while cytokinins like benzylaminopurine (BAP) encourage shoot growth.

Acclimatization: Plantlets that have been regenerated in vitro must be gradually acclimated before being placed in field settings. When moved to soil mixtures with sand and organic materials, hardened plants exhibit high survival rates.

Advantages and Limitations: Rapid bulk multiplication of disease-free plants and the preservation of elite genotypes are made possible by micropropagation. Nevertheless, it is costly, technically complex, and needs qualified staff.

Comparative Evaluation of Propagation Methods:

 

Table 1: Comparative evaluation of propagation method

Propagation Method

Success Rate

Uniformity

Cost

Suitability

Seed propagation

Low–moderate

Low

Low

Genetic studies

Stem cuttings

High

High

Low

Commercial cultivation

Air layering

Very high

High

Medium

Limited scale

Micropropagation

Very high

Very high

High

Mass production & conservation

 

Macroscopic and microscopic evaluation:

Macroscopic evaluation:

In Vitex trifolia, the green leaves have resinous glands tomentose below and 7–12 pairs of terminals and supraaxillary lateral nerves with panicles that are 5–26 cm long [1]. Three-foliolate leaflets have grey-appressed petioles, are elliptic or oblong-obovate, thin, and canaliculate, and range in length from 0.5 to 3.5 cm.

Typically, the base is obtuse or acute to cuneate, the margins are entire, the apex is acuminate, the middle leaflets are 2.5–6.5×1–3.5 cm long, the petiolules are 0.5 cm long, the lateral leaflets are 2.5–4.5×1–1.5 cm, the terminal leaflet is sessile, the lateral smaller, sessile, all glabrous above, very densely white-tomentose below, base tapering; common petioles 1.3–1.6 cm in length[2].

The stems are often procumbent, frequently rooted at the nodes and annulate nodes, with 2.5–5 cm long internodes that produce mats many meters in diameter. The flowers are aromatic and have pedicels that are 0.5–1 cm long. The silky hair is called tomentose. The fruits of the Calyx campanulate flower are 6 mm in diameter and contain four tiny black seeds. The blooms are born in panicles with purple to violet two-lipped corollas[3].

Macroscopic structures:

 

 

 

 

Figure 2: Macroscopic characters of vitex trifolia (Leaf, flower, fruit and leaf surface)

 

Microscopic evaluation:

The leaflet's smooth adaxial surface is 120 µm thick between the ridges and 140 µm thick along the ridged portion. thick and noticeable adaxial epidermis with a rectangular cell and a subepidermal layer with a thick wall and a thin cuticle of 10 µm. The thickness of the hypodermal layer is 15 µm. It has a thick midrib. The epidermis is a thin covering of tiny cells. The midrib's ground tissue is made up of compact parenchyma cells with spherical, thin walls[4].

The vascular strand of the midrib's circulatory system is made up of many parallel rows of xylem, each of which has a narrow parenchymatous space between it. Each row of xylem is composed of roughly six cells with thick walls and an angular shape. The abaxial epidermis has dense non-glandular trichomes and is narrow, while the adaxial is round. There are four layers of cylindrical cells that make up mesophyll. These spongy parenchyma and palisade cells progressively decreased in height as they moved below.

Microscopic structures:

 

 

 

Figure 3: Microscopic characters of vitex trifolia leaf and stem.

 

  1. Plant macroscopic and microscopic evaluation:

 

 

Table 2:Macroscopic and microscopic characters of leaves

 

 

 

 

 

 

 

Leaves

Macroscopic character

 

Microscopic character

color

Green

Adaxial surface

140 μm thick along the ridged part of the leaflet and 120 μm thick in between the ridges

Leaves

1-5 foliolate

Adaxial epidermis

Thick and prominent with rectangular cell

Leaflets

oblong-elliptic to oblanceolate or obovate or almost round

Subepidermal layer

fairly thick walled with 10 μm thin cuticle

Size

1.5-7× 0.8-4

Hypodermal layer

15 μm thick

Apex

emarginate or rounded to acute or acuminate

Midrib

Thick

Base

Cuneate to attenuate

Ground midrib tissue

Circular thin-walled compact parenchyma cells

Trichomes

Dence non-glandular

Appearance

Puberulous to glabrescent and ± glandular above, tomentose beneath; petiole 0.6–3.3 cm long; petiolules 1–20 mm long

Mesophyll

Four layers of vertically elongated narrow cylindrical cells

Taste

Bitter

Height of palisade and spongy parenchyma cells

Reduced gradually toward the lower part

 

Table 3:Macroscopic and microscopic character of fruits

 

 

 

Fruit

 

 

 

 

Macroscopic character

Microscopic character

Colour

Brownish black

Colour of powder

Dark brown

Shape

Nearly spherical

Nonglandular hair

28-48 µm in diameter

Polar diameter(mm)

5.0-7.0

Exocarp cell

Two or three cells, hooked, 31-150 µm in length

Equatorial diameter(mm)

3.0-6.0

Mesocarp cell

Polygonal-like, with fine horny on the surface

Surface

Rough white sand-like protuberance

Sclereid

Oval-like, densely covered with large pits

Calyx

Yellowish- green, tomentose, covering 1/3 to 2/3 of surface

Sclereid

Nearly elliptical, 36-100 µm in length and 16-50 µm in diameter, containing, calcium oxalate square crystal

Testa cell

Polygon-like reticulocyte

 

TRADITIONAL USES:

Chinese traditional medicine uses it as an anti-inflammatory to treat eye pain, migraines, colds, and headaches [5],cancer, and rheumatism. The leaves have antiseptic, beriberi, diuretic, febrifuge, eczema, ringworm, liver problems, spleen enlargement, rheumatic pain, gout, abscess, insecticidal, and antibacterial properties [6]. They can also be used to treat sprains, contusions, and swollen testicles[7]in addition to controlling population, nervine, cephalic, and emmenagogue substances that increase blood flow in the pelvic region and uterus, fruits, an acid alkaloid, and colouring matter are used to treat amenorrhoea, the common cold, headaches, watery eyes, and mastitis.In Unani medicine, Vitex trifolia is used to cure waning libido under the name sambhalu. The inner bark is used to cure pulmonary TB, as well as other conditions like rheumatism, sinusitis, periodontitis, chronic tracheitis, prosopalgia, diarrhoea, expectoration, and decreasing blood pressure. The roots have diuretic, insecticidal, and antihelmintic properties.

