View Article

Abstract

Microbial infections, particularly those caused by Staphylococcus aureus, pose significant challenges due to increasing resistance and the adverse effects of existing treatments. This study investigates the synthesis and characterization of novel naphthalene hydrazone derivatives with enhanced antimicrobial activity. Seven derivatives (NH-1 - NH-7) were synthesized, and their progress was monitored using thin-layer chromatography (TLC). The compounds were characterized by determining their melting points and using various spectroscopic techniques, including infrared (IR) spectroscopy, nuclear magnetic resonance (NMR) spectroscopy, and mass spectrometry. The antimicrobial efficacy of these compounds was evaluated specifically against Staphylococcus aureus with derivative (NH-6) showing most consistent activity, while compounds (NH-3), (NH-4), and (NH-7) showed limited activity. In silico studies, including ADME analysis, Lipinski's Rule of Five and Veber's Rule suggested favorable pharmacokinetic profiles and drug-like properties. This research lays a promising foundation for the development of novel antimicrobial therapies, addressing the urgent need for more effective treatments with fewer side effects.

Keywords

Naphthalene, Hydrazone, Antimicrobial Agents, Antimicrobial Activity

Introduction

    1. Microbial Infection

Microbial agents, also known as microorganisms, include bacteria, viruses, fungi, protozoa, and algae, which are microscopic life forms capable of surviving in diverse environments. While some microbial agents are pathogenic and cause diseases, many are beneficial, aiding in processes such as fermentation, biodegradation, and the synthesis of antibiotics and other bioactive compounds. Their ability to rapidly adapt and evolve makes them essential both as tools and targets in scientific research.1

1.1.1 Types of Microbial Infections

Microbial infections can be classified based on the causative microorganism—bacteria, viruses, protozoa, or parasites—and the site of infection (localized or systemic) as follows :

Table 1. Types of Microbial Infection

Types Of Microbial Infection

Bacterial Infections

Viral Infections

Protozoal & Parasitic Infections

-Respiratory Infections

-Skin and Soft Tissue Infections (SSTIs)

-Urinary Tract Infections (UTIs)

-Gastrointestinal Infections

-Influenza and Respiratory Viruses

-Hepatitis Viruses

-Human        Immunodeficiency Virus (HIV)

-Herpes Viruses

-Malaria

-Amebiasis and Giardiasis

-Toxoplasmosis

-Helminthic Infections

  1. Bacterial Infections

These are caused by pathogenic bacteria and can affect various body systems.

Respiratory Infections:

Streptococcus pneumoniae, Haemophilus influenzae and Mycobacterium tuberculosis are common bacterial pathogens causing pneumonia, bronchitis, and tuberculosis respectively.2

  • Skin and Soft Tissue Infections (SSTIs):

Includes cellulitis, impetigo, and abscesses caused by Staphylococcus aureus and Streptococcus pyogenes.3

  • Urinary Tract Infections (UTIs):

Commonly caused by Escherichia coli, these infections can affect the bladder (cystitis) or kidneys (pyelonephritis).4

  • Gastrointestinal Infections:

Caused by Salmonella, Shigella, Vibrio cholerae and Clostridioides difficile leading to diarrhea, dysentery and enterocolitis.5

II. Viral Infections

Viruses are obligate intracellular pathogens and can lead to a wide variety of diseases, some self-limiting and others chronic or fatal.

  • Influenza and Respiratory Viruses

Influenza virus, respiratory syncytial virus (RSV), and coronaviruses affect the respiratory tract.6

  • Hepatitis Viruses:

Hepatitis A, B, and C viruses infect the liver, with Hepatitis B and C leading to chronic liver disease and hepatocellular carcinoma.7

  • Human Immunodeficiency Virus (HIV):

A retrovirus that targets CD4+ T cells, leading to immunodeficiency and increased susceptibility to opportunistic infections.8

  • Herpesviruses:
    Includes Herpes Simplex Virus (HSV-1, HSV-2), Varicella-Zoster virus (VZV), and Epstein-Barr virus (EBV), causing a range of conditions from cold sores to mononucleosis.9

III. Protozoal and Parasitic Infections

These infections are more common in tropical and subtropical regions but can have global impact due to travel and migration.

  • Malaria:

Caused by Plasmodium species (notably P. falciparum), transmitted by Anopheles mosquitoes, affecting the liver and red blood cells.10

  • Amebiasis and Giardiasis:

Intestinal protozoal infections caused by Entamoeba histolytica and Giardia lamblia, resulting in dysentery and malabsorption.11

  • Toxoplasmosis:

Caused by Toxoplasma gondii, particularly dangerous in pregnant women and immunocompromised individuals.12

  • Helminthic Infections:

Include infections by parasitic worms like Ascaris lumbricoides, Schistosoma spp. and Taenia spp., causing gastrointestinal and systemic symptoms.13

1.2. Antimicrobial Agents

Antimicrobial agents are essential in combating infectious diseases caused by bacteria, viruses, protozoa, and other microorganisms. These agents work by targeting specific microbial components to inhibit growth or cause microbial death. However, their effectiveness is often challenged by resistance development, toxicity, and limited drug availability for certain pathogens.14

1.2.1 Classification of Antimicrobial Agents

Antimicrobial agents are categorized based on their mechanism of action, chemical structure, or spectrum of activity.

  • β-Lactams: Includes penicillins, cephalosporins, carbapenems, and monobactams. They inhibit bacterial cell wall synthesis by binding to penicillin-binding proteins (PBPs).
    Examples: Amoxicillin, Ceftriaxone, Meropenem.
  • Aminoglycosides: Inhibit protein synthesis by binding to the 30S ribosomal subunit, leading to mistranslation and bacterial death.

Examples: Gentamicin, Amikacin.

