View Article

Abstract

Apitherapy, the therapeutic use of honey bee products has been practiced and is referenced in many ancient books and texts. This alternative medical approach utilizes various bee derived substances, including honey, bees wax and bee venom. Bee venom therapy, a specialized form of apitherapy, involves the application of live bee stings or injectable venom to stimulate healing in conditions such as arthritis, multiple sclerosis, other inflammatory and auto immune disorders. Bee venom contains at least 18 pharmacologically active compounds including peptides, enzymes, and amines with demonstrated anti-inflammatory, neuro protective, anti-microbial, and anti-viral properties. It has shown therapeutic promise in treating central nervous system diseases like Parkinson’s and Alzheimer’s as well as in pre-clinical cancer and HIV research. This review explores the biologically active compounds with their therapeutic potential, properties, stability, structural identity of chemical components of bee venom and highlighting its emerging role in modern alternative medicine

Keywords

Apitherapy; Bee venom; Honey bee products; Anti-inflammatory; Neuroprotective; Alternative medicine

Introduction

Bee venom is a complex and biologically active secretion  produced by female honey bees (Apis melifera) that has been used for  thousands of years in traditional medicine across various culture. This clear, odorless liquid contains at least 18 pharmacologically active component, including enzymes, peptides ,and amines which together contribute to its diverse therapeutic and toxic properties. Bees primarily use venom as a means of colony defense delivering it through a specialized stinging apparatus when they recognize threat arrives.

Accordingly, the bee venom remedy has been developed to deal with various sicknesses, including inflammation, cancer, microbial disease, and neurodegenerative diseases. Apitherapy is a subset of bee venom therapy has been applied for the treatment of conditions such as rheumatism, arthritis and low back pain. The main interest in the bee venom is largely  due to its proven anti- inflammatory, analgesic, and immunomodulatory  effects, which has been substantiated by both clinical and experimental studies. There are numerous bee venom treatments including bee sting therapy, bee venom acupuncture (BVA), directly injection of bee venom into human body and the use of bee venom products externally. Bee sting treatment is injecting bee venom into human skin via live bee stings . BVA  includes injecting bee venoms diluted with saline into a specific acupoint , has been used to treat many forms of pain.

In a honey bee a single drop of bee venom comprises 88%  water and only 0.1 gm of dry venom. Bee venom content has previously been identified via omics and fractionation techniques. Bee venom is a bio toxin or epitoxin produced by a gland in the bee’s abdomen cavity. Melittin, adolapin, apamin, mcd-peptide , phospolipase A2 (PLA2) are the few examples enzyme. This review aims to give a comprehensive updated account of bee venom sources, compositions, activities, medical applications.

 2. BEE VENOM SOURCES

Bee venom (BV), secreted by female honeybees, is a complex and protein rich substance produced from a gland in their abdomen and used primarily for defense and, in queen bees, for dominance in hive hierarchy.  Freshly secreted bee venom is a clear, colorless liquid that forms a light-yellow powder when it dries. It has the pungent aromatic odour of honey and is acidic in nature (between 4.5 and 5.5). The water content in bee venom varies between 55 and 70%. Its composition varies by the bee age, with the highest protein content in younger bees and key components like melittin, apamin, and adolapin exhibiting potent anti-inflammatory, anti-microbial, and neuro active properties. Honey bees can only sting once, leaving behind a barbed stinger and venom sac the continue pumping venom even after detachment, often resulting in the bee’s death. Bee venom is most commonly collected using a humane electric stimulation method that preserves the bees, with the venom later purified using chromatographic techniques. Its quality is influenced by factors like bee species, season, and geographic, requiring rigorous standardization for therapeutic use. BV has a long history in traditional medicine and is now being explored for clinical and veterinary applications, particularly in treating inflammatory, neurological, and auto immune conditions.

Recent research continues to expand the therapeutic potential of bee venoms, especially in advanced medical fields like cancer treatment. Scientists have made significant progress in developing targeted forms of melittin, the main active peptide in BV, for safely attacking aggressive cancer cells such as breast cancer while sparing healthy cells. For example, modified melittin injections in pre-clinical studies caused rapid cancer cell death with minimal side effects, although clinical trials are still needed to confirm safety and efficacy. Notably, whole bee venom appears to target cancer cells more effectively then melittin alone, suggesting other venom components assist its action.

Beyond cancer, bee venom shows promise for treating central nervous system disorders, inflammation, infections, and kidney injuries, thanks to its anti-inflammatory, anti-oxidant, and immune modulating effects. Advances in nanotechnology and molecular biology are facilitating safer delivery methods and improved standardization of  BV products, which is critical for expanding its medical and veterinary applications. This emerging research adds to the already known profile of BV as a complex, protein rich secretion with potent bio active compounds such as melittin, apamin, and phospholipase   A2, supporting its versatile role in improving human and animal health through apitherapy and novel pharmaceutical developments.