PHYTOCHEMICAL CONSTITUENTS:

Polyphenolic substances, flavonoids, proteins, tannins, phytosterols, and saponins are all present in the plant. Phytochemical investigations of vitex trifolia have found a variety of bioactive chemicals, including as flavonoids (casticin, artemetin, and luteolin), terpenoids, phenolic compounds, sterols, and essential oils.

Fruit:

Fruits of Vitex trifolia consist [8-10] of essential oil, Vitex trifolia A-G, monoterpenes along with diterpenes, dihydrosolidagenone, beta-sitosterol-3-O-glucoside, terpineol, alpha-pinene, 3,6,7-trimethylquercetagetin [11], hexanic, and dichloromethanic were extracted from stem [12]. The methyl-p-hydroxy benzoate was reported[13]. 15 compounds were isolated from Vitex trifolia.

Leaves and bark:

Leaves and bark contain an essential oil, flavones, artemetin and 7-dimethyl artemetin [14], friedelin, and some non-flavonoids and alkaloids. Caryophyllene is the major sesquiterpene. Vitricin, a new alkaloid, has been isolated from the plant [15]Vitex trifolia contains palmiticacid, ethyl-p-hydroxybenzoate, 3,4-dihydroxybenzoic acid, 4-hydroxy-3-methoxybenzoic acid, caffeic acid, hydroxyl ethyl cinnamate, luteolin, quercetin, apigenin, casticin, and 3,6,7-trimethylquercetagetin.   It has been demonstrated that several phytoconstituents contain antioxidant, anti-inflammatory, and vasoprotective qualities that are closely linked to cardiovascular health. Oxidative stress and inflammation are two key factors in platelet activation and aggregation.

Reactive oxygen species promote thrombus formation and enhance platelet responsiveness. Flavonoids and phenolic compounds found in Vitex trifolia have the ability to scavenge free radicals, inhibit inflammatory mediators, and change enzyme systems such as the cyclooxygenase and lipoxygenase pathway, which suggests that Vitex trifolia may also be able to inhibit platelet aggregation.

Flavonoids:

shows the several flavonoid subclasses found in Vitex trifolia, such as flavones (entities 125–132), flavonols (entities 133–142), and flavanones (entities 143–144). Among these, methoxylated flavones—more especially, compounds 132 and 135–141—have drawn special attention.These substances, which are distinguished by possessing two to five methoxyl groups, have mostly been found in polar extracts or fractions made from the plant's fruits and leaves[16].Certain methoxylated flavones, such as vitexicarpin (compound 135), artemetin (compound 138), and chrysoplenol D (compound 140), have been isolated from the seeds as a result of more research[17]. As seen in structures 126, 128–131, and 136–137, these isolated compounds have been found to exist either as free-standing molecules or in glucosidic form, frequently coupled primarily with glucose units. Additionally, the plant's ethyl acetate extract has been found to have a unique glucoside, the neohesperidoside molecule, in a conjugated form as quercetin 7-O neohesperidoside (compound 134)[18]. In addition to demonstrating Vitex trifolia's chemical complexity, this variety of flavonoid derivatives shows the plant's potential as a source of diverse beneficial chemicals.

 

 

 

 

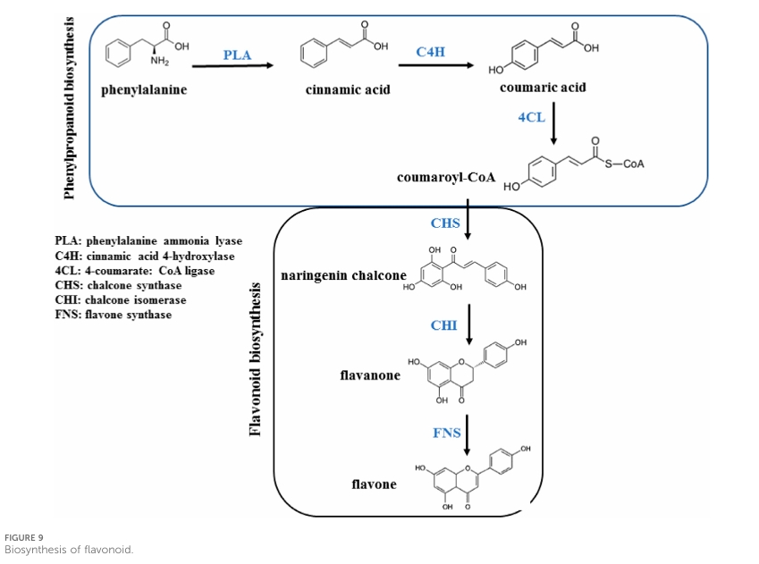
Figure 4: Biosynthesis pathway of flavonoids

 

Iridoids:

The skeletal structure of iridoids, a broad class of monoterpenoids, is made up of a cyclopentane ring fused with a six-membered ring that contains an oxygen atom. This structure is referred to as the iridane skeleton. These substances are usually found in plants alongside sugar molecules, converting them to glycosides and enabling classification[19]. Different from the folding seen in monoterpenoids, geraniol undergoes a special folding process to produce the iridoid system. Over a thousand distinct natural iridoids are known to exist, and structural variations mostly result from alterations in stereochemistry, hydroxylations, and esterifications [20].

 

 

 

Figure 5: Biosynthesis pathway of iridoids

 

Terpenoids:

Monoterpenoids and sesquiterpenoids

Iridoids and their associated glycosides (metabolites 1–10) make up the majority of Vitex trifolia monoterpenoids. In addition to the iridoids, the fruits have been shown to contain an acyclic monoterpenoid called vitexoid [21], which is a distinctive metabolite of Vitex trifolia[22]. The fruits contained only two aromadendrane-type sesquiterpenoids (16 and 17) [23].

Diterpenoids

TheVitex trifolia fruits and leaves can be considered as a rich source of cyclic diterpenes, predominantly containing monocyclic, bicyclic(labdane, halimane, clerodane), and tricyclic (abietane) skeletons. Notably, a variety of chromatographic procedures were used to separate each of these chemical kinds from semi-polar fractions or semi-polar soluble extracts (acetone, ethyl acetate). Among other phytochemicals, labdane diterpenoids (18–70) have been shown to be the most abundant, with 53 derivatives.