  • Fluoroquinolones: Inhibit DNA gyrase and topoisomerase IV, enzymes involved in bacterial DNA replication.

Examples: Ciprofloxacin, Levofloxacin.

  • Macrolides: Bind to the 50S ribosomal subunit and inhibit protein synthesis.

Examples: Azithromycin, Erythromycin.

  • Tetracyclines: Inhibit the binding of aminoacyl-tRNA to the ribosomal A site, thus halting protein synthesis.

Examples: Doxycycline, Tetracycline.

  • Sulfonamides and Trimethoprim: Inhibit folic acid synthesis at different steps, affecting nucleotide biosynthesis.

Example: Common combination: Cotrimoxazole (TMP-SMX).

  • Others: Includes glycopeptides (e.g., Vancomycin), lipopeptides (e.g., Daptomycin), and newer synthetic agents like linezolid.
    1. Naphthalene

Naphthalene is a polycyclic aromatic hydrocarbon consisting of two fused benzene rings. It is a white, crystalline, volatile solid with a characteristic odor, commonly used in mothballs and as a chemical intermediate in the production of various compounds. Naphthalene is derived from coal tar and petroleum, and its derivatives are widely used in the pharmaceutical industry due to their diverse biological activities.

Canonical structures of Naphthalene

      1. Naphthalene-Containing Drugs

Naphthalene derivatives have shown a wide range of pharmacological activities, making them valuable in the development of therapeutic agents. These derivatives are used in the treatment of several diseases, including infections, inflammation, and cancer. Naphthalene-containing drugs often exhibit enhanced stability and bioavailability, contributing to their effectiveness as therapeutic agents.

Naphthalene Pharmacological Activities

      1. Naphthalene-Containing Antimicrobial Agents:
  • Nafcillin

Nafcillin is a beta-lactam antibiotic belonging to the penicillinase-resistant penicillin class. While it does not contain a classical naphthalene ring, its structure includes a naphthalene-related aromatic moiety that enhances resistance to beta-lactamase degradation. Nafcillin is primarily used to treat infections caused by Staphylococcus aureus (non-MRSA strains) by inhibiting bacterial cell wall synthesis through binding to penicillin-binding proteins (PBPs), leading to cell lysis and death.

  • Naftifine

Naftifine is a synthetic allylamine antifungal agent with a naphthalene ring system. It is applied topically to treat dermatophyte infections such as tinea corporis and tinea pedis. Naftifine acts by inhibiting squalene epoxidase, a critical enzyme in the ergosterol biosynthesis pathway, thereby leading to membrane dysfunction and fungal cell death.

  • Terbinafine

Terbinafine, another allylamine antifungal, contains a substituted naphthalene nucleus. It is effective against dermatophytes, molds, and some yeasts. Its mechanism of action involves inhibition of squalene epoxidase, causing toxic accumulation of squalene and depletion of ergosterol, leading to fungal cell membrane disruption and death. Terbinafine is used both topically and systemically, especially in the treatment of onychomycosis.

  • Tolnaftate

Tolnaftate is a thiocarbamate antifungal drug used topically for superficial fungal infections such as athlete’s foot and ringworm. While not a pure naphthalene derivative, tolnaftate includes an aromatic system with similar physicochemical properties. It is believed to inhibit squalene epoxidase, like naftifine and terbinafine, interfering with ergosterol biosynthesis and compromising fungal membrane integrity.

    1. Hydrazones

Hydrazones are a class of organic compounds characterized by the functional group R1 C=NNHR. They are typically formed by the condensation reaction of hydrazines with aldehydes or ketones. Hydrazones possess a wide range of biological activities, including antimicrobial, antitumor, anti-inflammatory, and antitubercular properties, making them valuable scaffolds in medicinal chemistry.

      1. Hydrazone-Containing Drugs

Hydrazone derivatives have been developed into various therapeutic agents due to their ability to interact with biological targets through hydrogen bonding, metal coordination, and other interactions. These compounds are versatile in their pharmacological profiles, leading to the development of drugs for different therapeutic applications.

    1. Molecular Hybridization

Molecular hybridization is a concept in medicinal chemistry that involves the combination of two or more pharmacophores from different bioactive molecules into a single hybrid compound. This approach is used to develop new drugs with improved efficacy, reduced side effects, and enhanced pharmacokinetic properties. The resulting hybrid molecules are designed to interact with multiple biological targets, potentially offering synergistic therapeutic effects.

https://www.researchgate.net/publication/221924910/figure/fig10/AS:393979389595648@1470943414099/Different-hybrid-compounds-obtained-by-molecular-hybridization.png

Molecular Hybridization

In Silico Studies

2.1. Calculation of Lipinski's Rule of Five, Veber’s rule.

2.1.1. Lipinski's Rule of Five: It was established by Christopher A. Lipinski in 1997, offers a framework for determining the drug-likeness and oral bioavailability of compounds. According to Lipinski's Rule of Five, a compound is more apt to be orally active if it meets these criteria.15

  • Molecular weight (MW) should not exceed 500 Da.
  • The calculated partition coefficient (LogP) should be no more than 5.
  • There should be no more than 5 hydrogen bond donors (total OH and NH groups).
  • There should be no more than 10 hydrogen bond acceptors (total N and O atoms).

2.1.2. Veber's Rule: It is a guideline used in drug design and pharmacokinetics to predict the oral bioavailability of a drug. According to Veber's Rule:

  1. Rotatable Bonds: A molecule should have 10 or fewer rotatable bonds. Rotatable bonds are single bonds between non-terminal atoms that allow the molecule to change its conformation.
  2. Total Polar Surface Area (TPSA): The polar surface area of the molecule should be 140 Ų or less. The TPSA is the surface area occupied by polar atoms (typically oxygen and nitrogen) and their attached hydrogen atoms.