Freshly secreted bee venom is a clear, colorless liquid that forms a light-yellow powder when it dries. It has the pungent aromatic odour of honey and is acidic in nature (between 4.5 and 5.5). The water content in bee venom varies between 55 and 70%.

Fig.1

3. BEE VENOM COMPOSITION           

Sr. No.

Molecular type

Components

%

activities

1.

peptide

Melittin

40-60%

Anti inflammatory, anti cancer,

Anti microbial activity

 

 

Apamin

2%

Neuroprotective activity, enhances memory and learning and anti inflammatory activity

 

 

Adolapin

1%

anti inflammatory and analgesic activity

 

 

Mast cell degranulating

2-3%

Immunomodulary activity

2

Enzymes

Phospholipase A2

12-15%

Neuroprotective in low doses, pro inflammatory at high doses

 

 

Hyaluronidase

1-2%

Enhances penetration of other venom components, mildly pro inflammatory

 

 

Alpha glucosidase

0.6%

Anti diabetic activity

3

Biogenic amines

Histamine

0.5-2%

Contribute to vasodilation

 

 

 

Dopamine

1%

Contribute

Fig.2

Fig.3

3.1 PEPTIDES

3.1.1 MELITTIN

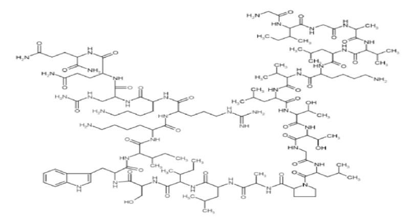
Melittin is a basic 26 amino acid polypeptide. It is the major active ingredient of honey bee venom, constituting 40 to 60%  of  whole dry venom. Melittin has various biological , pharmacological and toxicological actions, including strong surface activity on cell lipid membranes , hemolyzing  activity, anti-bacterial and anti-fungal activities, potential anti-tumor properties . melittin is also known as a natural pore forming peptide that can insert itself across the phospholipid bilayer, and interactions between bio membrane and proteins can be studied using this biological activity. Melittin has also been used as an activator of  phospolipase A2 after the discovery of its enhancing effects on bee venom PLA2 activity. However, so far little is known about the pain producing effects of melittin and its actions on the nervous system. [ Melittin : Molecular formula, C131H229N39O31;  Molecular weight, 2846.46266 g/mol]

 Amino acid sequence in melittin

Gly-Ile-Gly-Ala-Val-Leu-Lys-Val-Leu-Thr-Thr-Gly-Leu-Pro-Ala-Leu-Ile-Ser-Trp-Ile-Lys-Arg-Lys-Arg-Gln-GlnNH2.

Fig.4 Structure of melittin

3.1.2 APAMIN

Apamin, an 18 amino acid peptide, makes up 2-3% of its total dry weight. It’s formed by a disulfide bond between cysteines, which shapes is highly stable and compact chemical structure. Apamin has demonstrated the potential benefits in anti-atherosclerosis, anti-heart failure, and improvement of neurological disorders. It is the smallest neurotoxin in HBV. It has neurotoxic action at the central and peripheral level, with nerve cytotoxic and nociceptive effects due to its ability to cross the blood brain barrier and because it blocks potassium dependent Ca2+ channels. In addition , it inhibits neuromuscular transmission through the activation of M2 muscarinic inhibitory receptors in motor nerve endings, an effect that could improve the control of muscle excitability in patience with myotonic diseases , such as Parkinson disease. [Apamin: Molecular formula, C79H131N31O24S4 ; Molecular weight , approx. 2027.34 g/mol.]

Amino acid sequence in apamin

Cis-Asn-Cis-Lis-Ala-Pro-Glu-Tre-Ala-Leu-Cis-Ala-Arg-Arg-Cis-Gln-Gln-His-NH2

Fig.5 Structure of Apamin

3.1.3 ADOLAPIN

Adolapin is a basic polypeptide with 103 amino acids residues and comprising 1% of dry bee venom. It inhibits specific brain enzymes such as cyclooxygenase and lipoxygenase. It is anti-rheumatic effect, relieves pain. It prevents the aggregation of erythrocytes. It has been reported to possess anti nociceptive anti-inflammatory and anti-pyretic effect. [Adolapin; Molecular weight, approx 11000 to 11500]

3.1.4 MAST CELL DEGRANULATING (MCD)

The MCD peptide is a basic peptide consisting of 22 amino acids with two disulfide bridges. The MCD peptide causes mast cell degranulation and histamine release at low concentration leading to inhibition of k+ channels. Moreover , this peptide is responsible for the swelling and pain after a sting as well as  for the allergic reaction. [MCD; Molecular formula, C110H192N40024S4 ;  Molecular weight, 2587.2  Da.]