The remaining metabolites of the genus have been found in aglycosylated form, with the exception of two glycosylated diterpenoids (69 and 70). Recently, four novel labdane diterpenoids, vitetrolins A-D (47–48, 20 and 54), were discovered through phytochemical analysis of the ethanol extract of Vitex trifolia fruits [24]. A cyano-substituted pyrrole cyclic system (64–67) was identified from the leaf's ethanolic extract following additional research on the extraction of Vitex trifolia labdane diterpenoid alkaloids. These amazing metabolites may be produced by the biosynthesis of geranylgeranyl pyrophosphate (GGPP), ammonia, and an amino acid.

Triterpenoids and phytosterols

 In Vitex trifolia, the most abundant subclasses of triterpenoids identified are oleanane, ursane, and lupane, with 92 to 110 representative compounds. Furthermore, compound 111, a metabolite with a taraxerane structure, has been identified, enhancing this species' chemical profile even more[25]. Three triterpenoid saponins (97–99) derived from the leaves of Vitex trifolia have been effectively identified by Mohamed et al. in Frontiers in Pharmacology due to the quantity of triterpenoids in their free form in this plant[26]. Ecdysteroids are of particular interest among the many Vitex species because of their unique traits that are useful in chemotaxonomy[27].

 

 

 

Figure 6: Biosynthesis pathway of terpenoid

 

Figure 7: Phytochemical structures

 

PHARMACOLOGICAL ACTIVITIES:

Antiasthmatic activity:

            Asthma is a common allergic and inflammatory disease of the respiratory system. Asthma prevalence rose globally as a result of immune system dysfunction and rising air pollution [28]. To promote AHR, activated Th2 cells will release an overabundance of cytokines. Additionally, it will cause eosinophil infiltration, which exacerbates lung inflammation and allergic reactions. Cytokine causes mucus secretion and goblet cell hyperplasia, which severely obstructs the airways. For asthma to be improved, Th2 cell activation must be done incorrectly [29].

In another study, three compounds were isolated from leaves of Vitex trifolia which were viteosin–A, vitexicarpin and vitetrifolin-E. Only viteosin-A exhibited anti-tracheospasmolytic effect, though, which is connected to asthma's reduction of tracheal contraction [30]. These substances can stabilise the function of mast cell membranes and are non-competitive antagonists of histamine. After testing against Rat Basophilic Leukaemia cells, which mimic mucosal mast cells (RBL-2H3) generated by A Dinitrophenylated Bovine Albumin (DNA-BS), vitexicarpin shown the highest effect to block the histamine release when compared to viteosin-A and vitetrifolin-E [31].

Anticancer activity:

Cancer is one of the major causes of death, globally, with breast cancer as one of the most common occurrences in females. A flavonoid, casticine or vitexicarpin is another name for casticini. In addition to fruits, leaves, and aerial parts, cacticin has also been detected in seeds. Casticin generally causes cancer cells to undergo apoptosis by a variety of mechanisms, including apoptosis caused by proteins, reactive oxygen species (ROS), caspase, tumour necrosis factor-related apoptosis inducing ligand (TRAIL), and mitochondria [32].

Through a variety of molecular pathways, carticin causes apoptosis in a large number of cancer cell lines. One of the mechanisms that has been documented is the activation of caspase-3. Apoptosis signal-regulating kinase1 (ASK 1), c-Jun N-terminal kinase (JNK), stimulation of death receptors, and G2/M phase arrest are a few examples [33].Other than casticin, flavonoids that have been identified from Vitex trifolia include artemetin, luteolin, penduletin, and chrysosplenol-D. These chemicals are bioactive components that have the ability to block the G2/M phase of the cell cycle and induce partial apoptosis.  The majority of the compounds are methoxylated flavonoids known as anthocyanins, and neither the cell cycle inhibitory impact nor the anticancer effects of compounds 1 and 4 have been reported. An antioxidant flavonoid called anthocyanin has the ability to block NF-θB, which stops the development of cancer.

Antioxidant activity:

The secondary metabolites found in many plant sections, such as tannins, phenols, and alkaloids, give plants their medicinal qualities.Because of their redox characteristics, phenols give plants antioxidant qualities. Phenols have the ability to reduce, donate hydrogen, quench singlet oxygen, and chelate metals. Two important classes of substances that function as principal antioxidants or free radical scavengers are flavonoids and tannins. Anthocyanin is a flavonoid and antioxidant that is expressed when a plant's chlorophyll is damaged by excessive heat [34].

Carotene > flavonoids > ascorbic acid > total anthocyanins are the antioxidant phytochemicals that are said to have a good relationship with reducing capabilities. High antioxidants such tannins, saponins, and an adequate quantity of alkaloids, phenols, and flavonoids are found in Adhatoda vasica and Vitex negundo. This implies that the phytochemical components of these plants have a high level of overall antioxidant activity and reducing power (22). Additionally, Vitex trifolia has high concentrations of phenols, alkaloids, flavonoids, and saponins, all of which have antioxidant properties [35]. Oxidative stress pathways, including those pertaining to inflammatory processes brought on by the virus's action, may be the most important aspect of coronavirus infections to be investigated. Hence, demonstrating the advantageous impact of antioxidants.

Wound healing activity:

The potential for wound healing was examined in the ethanol leaf extracts of Vitex altissima and Vitex trifolia. Both extracts had notable wound-healing efficacy, according to the study. Vitex trifolia demonstrated optimum healing activity by showing shorter epithelization times and increased wound contraction in contrast to V. altissima[36].

Anti-inflammatory activity:

The leaf extract of Vitex trifolia was explored for its role on nociception and found that it was effective in ameliorating pain. This study showed that Vitex trifolia had antinociceptive properties and enhanced such properties by combining it with common analgesics. On an acute model of inflammation, a dose-dependent anti-inflammatory effect was also documented [37].

Acute and chronic models of inflammation, including granuloma pouch, carrageenan-induced paw oedema, and formaldehyde-induced arthritis, were used to investigate an aqueous extract of Vitex trifolia leaves. The production of paw oedema and exudates was significantly inhibited, according to the results [38]. Using common nociception models, such as the tail immersion test and the acetic acid-induced writhing method, the antinociceptive potential of Vitex trifolia was investigated. There was a noticeable decrease in the quantity of writhes in the acetic acid-induced writhing method. The latent period to remove the tail was also noted in the tail immersion method. Significant antinociceptive efficacy was demonstrated by rats given the highest dose (400 mg), indicating that Vitex trifolia Linn. effectively improves both central and peripheral nociception [39].