Table 2. Lipinski rule and Veber’s rule of Compounds NH -1 – NH-2

Compound Codes

Lipinski rule of five

Veber’s rule

M Log P

Mol. Wt. (g/mol)

HBA

HBD

Violations

Total polar surface area (Ų)

No. of rotatable bonds

NH-1

3.97

246.12

1

1

0

24.39

3

NH-2

3.60

276.33

2

1

0

33.62

4

NH-3

4.48

280.05

1

1

0

24.39

3

NH-4

4.21

260.33

1

1

0

24.39

3

NH-5

4.59

325.20

1

1

0

24.39

3

NH-6

3.70

291.30

3

1

0

70.21

4

NH-7

4.21

260.33

1

1

0

24.39

3

2.2. In silico ADME (Absorption, Distribution, Metabolism and Excretion)

2.2.1. In silico ADME Evaluation: It play an indispensable role in determining the pharmacokinetic attributes and drug-like qualities of newly designed Naphthalene hydrazone derivatives. To facilitate this, the SwissADME tool (https://www.swissadme.ch/) was utilized to compute an array of physicochemical parameters, alongside assessing pharmacokinetic properties of these molecules.16 Ultimately, this strategic approach accelerates the drug development cycle, increasing the likelihood of identifying effective new Antimicrobial agents.

2.2.2. GI Absorption (Gastrointestinal Absorption)

If compounds show good predicted GI absorption, they could potentially be developed into oral antimicrobial drugs for treating systemic Staphylococcus infections. Poor absorption might indicate the need for alternative routes of administration, like topical or intravenous.

2.2.3. BBB Permeation (Blood-Brain Barrier Permeation)

If compounds are predicted to cross the BBB, they might be useful in treating CNS infections caused by Staphylococcus. If they don't cross the BBB, they would be less likely to cause CNS-related side effects.

2.2.4. P-Glycoprotein Substrate

The compounds are predicted to be P-gp substrates, they might be less effective at treating Staphylococcus infections because they could be expelled from microbial cells or human cells, leading to lower intracellular concentrations. Knowing this could guide you in modifying the chemical structure to avoid P-gp recognition or in considering co-administration with P-gp inhibitors.

      1. Cytochrome P450 Enzymes (CYP1A2, CYP2C19, CYP2C9, CYP2D6, CYP3A4)

Predictive models can help determine which CYP enzymes metabolize your compounds. This is crucial for understanding how quickly your compounds might be metabolized in the body and whether they could interact with other drugs.

CYP1A2: Involved in the metabolism of drugs like caffeine, theophylline, and certain antidepressants. It can be induced by smoking and certain dietary compounds.

CYP2C19: Metabolizes drugs such as proton pump inhibitors (e.g., omeprazole), antiepileptics (e.g., diazepam), and certain antiplatelet drugs (e.g., clopidogrel). Genetic polymorphisms in CYP2C19 can lead to variable drug responses.

CYP2C9: Metabolizes nonsteroidal anti-inflammatory drugs (NSAIDs) like ibuprofen, antidiabetic drugs (e.g., tolbutamide), and anticoagulants (e.g., warfarin). Genetic variations in CYP2C9 can affect drug metabolism, leading to altered drug efficacy or toxicity.

CYP2D6: Involved in the metabolism of a wide range of drugs, including beta-blockers (e.g., metoprolol), antidepressants (e.g., fluoxetine), and opioids (e.g., codeine). CYP2D6 is highly polymorphic, leading to significant interindividual variability in drug metabolism.

CYP3A4: The most abundant and important enzyme in drug metabolism, CYP3A4 metabolizes about 50% of all marketed drugs, including statins, certain antivirals, and calcium channel blockers. It is susceptible to induction or inhibition by various drugs, leading to potential drug-drug interactions. The compounds are predicted to be metabolized by these enzymes, particularly CYP3A4, they might have a shorter half-life and could interact with other drugs metabolized by the same enzymes. Understanding this can help in predicting potential drug-drug interactions and adjusting dosing regimens.

      1.  Log Kp (Skin Permeation Coefficient)

SwissADME tool predict the skin permeability of your compounds, important for topical or transdermal antimicrobial treatments. The compounds are predicted to have good skin permeability, they could be formulated into topical creams or ointments for treating Staphylococcus infections on the skin. If the permeability is low, systemic delivery might be more effective.

Table 3: In silico ADME properties of compounds NH -1 – NH-2

Compound codes

Pharmacokinetic properties

GI

Absorp-tion

BBB

Permea

-tion

P-glyco

protein sub-strate

CYP

1A2

CYP

2C19

CYP

2C9

CYP

2D6

CYP

3A4

Log Kp (skin perm-eation, cm/s)

NH-1

High

Yes

No

Yes

Yes

Yes

Yes

No

-4.64

NH-2

High

Yes

No

Yes

Yes

Yes

Yes

No

-4.61

NH-3

High

Yes

No

Yes

Yes

Yes

No

No

-4.16

NH-4

High

Yes

No

Yes

Yes

No

Yes

No

-4.57

NH-5

High

Yes

No

Yes

Yes

Yes

No

No

-4.39

NH-6

High

Yes

No

Yes

Yes

Yes

No

No

-4.80

NH-7

High

Yes

No

Yes

Yes

No

Yes

No

-4.23

Experimental Work

3.1. General Remarks:

  1. The solvents used for synthesis were distilled off before use.
  2. The characterization of the synthesized derivatives was performed by physical and spectral studies.
  3. Melting points were determined using melting point apparatus in open capillaries.
  4. In between processes, thin layer chromatography was used to determine the identity of reactants or products. The spots were placed on pre-coated silica gel 60 F254 (mesh) plates or activated silica gel G coated glass plates, which were seen under UV light.
  5. Infrared spectra were acquired and analyzed using a Agilent Cary 630 FTIR spectrophotometer from Core Analytical Private Limited, Nashik and Saraswati College of Pharmacy, Dombivli
  6. Proton NMR (1HNMR) data were collected on a Bruker-Avance 500 spectrophotometer with Infinite Biotech Institute of Research and Analytics, Sangli using Top Spin 3.2 software.
  7. The mass spectrum was acquired using OTOF-Q control software from the Infinite Biotech Institute of Research and Analytics, Sangli on a Bruker IMPACT HD spectrophotometer.