Amino acid sequence of MCD

Ile-Lys-Cys-Asn-Cys-Lys-Arg-His-Val-Ile-Lys-Pro-His-Ile-Cys-Arg-Lys-Ile-Cys-Gly-Lys-Asn

Fig.6 Structure of MCD peptide

3.1.5 SECAPIN

Secapin is composed of 25 amino acids residues with disulfide bridges . Secapin has around 1% of BV composition. Secapin-1 is a serine protease inhibitor like  peptide that has demonstrated anti-fibrinolytic, anti elastolytic and anti-microbial activities. Likely, secapin-2 has shown hyperalgesic and edematogenic effects. Although  secapin has demonstrated to act as potent neurotoxin. [Secapin: Molecular formula, C131H213N37O31S2; Molecular weight, 2866.5 g/mol.]

3.1.6 OTHER PEPTIDES OF BEE VENOM

The other peptides found in bee venom are contained only in a small percentage and their functions are relatively unknown.  Secapin  accounts for about 0.5% of total bee venom and consists of 21 amino acids with a high proline composition and  one disulfide bridge. Tertiapin accounts for the about 0.1% of the total bee venom and also consist of 21 amino acids with one disulfide bridge.

3.2 ENZYMES

3.2.1 PHOSPHOLIPASE A2

Phospholipase A2 [PLA2] is calcium dependent enzyme containing 129 amino acid residues, out of which 12 being cysteine residue, which aids in formation of disulfide bridges. PLA2 has cytolytic capability of hydrolyzing  phospholipids, leading to the formation of  lysolecithin. It can destroy membranes of  many cells (erythrocytes, mast cells) leading to pathological effects. HBV is largely composed of melittin, which is a stimulant of PLA2. The presence of melittin in HBV makes the PLA2 more active and toxic. Amongst numerous components of BV, phospholipase is the strongest antigenic and allergenic protein. PLA2 confers indirect hemolysis and dissolves phospholipids. However, the lipoprotein layer of the erythrocyte surface is dissolved by melittin.

PLA2 activity catalytically hydrolyses and digests cell membrane components and consequently disrupts the integrity of the lipid bilayer, thus making cells susceptible to further degradation. The effect of a honey bee sting increases the activity of PLA2, leading to the excessive release of arachidonic acid from the phospholipid membrane. [Phospholipase A2: Molecular weight, approx. 14.5 kDa] 

Fig.7  Structure of phospholipase A2

3.2.2 ACID PHOSPHATASE

Venom acid phosphatase is a glycoprotein and a potent allergen in BV of Apis mellifera. It contains four possible  sites of glycosylation with the sequence Asn-Xaa-Ser/Thr. The motif RHGXRSP characterizes its acid phosphatase activity and distinguishes it from the acid phosphatase enzyme of other organism. It responsible for IgE mediated allergic reactions in humans. It causes the release of histamine from sensitized basophiles related to such manifestations has causing urticaria and flare reactions. Approximately 37% of  BV allergic patients develop Api m 3 (acid phosphatase) specific IgE, which can be used in immune therapies.  [Acid phosphatase: Molecular weight, 45000-96000 Da]

Fig.8  Structure of acid phosphatase

3.2.3 HYALURONIDASE

Hyaluronidase are enzymes widely distributed in nature ,normally involved in pathological activities, such as the diffusion of toxins ,inflammation allergens, etc. ,and physiological activities ,such as fertilization, wound  healing, embryogenesis, and angiogenesis. The  enzymes  found in bee venom belongs to the EC group 3.2.2.35.  It is the major allergen  present in the venom  of  honey bees, wasps, hornets, and scorpions , because it  stimulates  the systemic anaphylactic  response mediated  by IgE.

It is  an  enzyme with  a  molecular  weight  ranging  from 33 to 100  kDa,  made  up  of  349 amino acids , and  is  active  at  pH 4 to 6.  It  is  considered  a  propagation  factor  because  it hydrolyzes  the  hyaluronic  acid  of  the  interstitium , causes  dilation  and an  increase  in the  permeability  of  blood vessels , increasing  blood  circulation ,which  facilitates  the diffusion  of  the other  components  of  HBV ,  causing  the  spread  of  inflammation  and  the  entry  of  pathogens  found  at  the  site  of  the injury.

Fig.9   Structure of  Hyaluronidase

 3.2.4 ALPHA- GLUCOSIDASE

Alpha- Glucosidase  acts  on  the  alpha-glycosidic  bond  at  the  non- reducing  terminal  side  of  a  substrate  and  liberates  alpha- glucose  as  a  product  in  Apis mellifera  Lingustica,  alpha- glucosidase  has  three  isozymes [ I,  II,  III],  which  have  different  substrate  specifications .  However,  the  alpha- glucosidase  contained in  honey from  the  hypopharyngeal  gland  is  alpha- glucosidase III, as  immunological  methods  havr  confirmed .  The  enzymes  remain  stable  at  a  pH  ranging  from  5 to 10 ( the optimum  pH  is  5.5 ) and is denatured  at a  pH  lower than  4.5.  It is stable  at 40 C ,but  if  it left  standing  at 60  C  for  15 min, it  will  completely  nonfunctional .  Its  function  is  to  degrade  sucrose  in  the  necter  into  glucose  and  fructose  to  degrade  sucrose  in  the  necter  into  glucose  and  fructose  to  produce  honey.