Antibacterial activity:

The leading cause of death is infectious disease, which is treated with a variety of medicinal plants. The anti-infective chemical components of Vitex species have been the subject of multiple reports[40]. Since secondary metabolites have the ability to regulate these antibiotic-resistant human infections, they may also be responsible for the antibacterial action[41]. In a different investigation, the majority of the bacterial isolates were suppressed by Vitex trifolia. Because the methanol extract contained certain active ingredients, it was more effective than the ethanol and ethyl acetate extracts. Because methanol is polar, it extracts the active ingredients from plant parts more effectively than other solvents. Because gram-positive bacteria are more susceptible to a range of antibiotics than gram-negative bacteria, whose cell walls are constructed similarly to other biological membranes, the extracts are also more effective against gram-positive bacteria than gram-negative bacteria.

Antivirial activity:

 In an in vitro test, Vitex trifolia showed strong antiviral activity against Herpes simplex and Molluscum contagiosum, with effective concentrations of roughly 0.25 μg/mL and 0.5 μg/mL, respectively, at a 0.4 μg/mL concentration. Crucially, this antiviral effectiveness was attained without resulting in appreciable harm. These results demonstrate Vitex trifolia'spotential as a viable natural source for creating secure and strong antiviral medications. Our knowledge of Vitex trifolia's therapeutic potential in antiviral therapies might be improved by more research into the particular bioactive compounds and their modes of action, as well as more extensive clinical applications [42].

Anti-malaria activity:

The antimalarial potential of extracts from 70 plant species, covering 62 genera and 34 families, was assessed in a study that used semi-structured questionnaires and informant interviews to collect information about plants linked to malaria and associated symptoms. According to the findings, the Solanaceae family was most often mentioned, with seven plants exhibiting encouraging antimalarial qualities. Notable outcomes were noted in the Laminaceae family, particularly in the antimalarial properties of Vitex negundo L. and Vitex trifolia L., which were documented to treat malaria in the Soon Valley region of Pakistan. These results highlight the ethnobotanical significance of specific plant species in communities due to their possible antimalarial qualities [43].

Anti-HIV activity:

The effect of 80% ethanol and aqueous extracts from 20 Thai medicinal herbs on HIV type 1 reverse transcriptase activity was examined in a study. The findings showed that at a concentration of 200 μg/mL after one hour of incubation, the aqueous extracts of Vitex glabrata R. Br. (branch), Vitex trifolia (aerial part), and Vitex negundo L. (aerial part) demonstrated an exceptionally good inhibition ratio (% IR) more than 90%. As a positive control, doxorubicin hydrochloride reduced HIV-1 RT activity by 98.3% at 1 mM. Given their notable inhibitory effects on HIV-1 reverse transcriptase activity, our results imply that certain extracts from Vitex trifolia, V. glabrata, and V. negundo have a great potential as candidates for additional research in the development of anti-HIV medicines [44].

Hepatoprotective activity:

The ethanolic extracts of Vitex trifolia flowers were tested for their hepatoprotective effects using mice models and a carbon tetrachloride-induced liver injury model. The hepatoprotective effect was comparable to that of silymarin, a common drug [45]. Biochemical tests on the serum revealed a higher decrease in liver enzymes, including serum glutamic-oxaloacetic transaminase, serum glutamic pyruvic transaminase, alkaline phosphatase, gamma-glutamyl transpeptidase, and total bilirubin; rodents treated with ethanolic and aqueous extracts of Vitex trifolia also showed an increase in total protein levels. Hepatic injury was indicated by a notable increase in liver enzymes in the nontreated group. Histopathological findings showing normal hepatic architecture with few fatty lobules further corroborate Vitex trifolia's hepatoprotective activity, indicating that it provided substantial protection against CCl4-induced hepatocellular injury.

 

CONCLUSION

Vitex trifolia L. is a significant medicinal shrub widely used in traditional medical systems and is increasingly supported by scientific evidence. Its comprehensive phytochemical profile includes flavonoids, iridoids, diterpenoids, triterpenoids, phenolic compounds, and essential oils, along with well-documented botanical and pharmacognostic characteristics. These bioactive constituents contribute to its broad spectrum of pharmacological activities.  Experimental studies have demonstrated significant anti-inflammatory, antioxidant, antibacterial, antiviral, hepatoprotective, anticancer, antiasthmatic, and antiplatelet properties. The anti-inflammatory and antioxidant effects, particularly those mediated by flavonoids such as artemetin and luteolin.