3.2. Experimental Procedure

Step 1:  Synthesis Of Naphthalene Hydrazone

         Beta – Naphthol                   Hydrazine hydrate                           Naphthalene Hydrazone

Procedure for step 1: Take (1.4g; 0.01mole) beta naphthol in a 250ml RBF. Add 10ml of hydrazine hydrate in it. Then reflux the mixture for 16-18 hrs. Pour the reaction mixture in crushed ice. Filter the precipitate and recrystallise with ethanol.

Results: Molecular formula: C10H10N2.

TLC: Solvent system (n-hexane-0.8 ml : ethyl acetate-0.2ml) (Rf = 0.66)

Melting point: 118-120oC

Percentage yield: 84.33%

STEP 2: Synthesis Of Naphthalene Hydrazone Derivatives (NH-1 – NH-2)

 

Procedure for step 2:

Take (1.76g; 0.01mole) Naphthalene hydrazine in a 250ml RBF. Add equimolar quantity of substituted benzaldehyde/acetophenone in it. Add few drops of glacial acetic acid. Add 10ml of ethanol as a solvent. Then reflux the mixture for 4 - 20hrs. Filter the precipitate and recrystallize with ethanol.

TLC: Solvent system (n-hexane-0.8 ml: ethyl acetate-0.2ml)

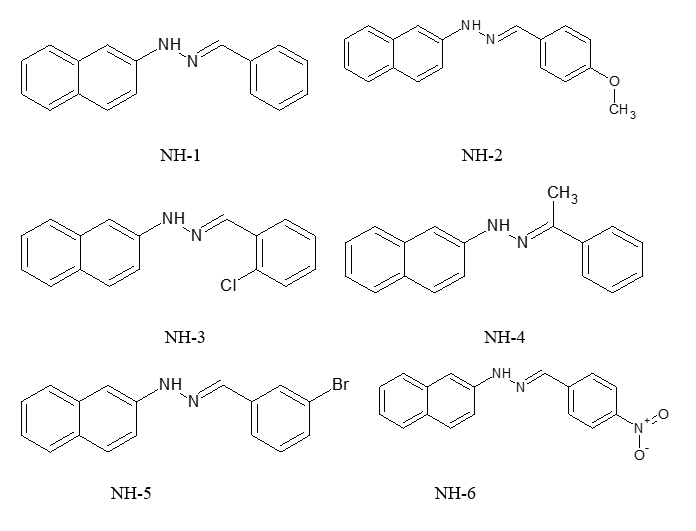
3.3. Structure Of Synthesized Derivatives

3.4. Melting Point, Chemical Formulae and RF Values of Synthesized Derivatives

Table 4.  Melting Point, Chemical Formulae and RF Values of compounds NH-1 NH-2

Sample code

Substituted R group

Mol.

formula

Melting Point

0C

Mol. Wt.

g/mol

% Yield

Rf value

NH-1

R=H

R1=H

R2=H

C17H14N2

90-92

246.30

62.33

0.65

NH-2

R=H

R1=H

R2=OCH3

C18H16N2O

113-117

276.33

77.02

0.76

NH-3

R=H

R1=H

R2=Cl

C17H13N2Cl

202-204

280.75

67.50

0.56

NH-4

R=CH3

R1=H

R2=H

C18H16N2

105-108

260.33

70.58

0.61

NH-5

R=H

R1=H

R2=Br

C17H13N2Br

197-200

325.20

74.55

0.70

NH-6

R=H

R1=H

R2=NO2

C17H13N3O2

118-121

291.30

65.23

0.75

NH-7

R=H

R1=H

R2=CH3

C18H16N2

167-169

260.33

70.60

0.63

Spectral Analysis

4.1. IR Spectrum

4.1.1.  IR spectrum of NH-1

3275 cm?¹ (N-H stretch-secondary amine), 3057 cm?¹ (Aromatic C-H stretch-sp²), 1687 cm?¹ (C=N stretch - imine). IR confirms the presence of hydrazone (C=N) and aromatic system.

4.1.2. IR Spectrum of NH-2

3445 cm?¹ (N-H stretch - secondary amine), 3073 cm?¹ (Aromatic C-H stretch), 1691 cm?¹ (C=N stretch), 2949 cm?¹ (Aliphatic C-H stretch), 1152 cm?¹ (C-O stretch). IR confirms both aromatic and aliphatic features along with a C-O group.

4.1.3. IR Spectrum of NH-3

3407 cm?¹ (N-H stretch), 3034 cm?¹ (Aromatic C-H stretch), 1699 cm?¹ (C=N stretch), 733 cm?¹ (C-Cl stretch). IR confirms presence of hydrazone and chloro-substitution.

4.1.4. IR Spectrum of NH-4

3410 cm?¹ (N-H stretch), 3243 cm?¹ (Aromatic C-H stretch), 1649 cm?¹ (C=N stretch), 2903 cm?¹ (Aliphatic C-H stretch). IR confirms aromatic and aliphatic groups along with imine linkage.

4.1.5. IR Spectrum of NH-5

3243 cm?¹ (N–H stretching - secondary amine), 3050 cm?¹ (sp² C–H stretch -aromatic rings), 1662 cm?¹ (C=N stretching - imine group). The IR spectrum shows key functional groups: the N–H stretch confirms presence of –NH–, the aromatic C–H stretch supports the aromatic nature, and the C=N stretch indicates the formation of a hydrazone linkage.                