Fig.7  Structure of Alpha glucosidase

3.3  HONEY  BEE  VENOM  ACTIVITES

3.3.1 ANTI-MICROBIAL PROPERTIES OF BEE  VENOM

Antifungal activity of bee venom

It  has  been  documented   that  melittin  possess  anti- fungal  activity  against  Candida  albicans  by  destroying   membrane  and  causing  the  cell  apoptosis   in  a  capsule  or mitochondrial - dependent  way.  Also,  bee  venom  is  a  strong  agent  against  Trychophyton rubrum ,Trychophyton  mentagrophytes  and  Candida  albicans .  It  is  proved  that  the  effect  of  bee  venom towards  Trychophyton  rubrum and Trychophyton  mentagrophytes  is  stronger  than  of  commercially available  medicine,  fluconazole.

Furthermore , sweet bee venom (SVB) (Bee Venom without enzymes and histamine )  possesses  stronger  anti- fungal  efficacy  compared  to  bee venom. Both  sweet  bee venom  and  bee  venom  show  anti-fungal  capability  on 10  experimental  Candida  albicans  strains  isolated  from  vagina  and  blood  through  broth  micro- dilution  assay,  disk diffusion  assay,  and killing- curve  assay  presented  that  bee  of  Apis  cerana  has   strong   inhibitory  activity towards Candida  albicans  as  compared  to  Apis  dorsata  and  Apis  florae ,  respectively.

The  two  constituents  of   bee  venom , apamin  and  melittin , show  inhibitory effect  against  Aspergillus  pillows  and   Alternaria  alternate  which   cause   inflammatory  disease  in nasal  cavity. Based  on  the  literature  studies,  a  larger  and  long –term  follow- up  trial  is  needed  to determine  the  safety  and  efficacy of   bee  venom   because   its  safety  is  still  a   strong   limiting consideration  during   clinical   treatment.

Anti-protozoal  activity  of  bee  venom

Studies   revealed   that  bee  venom  group  III   sPLA2  has   anti- trypanosomiasis   properties. The  expression  of   bee  venom  III  sPLA2  in  a  genetically  modified  mosquitos   midgut  has  inhibitory  action  towards   plasmodium  ookinetes. Additionally,  cecropin ( a  hybrid of melittin ) has  anti- leishmanial  efficacy   for  Leishmania   donavani  promastigote  via disrupting  its  plasma membrane.  Melittin  disrupts  the membranes  integrity  of  both  prokaryotic  and  eukaryotic  organism  which  causes  lysis  of membrane  and  permeability .  This kind  of reaction  makes  melittin  an  anti-microbial, anti-fungal, and  anti- leishmanial agent.  According  to  previous research ,PLA2  shows  anti- protozoal  action towards  Trypanosoma  brucei  brucei  in  controlled  conditions. Bee venom  peptide  called  lasioglossins,  possesses    greater  anti- microbial  action  because  of its membrane  interaction ,as well as DNA binding . It has been  reported that , the peptide melittin  possesses  anti- protozoal  activity  against Toxoplasma  gondiiTrypanosoma  cruzi,  Plasmodium and Leishmania.  Furthermore,  melittin has been  utilized  in  vaccine  preparation to enhance  immunity  to  leishmaniasis .  Also,  melittin shows killing activity towards Trypanosoma  cruzi . As we reviewed , BV  possesses  anti- protozoal  activities  but  the  exact  effect  of its  compounds  along  with  mode  of  action  and  its    commercialization  as   a   therapeutic  medicine   is still  unknown.

3.3.2 NEUROPROTECTIVE ACTIVITY OF BE VENOM

PARKINSON’S DISEASE AND ALZHEIMER’S DISEASE

Recent research indicates that bee venom may protect dopaminergic neurons from degeneration in animal models of parkinson’s disease. Bee venom demonstrated to reduce neuro inflammation in a mouse model of parkinson’s disease generated with 1-methyl – 4-phenyl-1,2,3,6-tetra hydropyridine (MPTP). Acupuncture with bee venom substantially protected dopaminergic neurons against MPTP toxicity in mice models of parkinson’s disease. Additionally, bee venom products SH-SY5Y human neuro blastomo cells from MPTP-induced apoptosis.

The neuro protective properties of bee venom phospholipase A2 are attributed to its ability to reduce neuro informative responses in a rat model of parkinson’s disease. Acupuncture with bee venom shows neuroprotective effects in a mouse model of parkinson’s disease. Additionally, Another research revealed that the bee venom peptide apamin protects DA neurons in a model system of midbrain cultures that stimulates parkinson’ diseases selective death of DA neurons. Apamin protective impact was attributed to a little increase in the excitability of dopaminergic neurons, which resulted in a moderate and sustained raise in cytosolic calcium.