REFERENCES

  1. Jose BE, Jebaseelan S, Meera R. Phytochemical Investigation and Anti-Cancer Activity of Vitex trifolia. Journal of Pharmaceutical Sciences and Research. 2017 Jul 1;9(7):1056.
  2. Thenmozhi S, Sundaram RS, Kumar JP, Bihari CG. Pharmacognostical and phytochemical investigation on leaves of Vitex trifolia Linn. Journal of Pharmacy Research. 2011 Apr;4(4):1259-62.
  3. van der Valk JM, Leon CJ, Nesbitt M. Macroscopic authentication of Chinese materia medica (CMM): a UK market study of seeds and fruits. Journal of herbal medicine. 2017 Jun 1;8:40-51.
  4. Ono M, Ito Y, Nohara T. Four new halimane-type diterpenes, vitetrifolins DG, from the fruit of Vitex trifolia. Chemical and pharmaceutical bulletin. 2001;49(9):1220-2.
  5. Geetha V, Doss A, Doss AP. Antimicrobial potential of Vitex trifolia Linn. Ancient science of life. 2004 Apr 1;23(4):30-2.
  6. Ahmed MR, Anis M. Role of TDZ in the quick regeneration of multiple shoots from nodal explant of Vitex trifolia L.—an important medicinal plant. Applied biochemistry and biotechnology. 2012 Nov;168(5):957-66.
  7. Cousins MM, Briggs J, Whitwell T, Gresham C, Whetstone J. Reestablishment potential of beach vitex (Vitex rotundifolia) after removal and control efforts. Invasive Plant Science and Management. 2010 Nov;3(3):327-33.
  8. Zeng X, Fang Z, Wu Y, Zhang H. Chemical constituents of the fruits of Vitex trifolia L. Zhongguo Zhong yao za zhi= Zhongguo zhongyao zazhi= China journal of Chinese materia medica. 1996 Mar 1;21(3):167-8.
  9. Ono M, Sawamura H, Ito Y, Mizuki K, Nohara T. Diterpenoids from the fruits of Vitex trifolia. Phytochemistry. 2000 Dec 1;55(8):873-7.
  10. Hernandez MM, Heraso C, Villarreal ML, Vargas-Arispuro I, Aranda E. Biological activities of crude plant extracts from Vitex trifolia L.(Verbenaceae). Journal of Ethnopharmacology. 1999 Oct 1;67(1):37-44.
  11. Kannathasan K, Senthilkumar A, Venkatesalu V. Mosquito larvicidal activity of methyl-p-hydroxybenzoate isolated from the leaves of Vitex trifolia Linn. Acta Tropica. 2011 Oct 1;120(1-2):115-8.
  12. Li WX, Cui CB, Cai B, Wang HY, Yao XS. Flavonoids from Vitex trifolia L. inhibit cell cycle progression at G2/M phase and induce apoptosis in mammalian cancer cells. Journal of Asian natural products research. 2005 Aug 1;7(4):615-26.
  13. Arifin B, Nasution R, Saidi N, Marianne M, Aprilia S. Vitex trifolia plant control of mice environmentally friendly.
  14. Suchitra M, Cheriyan BV. Vitex trifolia: An ethnobotanical and pharmacological review. Asian J. Pharm. Clin. Res. 2018;11(4):12-4.
  15. Li XX, Wang L, Liu YL, Zhao ZX, Wang XL, Lei R, Li HJ. Comprehensive identification of Vitex trifolia fruit and its five adulterants by comparison of micromorphological, microscopic characteristics, and chemical profiles. Microscopy Research and Technique. 2020 Dec;83(12):1530-43.
  16. Guan R, Wang D, Yu Z, Wang X, Lan T. Preparative isolation and purification of the active components from Viticis Fructus by high-speed counter-current chromatography. Se pu= Chinese Journal of Chromatography. 2010 Nov 1;28(11):1043-7.
  17. Mohamed MA, Abdou AM, Hamed MM, Saad AM. Characterization of bioactive phytochemical from the leaves of Vitex trifolia. Int. J. Pharm. Appl. 2012;3:419-28.
  18. Villasenor IM. Bioactivities of iridoids. Anti-Inflammatory & Anti-Allergy Agents in Medicinal Chemistry (Formerly Current Medicinal Chemistry-Anti-Inflammatory and Anti-Allergy Agents). 2007 Nov 1;6(4):307-14.
  19. Dewick PM. Medicinal natural products: a biosynthetic approach. John Wiley & Sons; 2002 Jan 3.
  20. Djimabi K, Li B, Chen XH, Su PJ, Liu X, Wang RY, Qi FM, Wang MJ, Fei DQ, Zhang ZX. Chemical constituents from the fruits of Vitex trifolia L.(Verbenaceae) and their chemotaxonomic significance. Biochemical Systematics and Ecology. 2021 Aug 1;97:104305.
  21. Gu Q, Zhang X, Jiang Z. Chemical constituents from fruits of Vitex trifolia. Chinese Traditional and Herbal Drugs. 2007;38(5):656.
  22. Chen YS, Xie JM, Yao H, Lin XY, Zhang YH. Studies on the triterpenoids of Vitex trifolia. Zhong yao cai= Zhongyaocai= Journal of Chinese Medicinal Materials. 2010 Jun 1;33(6):908-10.
  23. Mohamed MA, Abdou AM, Hamed MM, Saad AM. Characterization of bioactive phytochemical from the leaves of Vitex trifolia. Int. J. Pharm. Appl. 2012;3:419-28.
  24. Djimabi K, Wang RY, Li B, Chen XH, Liu X, Wang MJ, Zhan XQ, Qi FM, Fei DQ, Zhang ZX. Diterpenoids with α-glucosidase inhibitory activities from the fruits of Vitex trifolia Linn. Fitoterapia. 2022 Sep 1;161:105248.