4.1.6. IR Spectrum of NH-6

3259 cm?¹ (N–H stretch of secondary amine), 3087 cm?¹(sp² C–H stretch of aromatic group), 1692 cm?¹ (C=N stretch of imine). The IR data of NH-6 confirms the presence of a secondary amine (N–H), aromatic system (sp² C–H), and a C=N bond, indicating successful formation of the hydrazone structure.

4.1.7. IR Spectrum of NH-7

3277 cm?¹ (N–H stretch of secondary amine), 3056 cm?¹ (sp² C–H stretch of aromatic group), 1695 cm?¹ (C=N stretch of imine). NH-7 shows characteristic stretches for secondary amine, aromatic rings, and imine (C=N), confirming its expected hydrazone framework.

4.2. Mass Spectrum

4.2.1. Mass Spectrum of NH-1

The mass spectrum of NH-1 shows a molecular ion peak at m/z 247.12, which corresponds to the (M+1) peak of the compound. This confirms the presence of a molecular weight close to 246.11 g/mol, matching the calculated molecular mass of NH-1. This peak validates the molecular structure and confirms the compound's identity.

4.2.2. Mass Spectrum of NH-2

The observed molecular ion peak at m/z: 277.00 corresponds to the (M+1) peak, confirming the presence of the expected molecule. The shift is due to the natural abundance of heavier isotopes (like 13C). The spectrum validates the structure and confirms the presence of oxygen (likely from a carbonyl or ether group).

4.2.3. Mass Spectrum of NH-4

The mass spectrum of NH-4 shows a prominent molecular ion peak at m/z 261.33, which corresponds to the (M+1) peak. This confirms the molecular weight close to the calculated value of 260.11 g/mol, supporting the proposed structure of the compound and validating its molecular formula.

4.3. 1HNMR

4.3.1. 1HNMR Spectrum of NH-4

δ ppm 8.7 (s, 1H) (NH proton of –NH–NH– group - deshielded due to hydrogen bonding), δ ppm 7.6–7.8 (m, 3H) (Aromatic protons of naphthalene ring), δ ppm 7.1–7.5 (m, 4H) (Remaining aromatic protons of naphthalene), δ ppm 6.9–7.1 (m, 5H) (Aromatic protons of phenyl ring), δ ppm 3.8 (s, 3H) (Methyl group attached to aromatic ring).

Antimicrobial Activity

5.1. Kirby-Bauer Well Diffusion Method:

Kirby-Bauer method is a standardized disc diffusion test used to determine how effective antibiotics are against bacteria by measuring the zone of inhibition around antibiotic discs on an agar plate.

5.1.1.  Principle of Kirby-Bauer Method:

Antibiotic-impregnated paper disks are placed on the surface of a Mueller-Hinton agar plate that has been uniformly inoculated with the test bacterium. The antibiotic diffuses radially outward through the agar. As it diffuses, it establishes a concentration gradient. If the bacterium is sensitive to the antibiotic, a zone of inhibition (area with no bacterial growth) forms around the disk. The diameter of this zone is measured and compared to standardized charts to determine if the bacterium is susceptible, intermediate, or resistant to the antibiotic.

5.1.2. Test Procedure:

The Kirby-Bauer method is based on the principle of antibiotic diffusion and bacterial growth inhibition.

1. Inoculation:

A pure culture of bacteria is uniformly spread across the surface of a Mueller-Hinton agar plate to create a lawn of bacterial growth.

2. Application of Antibiotic Discs:

Paper discs impregnated with known concentrations of different antibiotics are placed on the surface of the inoculated agar.

3. Diffusion of Antibiotic:

The antibiotic begins to diffuse radially from the disc into the surrounding agar. The concentration of the antibiotic is highest near the disc and decreases as it moves further away.

4. Interaction with Bacteria:

If the bacteria are sensitive to the antibiotic, their growth will be inhibited in the area where the antibiotic concentration is high enough. If the bacteria are resistant, they will grow right up to the edge of the disc.

5. Zone of Inhibition:

After incubation (usually 18–24 hours at 35–37°C), a clear circular area (zone of inhibition) appears around the disc if the antibiotic is effective. The diameter of this zone is measured in millimeters.

6. Interpretation:

The measured zone is compared to standard CLSI/EUCAST guidelines to categorize the bacteria as:Sensitive (S), Intermediate (I), Resistant (R)

5.2. Antimicrobial Activity against Staphylococcus aureus

5.3. Results and Interpretation: Measure the zone of inhibition.

Table 5. Antimicrobial Activity of Synthesized Derivatives (NH-1 – NH-7)

Antimicrobial activity

Zone Of Inhibition in mm

Derivatives

25µl

50µl

100µl

NH-1 (Benzaldehyde)

NI

NI

NI

NH-2 (Anisaldehyde)

NI

NI

NI

NH-3 (2-Chloro Benzaldehyde)

NI

NI

16

NH-4 (Acetophenone)

NI

13

16

NH-5 (3-Bromo Benzaldehyde)

NI

NI

NI

NH-6 (4-Nitro Benzaldehyde)

12

13

16

NH-7 (4-Methyl Benzaldehyde)

NI

NI

17

Note: NI-No Inhibition, Strain no. - SA04 Staphylococcus aureus

Table 6. Antimicrobial Activity of Standard Antibiotic – Gentamicin

Control

AB (Gentamicin 10mcg)

DMSO

Staphylococcus aureus

 

23

 

NI

RESULTS AND DISCUSSION

6.1.1.  Lipinski’s Rule of 5 And Veber’s Rule

  • Log P values ranged from 3.60 (Compound NH-1) to 4.59 (Compound NH-7) which is not more than 5
  • Molecular weights varied between 246 g/mol (Compound NH-1) and 325 g/mol (Compound NH-5) which is not more than 500 Da.
  • Each compound contained 1 hydrogen bond donor (HBD).
  • Hydrogen bond acceptors (HBA) ranged from 1 to 3.
  • Total polar surface area (TPSA) values were between 24.39 Ų and 70.21 Ų.
  • The number of rotatable bonds varied, with some compounds having 3 rotatable bonds (NH-1, NH-3, NH-4, NH-5, NH-7) and others having 4 (NH-2, NH-6).
  • None of the compounds exhibited any violations of Lipinski's Rule of Five.