Apitoxin may preserve dopaminergic neurons in an animal model that resembles the chronic degradation process associated with parkinson’ s disease over a longer period of time, according to the present research. Apamin , apeptide isolated from the bee venom that specifically blocks sodium potassium channels, duplicated just a portion of these protective effects. In alzheimers patients, specific brain effects of bee venom have been found. Numerous studies have shown that apamin enhances neuron excitability, synaptic plasticity, and long-term potentiation hippocampal region of Cornu Ammonis (CA1) .

3.3.3 ANTI INFLAMMATORY ACTIVITY

Inflammation is  protective process for body in response to harmful stimuli. Chronic inflammation led to development of many diseases like diabetes, rheumatoid arthritis, cardiovascular disease, obesity, asthma, skin disease, and CNS related disorders. Melittin, when it administrated at high doses, causes local pain, itching, and inflammation. However, low doses of bee venom compound can induce wide anti-inflammatory effects.

Many reports are investigated the anti-inflammatory mechanisms of melittin in different disease such as rheumatoid arthritis and Alzheimer. In fact, it acts by inhibiting inflammatory cytokines like interlukin-6 (IL-6), IL-8, tumor necrosis factor- alpha (TNF-α) and interferon-γ. Moreover, melittin decreases signaling pathways that activate inflammatory cytokines, including nuclear factor – kappa B, protein kinase Akt, extracellular signal regulated in porphyromonas gingivalis lipopolisaccharide treated human kerationocytes. These findings indicate that, by blocking their primary signaling pathways, melittin inhibits inflammatory cytokines leading to a reduced inflammation in skin, liver, joint and neuronal tissue.

Regarding skin diseases, a recent study by Kim et al. showed that BV reduces atopic dermatitis the most common allergic chronic inflammatory skin disease. In fact, the venom stimulates CD55 production by triggering ERK1/2 pathways, which leads to the alleviation of the disease’s

symptoms. Interestingly, a previous study by Shin et al. described the anti-inflammatory potential of bvPLA2 in skin diseases by showing that the enzyme attentiates atopic skin inflammation through interaction with CD206.

3.3.4 ANTIVIRAL ACTIVITY

Bee venom (BV) and its two main components, melittin and phospholipase A2 (PLA2), are well known for their antimicrobial properties and can be used as complementary agents to fight bacteria. These compounds work by creating pores in bacterial membranes, which leads to their breakdown and ultimately causes the bacteria to burst. However, their antiviral effects haven’t been explored as much in the scientific literature.

A recent study shed light on the antiviral potential of BV, with promising results both in lab experiments and live animal tests. The research showed that BV and melittin have strong antiviral effects against a variety of viruses, including enveloped ones like the vesicular stomatitis virus, influenza A virus, and herpes simplex virus, as well as non-enveloped viruses such as enterovirus-71 and coxsackie virus. Impressively, melittin was able to protect mice from lethal doses of the influenza A H1N1 virus.

While the exact way BV and melittin  fight viruses isn’t fully understood yet, it’s clear that BV interacts directly with the virus’s outer  surface. Additionally, BV and its components can trigger the body’s production of type I interferon, a crucial part of the immune response that helps block viral replication inside Infected cells.

Research at Washington University School of Medicine in St. Louis has even explored using nano particles loaded with melittin to specifically target and destroy HIV particles without harming healthy cells. This innovative approach aims to develop a vaginal gel containing these nanoparticles to prevent the spread of HIV. The idea is that the melittin on the nanoparticles merges with the virus’s envelope, forming pore-like structures that break it open.

3.3.5 IMMUNO MODULATORY ACTIVITY

Bee venom, a complex substance produced by honeybees, contains several bioactive compounds that have garnered increasing interest for their potential immunomodulatory effects. The major components of bee venom include melittin, phospholipase A2, hyaluronidase, apamin, and several peptides, enzymes, and proteins. These compounds interact with various components of the immune system, triggering both innate and adaptive immune responses. Melittin, one of the primary peptides in bee venom, has been shown to exhibit anti-inflammatory and antimicrobial properties. It can induce the release of pro-inflammatory cytokines such as tumor necrosis factor-alpha (TNF-α) and interleukins (IL-1, IL-6), which play crucial roles in immune system regulation. Furthermore, melittin can activate macrophages and dendritic cells, key players in the body’s defense against pathogens. Phospholipase A2* in bee venom also has potent immunomodulatory effects, particularly through the breakdown of phospholipids in cell membranes, which generates arachidonic acid and subsequent inflammatory mediators like prostaglandins and leukotrienes. This action contributes to both local and systemic inflammatory responses, which can be beneficial in cases of immune dysregulation. Additionally, bee venom’s hyaluronidase promotes the spread of other active components, enhancing tissue penetration and increasing the venom's efficacy in modulating immune responses.