  25. Sena Filho JG, Duringer J, Maia GL, Tavares JF, Xavier HS, Sobral da Silva M, da?Cunha EV, Barbosa?Filho JM. Ecdysteroids from Vitex species: distribution and compilation of their 13C?NMR spectral data. Chemistry & Biodiversity. 2008 May;5(5):707-13.
  26. Steinke JW, Lawrence MG. T-cell biology in immunotherapy. Annals of Allergy, Asthma & Immunology. 2014 Mar 1;112(3):195-9.
  27. Nesi RT, Kennedy-Feitosa E, Lanzetti M, Ávila MB, Magalhães CB, Zin WA, Faffe DS, Porto LC, Valença SS. Inflammatory and oxidative stress markers in experimental allergic asthma. Inflammation. 2017 Aug;40(4):1166-76.
  28. Wahyuono S, Alam G, Ikawati Z, Timmerman H, Maeyama K. Antiasthmatic compounds isolated from antiasthmatic “JAMU” ingredient legundi leaves (Vitex trifolia L.). Scientia Pharmaceutica. 2009 Mar;77(6):192.
  29. Lee H, Jung KH, Lee H, Park S, Choi W, Bae H. Casticin, an active compound isolated from Vitex Fructus, ameliorates the cigarette smoke-induced acute lung inflammatory response in a murine model. International immunopharmacology. 2015 Oct 1;28(2):1097-101.
  30. Li WX, Cui CB, Cai B, Wang HY, Yao XS. Flavonoids from Vitex trifolia L. inhibit cell cycle progression at G2/M phase and induce apoptosis in mammalian cancer cells. Journal of Asian natural products research. 2005 Aug 1;7(4):615-26.
  31. Alappat B, Alappat J. Anthocyanin pigments: Beyond aesthetics. Molecules. 2020 Nov 24;25(23):5500.
  32. Lin BW, Gong CC, Song HF, Cui YY. Effects of anthocyanins on the prevention and treatment of cancer. British journal of pharmacology. 2017 Jun;174(11):1226-43.
  33. Diniz LR, Bezerra Filho CD, Fielding BC, de Sousa DP. Natural antioxidants: a review of studies on human and animal coronavirus. Oxidative Medicine and Cellular Longevity. 2020;2020(1):3173281.
  34. Apak R, Ozyurek M, Guclu K, C?apanog?lu E. Antioxidant activity/capacity measurement. 1. Classification, physicochemical principles, mechanisms, and electron transfer (ET)-based assays. Journal of agricultural and food chemistry. 2016 Feb 10;64(5):997-1027.
  35. Manjunatha BK, Vidya SM, Krishna V, Mankani KL, Singh SJ, Manohara YN. Comparative evaluation of wound healing potency of Vitex trifolia L. and Vitex altissima L. Phytotherapy Research: An International Journal Devoted to Pharmacological and Toxicological Evaluation of Natural Product Derivatives. 2007 May;21(5):457-61.
  36. Goverdhan P, Bobbala D. Anti-nociceptive and anti-inflammatory effects of the leaf extract of Vitex trifolia Linn. in experimental animals. Ethnobotanical Leaflets. 2009;2009(1):8.
  37. Kulkarni LA. ANALGESIC POTENTIAL OF VITEX TRIFOLIA LINN (VERBANEACAE). Asian Journal of Pharmaceutical and Clinical Research. 2014 Jan 1:157-9.
  38. Pfuzia A, Devi RB, Sharatchandra K, Debashree BN, Banylla SN, Monica KS. Studies on the anti-inflammatory effect of the aqueous extract of the leaves of Vitex trifolia L. in albino rats.
  39. Gorlenko CL, Kiselev HY, Budanova EV, Zamyatnin Jr AA, Ikryannikova LN. Plant secondary metabolites in the battle of drugs and drug-resistant bacteria: new heroes or worse clones of antibiotics. Antibiotics. 2020 Apr 10;9(4):170.
  40. Natheer SE, Sekar C, Amutharaj P, Rahman MS, Khan KF. Evaluation of antibacterial activity of Morinda citrifolia, Vitex trifolia and Chromolaena odorata. African journal of pharmacy and pharmacology. 2012 Mar 22;6(11):783-8.
  41. Acosta-Gutiérrez S, Bodrenko IV, Ceccarelli M. The influence of permeability through bacterial porins in whole-cell compound accumulation. Antibiotics. 2021 May 26;10(6):635.
  42. Vimalanathan S, Ignacimuthu S, Hudson JB. Medicinal plants of Tamil Nadu (Southern India) are a rich source of antiviral activities. Pharmaceutical Biology. 2009 May 1;47(5):422-9.
  43. Shah A, Rahim S. Ethnomedicinal uses of plants for the treatment of malaria in Soon Valley, Khushab, Pakistan. Journal of ethnopharmacology. 2017 Mar 22;200:84-106.
  44. Woradulayapinij W, Soonthornchareonnon N, Wiwat C. In vitro HIV type 1 reverse transcriptase inhibitory activities of Thai medicinal plants and Canna indica L. rhizomes. Journal of ethnopharmacology. 2005 Oct 3;101(1-3):84-9.
  45. Anandan R, Jayakar B, Karar B, Babuji S, Manavalan R, Kumar RS. Effect of ethanol extract of flowers of Vitex trifolia Linn. on CCL4 induced hepatic injury in rats. Pak. J. Pharm. Sci. 2009 Oct 1;22(4):391-4.