6.1.2. ADME Analysis

  • The pharmacokinetic properties of the synthesized naphthalene hydrazone compounds (NH-1 to NH-7) were evaluated using In Silico ADME studies focusing on Gastrointestinal (GI) absorption, Blood-brain barrier (BBB) permeation, P-glycoprotein substrate identification, Cytochrome P450 enzyme interactions and Skin permeation (Log Kp).
  • The results are summarized as follows:
  • GI Absorption: All compounds exhibited high gastrointestinal absorption.
  • BBB Permeation: All compounds (NH-1 – NH-7) demonstrated the ability to permeate the blood-brain barrier (BBB).
  • P-glycoprotein Substrate: None of the compounds were identified as substrates for P-glycoprotein.
  • Cytochrome P450 Enzymes (CYP):

All compounds were predicted to inhibit CYP1A2, CYP2C19, CYP2C9 and CYP2D6. None of the compounds inhibited CYP3A4.

  • The ADME profiles of these naphthalene hydrazone derivatives suggest they possess favorable pharmacokinetic properties that support their development as promising antimicrobial agents, with a particular emphasis on administration.

6.1.3. Synthesis And Characterization of Substituted Naphthalene Hydrazone Derivatives

  • The synthesis of compounds a-g was carried out successfully, with yields ranging from 62.33% to 77.02%, indicating an efficient synthetic process.
  • The melting points of the synthesized compounds varied significantly, reflecting differences in their molecular structures.
  • Thin Layer Chromatography (TLC) was employed throughout the synthesis to monitor the reaction progress and ensure the completion of each reaction step.
  • The melting points, combined with TLC monitoring, confirmed the successful synthesis and purity of the compounds.
  • The compounds were characterized using spectroscopic techniques such as IR, Mass spectrometry, and ¹HNMR to confirm their structures.
  • Overall, the IR, NMR, and Mass spectrometry data collectively confirmed the successful synthesis and structural identity of the novel naphthalene hydrazone derivatives.

6.1.4. Antimicrobial Activity Against Staphylococcus aureus

  • The antimicrobial activity of the synthesized compounds a-g was evaluated against Staphylococcus aureus (SA04) and compared with standard drug Gentamicin. The zone of inhibition was measured in millimeter (mm).
  • Compound NH-1 exhibited no zone of inhibition against S. aureus at 25 µL, 50 µL, and 100 µL concentrations, indicating no antibacterial activity.
  • Compound MH-2 demonstrated no zone of inhibition against S. aureus at 25 µL, 50 µL, and 100 µL concentrations, indicating lack of antibacterial activity.
  • Compound NH-3 showed no inhibition at 25 µL and 50 µL, while a 16 mm zone of inhibition was observed at 100 µL against S. aureus.
  • Compound NH-4 revealed antibacterial activity against S. aureus with zones of inhibition of 13 mm and 16 mm at 50 µL and 100 µL respectively, however no inhibition was observed at 25 µL.           
  • Compound NH-5 displayed no antibacterial activity against S. aureus at 25 µL, 50 µL and 100 µL concentrations.
  • Compound NH-6 is the only compound that showed antibacterial activity against S. aureus, showing zones of inhibition of 12 mm, 13 mm, and 15 mm at all concentrations of 25 µL, 50 µL, and 100 µL respectively.
  • Compound NH-7 resulted in 17 mm zone of inhibition at 100 µL, with no inhibition at 25 µL and 50 µL against S. aureus.
  • The standard antibiotic Gentamicin (10 mcg) showed a zone of inhibition of 23 mm against S. aureus, while the DMSO control did not show any inhibition.

CONCLUSION

  • This research focused on the synthesis and antimicrobial evaluation of novel naphthalene hydrazone compounds.
  • The study involved comprehensive in silico analysis of seven derivatives (labelled NH-1 – NH-7), including the calculation of Lipinski's Rule of Five, Veber’s rule and ADME analysis.
  • The synthesized compounds were characterized by melting point, IR, ¹H-NMR, and Mass spectrometry, showing high purity.
  • Among the seven compounds tested, compound NH-6 exhibited the most consistent antibacterial activity against Staphylococcus aureus at all concentrations, while compounds NH-3, NH-4, and NH-7 showed limited activity, and the remaining compounds NH-1, NH-2, and NH-5 showed no antibacterial activity.
  • For future research, the focus should be on improving the synthesis of naphthalene hydrazone derivatives, testing them against a wider variety of pathogens, and conducting in vivo studies to better understand their potential as treatments.

Additionally, exploring how these compounds work could help make them more effective and reduce any side effects.