The venom’s ability to modulate immune activity extends to its potential therapeutic applications. For instance, studies suggest that bee venom might help in the treatment of autoimmune diseases, where the immune system mistakenly attacks the body’s own tissues, by regulating T-cell responses and promoting a more balanced immune activity. It is also proposed that bee venom could improve circulation and stimulate the lymphatic system, which aids in the removal of toxins and enhances the body’s natural defense mechanisms. In conditions involving chronic inflammation, bee venom’s capacity to down regulate overactive immune responses and reduce inflammatory cytokine production may offer relief. Moreover, bee venom’s anti-cancer potential has been explored, as some studies suggest that it can inhibit the growth of cancer cells through immune system activation and direct cytotoxic effects. However, despite the promising findings, much of the research is still in early stages, and more clinical trials are required to fully understand the therapeutic potential, safety, and optimal usage of bee venom for immune system modulation.

4. PROPERTIES OF BEE VENOM

Bee venom is an odorless, translucent fluid with pungent scent. It has an unpleasant taste and pH from 4.5 to 5.5. It is dissolvable in water and insoluble in ammonium sulfate as well as alcohol. Due to the oxidation of BV protein, the dehydrated BV becomes light pale, while some variants available on the market are brown. Also, BV contains about 88 % of water. Additionally, the venom contents like phospholipid, fructose and glucose are similar to the contents present in bee hemolymph. Due to its components, in direct contact with eyes or mucous membranes, BV causes mechanical damage.

5. STABILITY OF BEE VENOM

A study found that diluting BV 3000 and 4000 times can keep it stable for 12 months at ambient temperature and refrigerator temperature. However, in the same investigation, diluted BV maintained at ambient temperature for 12 months did not demonstrate antibacterial action against Staphylococcus aureus, although diluted BV stored in a refrigerator did. Impact of the component responsible for the antibacterial activity of BV reduces at room temperature, according to this study. Another study, conducted in 2021, assessed stability of melittin, a component of BV known to be responsible for several biological effects such as anticancer, antiviral, and anti-inflammatory. Melittin concentration of identical BV held at ambient temperature and in the refrigerator for 6 months was quantified using a reversed phase high performance liquid chromatography (HPLC) technique with a photo-diode array (PDA) detector in this study, and no significant difference was found. Melittin's remarkable stability, even at room temperature, lowers the storage costs for BV makers.

CONCLUSION

Honey bee venom is a complex and biologically active natural substance consist of various compositions such as melittin, apamin, adolapin, phospholipase A2, secabin, hyalurodinase, acid phosphatase. These compositions exhibits a vast pharmacological activity such as anti-inflammatory, anti-viral, anti-cancer, immunomodulatory and neuroprotective properties. It also applicable for the treatment of neurodegenerative disorders like Alzheimer’s disease, Parkinson’s disease. The bioactivities in bee venom also treat for various conditions such as chronic pain disorders, arthritis and cancer.

The clinical application of bee venom is limited due to the potential allergic reactions. Although the bee venom therapeutic applications explained in the current research, but in ancient times apitherapy, bee venom therapy and bee venom acupuncture are evolved. In summary, with the responsive scientific exploration and various advancement in technology, bee venom may become a valuable compound of conventional medicine in the future.