Reference

  1. Jose BE, Jebaseelan S, Meera R. Phytochemical Investigation and Anti-Cancer Activity of Vitex trifolia. Journal of Pharmaceutical Sciences and Research. 2017 Jul 1;9(7):1056.
  2. Thenmozhi S, Sundaram RS, Kumar JP, Bihari CG. Pharmacognostical and phytochemical investigation on leaves of Vitex trifolia Linn. Journal of Pharmacy Research. 2011 Apr;4(4):1259-62.
  3. van der Valk JM, Leon CJ, Nesbitt M. Macroscopic authentication of Chinese materia medica (CMM): a UK market study of seeds and fruits. Journal of herbal medicine. 2017 Jun 1;8:40-51.
  4. Ono M, Ito Y, Nohara T. Four new halimane-type diterpenes, vitetrifolins DG, from the fruit of Vitex trifolia. Chemical and pharmaceutical bulletin. 2001;49(9):1220-2.
  5. Geetha V, Doss A, Doss AP. Antimicrobial potential of Vitex trifolia Linn. Ancient science of life. 2004 Apr 1;23(4):30-2.
  6. Ahmed MR, Anis M. Role of TDZ in the quick regeneration of multiple shoots from nodal explant of Vitex trifolia L.—an important medicinal plant. Applied biochemistry and biotechnology. 2012 Nov;168(5):957-66.
  7. Cousins MM, Briggs J, Whitwell T, Gresham C, Whetstone J. Reestablishment potential of beach vitex (Vitex rotundifolia) after removal and control efforts. Invasive Plant Science and Management. 2010 Nov;3(3):327-33.
  8. Zeng X, Fang Z, Wu Y, Zhang H. Chemical constituents of the fruits of Vitex trifolia L. Zhongguo Zhong yao za zhi= Zhongguo zhongyao zazhi= China journal of Chinese materia medica. 1996 Mar 1;21(3):167-8.
  9. Ono M, Sawamura H, Ito Y, Mizuki K, Nohara T. Diterpenoids from the fruits of Vitex trifolia. Phytochemistry. 2000 Dec 1;55(8):873-7.
  10. Hernandez MM, Heraso C, Villarreal ML, Vargas-Arispuro I, Aranda E. Biological activities of crude plant extracts from Vitex trifolia L.(Verbenaceae). Journal of Ethnopharmacology. 1999 Oct 1;67(1):37-44.
  11. Kannathasan K, Senthilkumar A, Venkatesalu V. Mosquito larvicidal activity of methyl-p-hydroxybenzoate isolated from the leaves of Vitex trifolia Linn. Acta Tropica. 2011 Oct 1;120(1-2):115-8.
  12. Li WX, Cui CB, Cai B, Wang HY, Yao XS. Flavonoids from Vitex trifolia L. inhibit cell cycle progression at G2/M phase and induce apoptosis in mammalian cancer cells. Journal of Asian natural products research. 2005 Aug 1;7(4):615-26.
  13. Arifin B, Nasution R, Saidi N, Marianne M, Aprilia S. Vitex trifolia plant control of mice environmentally friendly.
  14. Suchitra M, Cheriyan BV. Vitex trifolia: An ethnobotanical and pharmacological review. Asian J. Pharm. Clin. Res. 2018;11(4):12-4.
  15. Li XX, Wang L, Liu YL, Zhao ZX, Wang XL, Lei R, Li HJ. Comprehensive identification of Vitex trifolia fruit and its five adulterants by comparison of micromorphological, microscopic characteristics, and chemical profiles. Microscopy Research and Technique. 2020 Dec;83(12):1530-43.
  16. Guan R, Wang D, Yu Z, Wang X, Lan T. Preparative isolation and purification of the active components from Viticis Fructus by high-speed counter-current chromatography. Se pu= Chinese Journal of Chromatography. 2010 Nov 1;28(11):1043-7.
  17. Mohamed MA, Abdou AM, Hamed MM, Saad AM. Characterization of bioactive phytochemical from the leaves of Vitex trifolia. Int. J. Pharm. Appl. 2012;3:419-28.
  18. Villasenor IM. Bioactivities of iridoids. Anti-Inflammatory & Anti-Allergy Agents in Medicinal Chemistry (Formerly Current Medicinal Chemistry-Anti-Inflammatory and Anti-Allergy Agents). 2007 Nov 1;6(4):307-14.
  19. Dewick PM. Medicinal natural products: a biosynthetic approach. John Wiley & Sons; 2002 Jan 3.
  20. Djimabi K, Li B, Chen XH, Su PJ, Liu X, Wang RY, Qi FM, Wang MJ, Fei DQ, Zhang ZX. Chemical constituents from the fruits of Vitex trifolia L.(Verbenaceae) and their chemotaxonomic significance. Biochemical Systematics and Ecology. 2021 Aug 1;97:104305.
  21. Gu Q, Zhang X, Jiang Z. Chemical constituents from fruits of Vitex trifolia. Chinese Traditional and Herbal Drugs. 2007;38(5):656.
  22. Chen YS, Xie JM, Yao H, Lin XY, Zhang YH. Studies on the triterpenoids of Vitex trifolia. Zhong yao cai= Zhongyaocai= Journal of Chinese Medicinal Materials. 2010 Jun 1;33(6):908-10.
  23. Mohamed MA, Abdou AM, Hamed MM, Saad AM. Characterization of bioactive phytochemical from the leaves of Vitex trifolia. Int. J. Pharm. Appl. 2012;3:419-28.
  24. Djimabi K, Wang RY, Li B, Chen XH, Liu X, Wang MJ, Zhan XQ, Qi FM, Fei DQ, Zhang ZX. Diterpenoids with α-glucosidase inhibitory activities from the fruits of Vitex trifolia Linn. Fitoterapia. 2022 Sep 1;161:105248.
  25. Sena Filho JG, Duringer J, Maia GL, Tavares JF, Xavier HS, Sobral da Silva M, da?Cunha EV, Barbosa?Filho JM. Ecdysteroids from Vitex species: distribution and compilation of their 13C?NMR spectral data. Chemistry & Biodiversity. 2008 May;5(5):707-13.
  26. Steinke JW, Lawrence MG. T-cell biology in immunotherapy. Annals of Allergy, Asthma & Immunology. 2014 Mar 1;112(3):195-9.
  27. Nesi RT, Kennedy-Feitosa E, Lanzetti M, Ávila MB, Magalhães CB, Zin WA, Faffe DS, Porto LC, Valença SS. Inflammatory and oxidative stress markers in experimental allergic asthma. Inflammation. 2017 Aug;40(4):1166-76.
  28. Wahyuono S, Alam G, Ikawati Z, Timmerman H, Maeyama K. Antiasthmatic compounds isolated from antiasthmatic “JAMU” ingredient legundi leaves (Vitex trifolia L.). Scientia Pharmaceutica. 2009 Mar;77(6):192.
  29. Lee H, Jung KH, Lee H, Park S, Choi W, Bae H. Casticin, an active compound isolated from Vitex Fructus, ameliorates the cigarette smoke-induced acute lung inflammatory response in a murine model. International immunopharmacology. 2015 Oct 1;28(2):1097-101.
  30. Li WX, Cui CB, Cai B, Wang HY, Yao XS. Flavonoids from Vitex trifolia L. inhibit cell cycle progression at G2/M phase and induce apoptosis in mammalian cancer cells. Journal of Asian natural products research. 2005 Aug 1;7(4):615-26.
  31. Alappat B, Alappat J. Anthocyanin pigments: Beyond aesthetics. Molecules. 2020 Nov 24;25(23):5500.
  32. Lin BW, Gong CC, Song HF, Cui YY. Effects of anthocyanins on the prevention and treatment of cancer. British journal of pharmacology. 2017 Jun;174(11):1226-43.
  33. Diniz LR, Bezerra Filho CD, Fielding BC, de Sousa DP. Natural antioxidants: a review of studies on human and animal coronavirus. Oxidative Medicine and Cellular Longevity. 2020;2020(1):3173281.
  34. Apak R, Ozyurek M, Guclu K, C?apanog?lu E. Antioxidant activity/capacity measurement. 1. Classification, physicochemical principles, mechanisms, and electron transfer (ET)-based assays. Journal of agricultural and food chemistry. 2016 Feb 10;64(5):997-1027.
  35. Manjunatha BK, Vidya SM, Krishna V, Mankani KL, Singh SJ, Manohara YN. Comparative evaluation of wound healing potency of Vitex trifolia L. and Vitex altissima L. Phytotherapy Research: An International Journal Devoted to Pharmacological and Toxicological Evaluation of Natural Product Derivatives. 2007 May;21(5):457-61.
  36. Goverdhan P, Bobbala D. Anti-nociceptive and anti-inflammatory effects of the leaf extract of Vitex trifolia Linn. in experimental animals. Ethnobotanical Leaflets. 2009;2009(1):8.
  37. Kulkarni LA. ANALGESIC POTENTIAL OF VITEX TRIFOLIA LINN (VERBANEACAE). Asian Journal of Pharmaceutical and Clinical Research. 2014 Jan 1:157-9.
  38. Pfuzia A, Devi RB, Sharatchandra K, Debashree BN, Banylla SN, Monica KS. Studies on the anti-inflammatory effect of the aqueous extract of the leaves of Vitex trifolia L. in albino rats.
  39. Gorlenko CL, Kiselev HY, Budanova EV, Zamyatnin Jr AA, Ikryannikova LN. Plant secondary metabolites in the battle of drugs and drug-resistant bacteria: new heroes or worse clones of antibiotics. Antibiotics. 2020 Apr 10;9(4):170.
  40. Natheer SE, Sekar C, Amutharaj P, Rahman MS, Khan KF. Evaluation of antibacterial activity of Morinda citrifolia, Vitex trifolia and Chromolaena odorata. African journal of pharmacy and pharmacology. 2012 Mar 22;6(11):783-8.
  41. Acosta-Gutiérrez S, Bodrenko IV, Ceccarelli M. The influence of permeability through bacterial porins in whole-cell compound accumulation. Antibiotics. 2021 May 26;10(6):635.
  42. Vimalanathan S, Ignacimuthu S, Hudson JB. Medicinal plants of Tamil Nadu (Southern India) are a rich source of antiviral activities. Pharmaceutical Biology. 2009 May 1;47(5):422-9.
  43. Shah A, Rahim S. Ethnomedicinal uses of plants for the treatment of malaria in Soon Valley, Khushab, Pakistan. Journal of ethnopharmacology. 2017 Mar 22;200:84-106.
  44. Woradulayapinij W, Soonthornchareonnon N, Wiwat C. In vitro HIV type 1 reverse transcriptase inhibitory activities of Thai medicinal plants and Canna indica L. rhizomes. Journal of ethnopharmacology. 2005 Oct 3;101(1-3):84-9.
  45. Anandan R, Jayakar B, Karar B, Babuji S, Manavalan R, Kumar RS. Effect of ethanol extract of flowers of Vitex trifolia Linn. on CCL4 induced hepatic injury in rats. Pak. J. Pharm. Sci. 2009 Oct 1;22(4):391-4.