REFERENCES

  1. Diop M, Guitoula C, Tamouh AG, Youbong T, Daffé SMM, Ndoye M, et al. Prevalence of bacterial infections and factors associated with death related to these infections in two 1medical departments of a tertiary hospital in Dakar, Senegal. IJID Regions. 2025 Jun 1;15:100623.
  2. Medical Microbiology [Internet]. 2020 [cited 2025 Apr 6]. Available from: https://shop.elsevier.com/books/medical-microbiology/murray/978-0-323-67322-8
  3. Stevens DL, Bisno AL, Chambers HF, Dellinger EP, Goldstein EJC, Gorbach SL, et al. Practice Guidelines for the Diagnosis and Management of Skin and Soft Tissue Infections: 2014 Update by the Infectious Diseases Society of America. Clinical Infectious Diseases. 2014 Jul 15;59(2):e10–52.
  4. Foxman B. The epidemiology of urinary tract infection. Nat Rev Urol. 2010 Dec;7(12):653–60.
  5. Taubenberger JK, Morens DM. The pathology of influenza virus infections. Annu Rev Pathol. 2008;3:499–522.
  6. Shepard CW, Simard EP, Finelli L, Fiore AE, Bell BP. Hepatitis B virus infection: epidemiology and vaccination. Epidemiol Rev. 2006;28:112–25.
  7. Weiss RA. How does HIV cause AIDS? Science. 1993 May 28;260(5112):1273–9.
  8. Whitley RJ, Roizman B. Herpes simplex virus infections. Lancet. 2001 May 12;357(9267):1513–8.
  9. World malaria report 2022 [Internet]. [cited 2025 Apr 6]. Available from: https://www.who.int/teams/global-malaria-programme/reports/world-malaria-report-2022
  10. Stanley SL. Amoebiasis. Lancet. 2003 Mar 22;361(9362):1025–34.
  11. Montoya JG, Liesenfeld O. Toxoplasmosis. Lancet. 2004 Jun 12;363(9425):1965–76.
  12. Hotez PJ, Fenwick A, Savioli L, Molyneux DH. Rescuing the bottom billion through control of neglected tropical diseases. Lancet. 2009 May 2;373(9674):1570–5.
  13. Dheda K, Gumbo T, Maartens G, Dooley KE, McNerney R, Murray M, et al. The epidemiology, pathogenesis, transmission, diagnosis, and management of multidrug-resistant, extensively drug-resistant, and incurable tuberculosis. Lancet Respir Med. 2017 Mar 15;S2213-2600(17)30079-6.
  14. Vivithanaporn P, Kongratanapasert T, Suriyapakorn B, Songkunlertchai P, Mongkonariyawong P, Limpikirati PK, et al. Potential drug-drug interactions of antiretrovirals and antimicrobials detected by three databases. Sci Rep. 2021 Mar 17;11:6089.
  15. Benet LZ, Hosey CM, Ursu O, Oprea TI. BDDCS, the Rule of 5 and drugability. Adv Drug Deliv Rev [Internet]. 2016 Jun [cited 2024 Jul 27];101:89–98. Available from: https://linkinghub.elsevier.com/retrieve/pii/S0169409X1630149
  16. Daina A, Michielin O, Zoete V. SwissADME: a free web tool to evaluate pharmacokinetics, drug-likeness and medicinal chemistry friendliness of small molecules. Sci Rep [Internet]. 2017 Mar 3 [cited 2024 Jul 27];7(1):42717. Available from: https://www.nature.com/articles/srep42717.

Reference

  1. Diop M, Guitoula C, Tamouh AG, Youbong T, Daffé SMM, Ndoye M, et al. Prevalence of bacterial infections and factors associated with death related to these infections in two 1medical departments of a tertiary hospital in Dakar, Senegal. IJID Regions. 2025 Jun 1;15:100623.
  2. Medical Microbiology [Internet]. 2020 [cited 2025 Apr 6]. Available from: https://shop.elsevier.com/books/medical-microbiology/murray/978-0-323-67322-8
  3. Stevens DL, Bisno AL, Chambers HF, Dellinger EP, Goldstein EJC, Gorbach SL, et al. Practice Guidelines for the Diagnosis and Management of Skin and Soft Tissue Infections: 2014 Update by the Infectious Diseases Society of America. Clinical Infectious Diseases. 2014 Jul 15;59(2):e10–52.
  4. Foxman B. The epidemiology of urinary tract infection. Nat Rev Urol. 2010 Dec;7(12):653–60.
  5. Taubenberger JK, Morens DM. The pathology of influenza virus infections. Annu Rev Pathol. 2008;3:499–522.
  6. Shepard CW, Simard EP, Finelli L, Fiore AE, Bell BP. Hepatitis B virus infection: epidemiology and vaccination. Epidemiol Rev. 2006;28:112–25.
  7. Weiss RA. How does HIV cause AIDS? Science. 1993 May 28;260(5112):1273–9.
  8. Whitley RJ, Roizman B. Herpes simplex virus infections. Lancet. 2001 May 12;357(9267):1513–8.
  9. World malaria report 2022 [Internet]. [cited 2025 Apr 6]. Available from: https://www.who.int/teams/global-malaria-programme/reports/world-malaria-report-2022
  10. Stanley SL. Amoebiasis. Lancet. 2003 Mar 22;361(9362):1025–34.
  11. Montoya JG, Liesenfeld O. Toxoplasmosis. Lancet. 2004 Jun 12;363(9425):1965–76.
  12. Hotez PJ, Fenwick A, Savioli L, Molyneux DH. Rescuing the bottom billion through control of neglected tropical diseases. Lancet. 2009 May 2;373(9674):1570–5.
  13. Dheda K, Gumbo T, Maartens G, Dooley KE, McNerney R, Murray M, et al. The epidemiology, pathogenesis, transmission, diagnosis, and management of multidrug-resistant, extensively drug-resistant, and incurable tuberculosis. Lancet Respir Med. 2017 Mar 15;S2213-2600(17)30079-6.
  14. Vivithanaporn P, Kongratanapasert T, Suriyapakorn B, Songkunlertchai P, Mongkonariyawong P, Limpikirati PK, et al. Potential drug-drug interactions of antiretrovirals and antimicrobials detected by three databases. Sci Rep. 2021 Mar 17;11:6089.
  15. Benet LZ, Hosey CM, Ursu O, Oprea TI. BDDCS, the Rule of 5 and drugability. Adv Drug Deliv Rev [Internet]. 2016 Jun [cited 2024 Jul 27];101:89–98. Available from: https://linkinghub.elsevier.com/retrieve/pii/S0169409X1630149
  16. Daina A, Michielin O, Zoete V. SwissADME: a free web tool to evaluate pharmacokinetics, drug-likeness and medicinal chemistry friendliness of small molecules. Sci Rep [Internet]. 2017 Mar 3 [cited 2024 Jul 27];7(1):42717. Available from: https://www.nature.com/articles/srep42717.