REFERENCES

  1. (Apis mellifera) venoms. Iranian Journal of Medical Microbiology, 14(5), 460-477.
  2. Hellner, M.; Winter, D.; von Georgi, R.; Münstedt, K. Apitherapy: Usage and exp
  3. erience in German beekeepers. Evid. Based Complement. Altern. Med. 2008, 5, 475–479. [Google Wehbe R, Frangieh J, Rima M, El Obeid D, Sabatier JM, Fajloun Z. Bee venom: Overview of main compounds and bioactivities for therapeutic interests. Molecules. 2019 Aug 19;24(16):2997.
  4. Khalil A, Elesawy BH, Ali TM, Ahmed OM. Bee venom: From venom to drug. Molecules. 2021 Aug 15;26(16):4941.
  5. Shi P, Xie S, Yang J, Zhang Y, Han S, Su S, Yao H. Pharmacological effects and mechanisms of bee venom and its main components: Recent progress and perspective. Frontiers in pharmacology. 2022 Sep 27;13:1001553.
  6. Sadek KM, Shib NA, Taher ES, Rashed F, Shukry M, Atia GA, Taymour N, El-Nablaway M, Ibrahim AM, Ramadan MM, Abdelkader A. Harnessing the power of bee venom for therapeutic and regenerative medical applications: an updated review. Frontiers in pharmacology. 2024 Jul 18;15:1412245.
  7. Bava R, Castagna F, Musella V, Lupia C, Palma E, Britti D. Therapeutic use of bee venom and potential applications in veterinary medicine. Veterinary Sciences. 2023 Feb 4;10(2):119.  
  8. Laurindo LF, de Lima EP, Laurindo LF, Rodrigues VD, Chagas EF, de Alvares Goulart R, Araújo AC, Guiguer EL, Pomini KT, Rici RE, Maria DA. The therapeutic potential of bee venom-derived Apamin and Melittin conjugates in cancer treatment: A systematic review. Pharmacological research. 2024 Nov 1;209:107430.
  9. Jeong H, Jang S, Park JK, Kim KH, Park JH, Lee G, Sung SH. Bee venom acupuncture for shoulder pain: a literature review of clinical studies. Toxins. 2024 Nov 20;16(11):501.
  10. Pareek A, Mehlawat K, Tripathi K, Pareek A, Chaudhary S, Ratan Y, Apostolopoulos V, Chuturgoon A. Melittin as a therapeutic agent for rheumatoid arthritis: mechanistic insights, advanced delivery systems, and future perspectives. Frontiers in Immunology. 2024 Dec 20;15:1510693.
  11. El-Wahed AA, Khalifa SA, Elashal MH, Musharraf SG, Saeed A, Khatib A, Tahir HE, Zou X, Naggar YA, Mehmood A, Wang K. Cosmetic applications of bee venom. Toxins. 2021 Nov 18;13(11):810.
  12. Kim JH, Seo BK. Clinical effectiveness of bee venom acupuncture for bone fractures and potential mechanisms: A narrative overview. Toxins. 2024 Oct 31;16(11):465.
  13. Jeong H, Kim KH, Ko SG. Effectiveness of Bee Venom Injection for Parkinson’s Disease: A Systematic Review. Toxins. 2025 Apr 20;17(4):204.
  14. Altaf S, Iqbal T. Bee Venom Used for the Treatment of Rheumatoid Arthritis. Biomedical Journal of Scientific & Technical Research. 2023 Oct 10;53(2):44503-7.
  15. Nguyen CD, Yoo J, Jeong SJ, Ha HA, Yang JH, Lee G, Shin JC, Kim JH. Melittin-the main component of bee venom: a promising therapeutic agent for neuroprotection through keap1/Nrf2/HO-1 pathway activation. Chinese Medicine. 2024 Nov 28;19(1):166.
  16. Shi P, Xie S, Yang J, Zhang Y, Han S, Su S, Yao H. Pharmacological effects and mechanisms of bee venom and its main components: Recent progress and perspective. Frontiers in pharmacology. 2022 Sep 27;13:1001553.
  17. Alcalá-Escamilla KI, Moguel-Ordóñez YB. Main bioactive components and therapeutic properties of bee (Apis mellifera L.) venom. Review. Revista mexicana de ciencias pecuarias. 2024 Mar;15(1):230-48.
  18. Itzél Alcalá-Escamilla K, Beatriz Moguel-Ordóñez Y. Main bioactive components and therapeutic properties of bee (Apis mellifera L.) venom. Review. Revista Mexicana de Ciencias Pecuarias. 2024 Jan 1;15(1).
  19. Lee KS, Kim BY, Yoon HJ, Jin BR. Proteases and protease inhibitors in bee venoms. Journal of Apiculture. 2023 Nov;38(4):391-6.
  20. Maitip J, Mookhploy W, Khorndork S, Chantawannakul P. Comparative study of antimicrobial properties of bee venom extracts and melittins of honey bees. Antibiotics. 2021 Dec 8;10(12):1503.
  21. Isidorov V, Zalewski A, Zambrowski G, Swiecicka I. Chemical composition and antimicrobial properties of honey bee venom. Molecules. 2023 May 17;28(10):4135.
  22. Sekar M, Lum PT, Bonam SR, Hua Gan S. Medicinal Benefits of Bee Venom. Honey: Composition and Health Benefits. 2023 Mar 24:302-13.
  23. Abac? N, Orhan ?E. Bee venom and its biological effects. Current Perspectives on Medicinal and Aromatic Plants. 2022;5(1):86-105.
  24. Zhang, S.; Liu, Y.; Ye, Y.; Wang, X.R.; Lin, L.T.; Xiao, L.Y.; Zhou, P.; Shi, G.X.; Liu, C.Z. Bee venom therapy: Potential mechanisms and therapeutic applications. Toxicon 2018, 148, 64–73. [Google Scholar] [CrossRef]
  25. Wehbe, R.; Frangieh, J.; Rima, M.; El Obeid, D.; Sabatier, J.M.; Fajloun, Z. Bee Venom: Overview of Main Compounds and Bioactivities for Therapeutic Interests. Molecules 2019, 24, 2997. [Google Scholar] [CrossRef] [PubMed] [Green Version]
  26. Carpena, M.; Nuñez-Estevez, B.; Soria-Lopez, A.; Simal-Gandara, J. Bee Venom: An Updating Review of Its Bioactive Molecules and Its Health Applications. Nutrients 2020, 12, 3360. [Google Scholar] [CrossRef]
  27.  Ali M. Studies on bee venom and its medical uses. Int J Adv Res Technol 2012;1(2):1-15. [ Links ]
  28. 7. Faux CM. Honey bee anatomy. In: Kane TR, Faux CM editors. Honey bee medicine for the veterinary parctitioner. Wiley Blackwell. 2021:33-40. [ Links ]
  29.  Azam, M. N. K., Ahmed, M. N., Biswas, S., Ara, N., Rahman, M. M., Hirashima, A., & Hasan, M. N. (2018). A review on bioactivities of honey bee venom. Annual Research & Review in Biology, 1-13. https://doi.org/10.9734/ARRB/2018/45028 5. Babaie, M., Mehrabi, Z., & Mollaei, A. (2020). Partial purification and characterization of antiScholar] [CrossRef]
  30. Münstedt, K. Bee products—An overview of their pharmacological properties and medicinal applications. Bee Prod. Their Appl. Food Pharm. Ind. 2022, 1–23. [Google Scholar]
  31. Gokulakrishnaa, R.; Thirunavukkarasu, S. Apitherapy: A valuable gift from honey bee. J. Entomol. Zool. Stud. 2020, 8, 2317–2323. [Google Scholar]