Photo
Dr. C. Girish
Corresponding author

S.V.U. College of Pharmaceutical Sciences, Sri Venkateshwara University, Tirupati - 517502. A.P, India

Photo
N. Akhila
Co-author

S.V.U. College of Pharmaceutical Sciences, Sri Venkateshwara University, Tirupati - 517502. A.P, India

Photo
M. Vasantha
Co-author

S.V.U. College of Pharmaceutical Sciences, Sri Venkateshwara University, Tirupati - 517502. A.P, India

Dr. C. Girish, N. Akhila, M. Vasantha, Current Perspectives on The Pharmacognostic, Phytochemical And Pharmacological Profile of Vitex Trifolia, Int. J. of Pharm. Sci., 2026, Vol 4, Issue 3, 427-442. https://doi.org/10.5281/zenodo.18872253

More related articles
Anti-Diarrheal and Anti-Ulcer Effect of 70% Ethano...
Irfan Soyel, Malay Besra, Sumit Maji, Biplab Kumar Chakra, Nilanj...
Lysosomal Berberine: Intracellular Targeting and T...
Achal Agarwal, Pankaj Pillewan, Manik Chaudhuri, Girisha Maheshwa...
A Comprehensive View Of Kaffir Lime (Citrus Hystri...
K.MOUNIKA, K.B ILANGO, M.J DHARANI PRABHA, S.EDVIN SHERIN, K.P PR...
Significance Of Genetic Polymorphisms In Autoimmune Diseases: A Comprehensive Re...
Kainat Ramzan, Ali Noman, Moeen Zulfiqar, Saira Ramzan, Ayesha Waheed, Ali Haider Ali, ...
An Overview on The Enzyme Production by Fungi and Its Analytical Methods ...
Kathiravan G., Sabarish S., Elumalai S., Kumaresan S., ...
Pharmacogenomics in Oncology: A Step Toward Personalized Cancer Therapy...
Pedde Vaishnavi D., Katre Roshani L., Dr. Giri Ashok B., ...
Related Articles
Phytochemical Approaches to Bipolar Disorder: A Systematic Review of Herbal Reme...
Farhan Ahamad. N. Pinjari, Gayatri. B. Rajput, Prachi. N. Pote, Neha. J. Pursnani, Dipali. R. Mali, ...
Innovative Approaches in Levodopa Nasal Spray Formulation: A Review on Excipient...
Devendra Sonawane, Rutik Liddad, Pravin Waghmode, Rushikesh Nikam, Pachpute D. S., ...
Development and Progression of Oral Cancer: The Role of Proteins...
Anju Sarah Mathews, Shree Ganesh S, Dhanush K, ...
Formulation And Evaluation Of Herbal Soap As A Anti-Fungal Activity...
Akash Vitthal Romade, Kshirsagar .M.B., Sanjay Y. Garje, Sayyad.S.A., ...
Anti-Diarrheal and Anti-Ulcer Effect of 70% Ethanolic Extract of Paederia foetid...
Irfan Soyel, Malay Besra, Sumit Maji, Biplab Kumar Chakra, Nilanjan Adhikari , ...
More related articles
Anti-Diarrheal and Anti-Ulcer Effect of 70% Ethanolic Extract of Paederia foetid...
Irfan Soyel, Malay Besra, Sumit Maji, Biplab Kumar Chakra, Nilanjan Adhikari , ...
Lysosomal Berberine: Intracellular Targeting and Therapeutic Advancements...
Achal Agarwal, Pankaj Pillewan, Manik Chaudhuri, Girisha Maheshwari, ...
A Comprehensive View Of Kaffir Lime (Citrus Hystrix)...
K.MOUNIKA, K.B ILANGO, M.J DHARANI PRABHA, S.EDVIN SHERIN, K.P PRAVEEN, T.TAMILARASI, ...
Anti-Diarrheal and Anti-Ulcer Effect of 70% Ethanolic Extract of Paederia foetid...
Irfan Soyel, Malay Besra, Sumit Maji, Biplab Kumar Chakra, Nilanjan Adhikari , ...
Lysosomal Berberine: Intracellular Targeting and Therapeutic Advancements...
Achal Agarwal, Pankaj Pillewan, Manik Chaudhuri, Girisha Maheshwari, ...
A Comprehensive View Of Kaffir Lime (Citrus Hystrix)...
K.MOUNIKA, K.B ILANGO, M.J DHARANI PRABHA, S.EDVIN SHERIN, K.P PRAVEEN, T.TAMILARASI, ...