Photo
Alnaj Thange
Corresponding author

Department of Pharmaceutical Chemistry, Shivajirao S. Jondhle College of Pharmacy, Asangaon, Thane- 421306.

Photo
Akshata Wasnik
Co-author

Department of Pharmaceutical Chemistry, Shivajirao S. Jondhle College of Pharmacy, Asangaon, Thane- 421306.

Photo
Shivam Yadav
Co-author

Department of Pharmaceutical Chemistry, Shivajirao S. Jondhle College of Pharmacy, Asangaon, Thane- 421306.

Photo
Sonal Yadav
Co-author

Department of Pharmaceutical Chemistry, Shivajirao S. Jondhle College of Pharmacy, Asangaon, Thane- 421306.

Photo
Chetana Mayekar
Co-author

Department of Pharmaceutical Chemistry, Shivajirao S. Jondhle College of Pharmacy, Asangaon, Thane- 421306.

Photo
Sunayana Ghodgaonkar
Co-author

Department of Pharmaceutical Chemistry, Shivajirao S. Jondhle College of Pharmacy, Asangaon, Thane- 421306.

Photo
Bhagyashree Chaudhari
Co-author

Department of Pharmaceutical Chemistry, Shivajirao S. Jondhle College of Pharmacy, Asangaon, Thane- 421306.

Alnaj Thange*, Akshata Wasnik, Shivam Yadav, Sonal Yadav, Chetana Mayekar, Sunayana Ghodgaonkar, Bhagyashree Chaudhari, Synthesis, Characterization and Antimicrobial Evaluation of Some Novel Naphthalene Hydrazone Derivatives, Int. J. of Pharm. Sci., 2025, Vol 3, Issue 7, 2927-2943. https://doi.org/10.5281/zenodo.16278633

More related articles
Formulation and Evaluation of Mucoadhesive Buccal ...
Someshwar Suresh More, Pranav Pramod Mahamuni, Dr. V. M. satpute,...
Molecular Docking Study of Benzimidazoles against ...
Mahesh Kumar N, Dr. Shachindra L Nargund, Priya A , Sharmila Gote...
Stimuli Responsive Hydrogels for Periodontitis The...
Dr. Jisha Mohanan, Aparna E, Ashik T N, Muhammed Danish Haneefa, ...
Molecular Mechanism, Biomarkers and Prevention Strategies of Drug-Induced Nephro...
Fathima Rasha N., Mohammad Mansoor, Sadiyath Mol V. P., Anson S. Maroky, G. Babu, ...
Lenacapavir: A Novel Capsid Inhibitor in HIV-1 Treatment and Capsid Inhibitors D...
Ravula Tulasi Naga pavan kumar, Panja Aishwarya Sai, P. Suma Sri , Boddani Sunil, ...
Chikungunya: A Comprehensive Narrative Review on Epidemiology, Pathogenesis and ...
Komal Pimpalshende, Kunal Darote, Sejal Sontakke, Dr. Swati Gaikwad, ...
Related Articles
1,4 Benzoxazine Derivatives: Synthesis, In-Silico Studies And Antimicrobial Eval...
Milind Shinde, Rajendra D. Wagh, Chandrakant P. Suryawanshi, ...
Formulation and Evaluation of a Polyherbal Hair Dye using Phyllanthus reticulatu...
R. Tejaswaroop, M. Praveen Krishna, R. Rohith, U. Sai Charan, U. Ratna Rao, P. Gayatri Devi, Dr. Y. ...
An Overview of Cassia Tora...
Rohan Nanhe, Kajal Rane, Shivani Sakhare, Krishnakant Haral, Kunal Zode, ...
Formulation and Evaluation of Mucoadhesive Buccal Tablet of Simvastatin ...
Someshwar Suresh More, Pranav Pramod Mahamuni, Dr. V. M. satpute, S. R. Ghodake, ...
More related articles
Formulation and Evaluation of Mucoadhesive Buccal Tablet of Simvastatin ...
Someshwar Suresh More, Pranav Pramod Mahamuni, Dr. V. M. satpute, S. R. Ghodake, ...
Molecular Docking Study of Benzimidazoles against ?-Catenin: In Silico Approach ...
Mahesh Kumar N, Dr. Shachindra L Nargund, Priya A , Sharmila Gote, ...
Stimuli Responsive Hydrogels for Periodontitis Therapy: Current Trends and Futur...
Dr. Jisha Mohanan, Aparna E, Ashik T N, Muhammed Danish Haneefa, ...
Formulation and Evaluation of Mucoadhesive Buccal Tablet of Simvastatin ...
Someshwar Suresh More, Pranav Pramod Mahamuni, Dr. V. M. satpute, S. R. Ghodake, ...
Molecular Docking Study of Benzimidazoles against ?-Catenin: In Silico Approach ...
Mahesh Kumar N, Dr. Shachindra L Nargund, Priya A , Sharmila Gote, ...
Stimuli Responsive Hydrogels for Periodontitis Therapy: Current Trends and Futur...
Dr. Jisha Mohanan, Aparna E, Ashik T N, Muhammed Danish Haneefa, ...