Reference

  1. (Apis mellifera) venoms. Iranian Journal of Medical Microbiology, 14(5), 460-477.
  2. Hellner, M.; Winter, D.; von Georgi, R.; Münstedt, K. Apitherapy: Usage and exp
  3. erience in German beekeepers. Evid. Based Complement. Altern. Med. 2008, 5, 475–479. [Google Wehbe R, Frangieh J, Rima M, El Obeid D, Sabatier JM, Fajloun Z. Bee venom: Overview of main compounds and bioactivities for therapeutic interests. Molecules. 2019 Aug 19;24(16):2997.
  4. Khalil A, Elesawy BH, Ali TM, Ahmed OM. Bee venom: From venom to drug. Molecules. 2021 Aug 15;26(16):4941.
  5. Shi P, Xie S, Yang J, Zhang Y, Han S, Su S, Yao H. Pharmacological effects and mechanisms of bee venom and its main components: Recent progress and perspective. Frontiers in pharmacology. 2022 Sep 27;13:1001553.
  6. Sadek KM, Shib NA, Taher ES, Rashed F, Shukry M, Atia GA, Taymour N, El-Nablaway M, Ibrahim AM, Ramadan MM, Abdelkader A. Harnessing the power of bee venom for therapeutic and regenerative medical applications: an updated review. Frontiers in pharmacology. 2024 Jul 18;15:1412245.
  7. Bava R, Castagna F, Musella V, Lupia C, Palma E, Britti D. Therapeutic use of bee venom and potential applications in veterinary medicine. Veterinary Sciences. 2023 Feb 4;10(2):119.  
  8. Laurindo LF, de Lima EP, Laurindo LF, Rodrigues VD, Chagas EF, de Alvares Goulart R, Araújo AC, Guiguer EL, Pomini KT, Rici RE, Maria DA. The therapeutic potential of bee venom-derived Apamin and Melittin conjugates in cancer treatment: A systematic review. Pharmacological research. 2024 Nov 1;209:107430.
  9. Jeong H, Jang S, Park JK, Kim KH, Park JH, Lee G, Sung SH. Bee venom acupuncture for shoulder pain: a literature review of clinical studies. Toxins. 2024 Nov 20;16(11):501.
  10. Pareek A, Mehlawat K, Tripathi K, Pareek A, Chaudhary S, Ratan Y, Apostolopoulos V, Chuturgoon A. Melittin as a therapeutic agent for rheumatoid arthritis: mechanistic insights, advanced delivery systems, and future perspectives. Frontiers in Immunology. 2024 Dec 20;15:1510693.
  11. El-Wahed AA, Khalifa SA, Elashal MH, Musharraf SG, Saeed A, Khatib A, Tahir HE, Zou X, Naggar YA, Mehmood A, Wang K. Cosmetic applications of bee venom. Toxins. 2021 Nov 18;13(11):810.
  12. Kim JH, Seo BK. Clinical effectiveness of bee venom acupuncture for bone fractures and potential mechanisms: A narrative overview. Toxins. 2024 Oct 31;16(11):465.
  13. Jeong H, Kim KH, Ko SG. Effectiveness of Bee Venom Injection for Parkinson’s Disease: A Systematic Review. Toxins. 2025 Apr 20;17(4):204.
  14. Altaf S, Iqbal T. Bee Venom Used for the Treatment of Rheumatoid Arthritis. Biomedical Journal of Scientific & Technical Research. 2023 Oct 10;53(2):44503-7.
  15. Nguyen CD, Yoo J, Jeong SJ, Ha HA, Yang JH, Lee G, Shin JC, Kim JH. Melittin-the main component of bee venom: a promising therapeutic agent for neuroprotection through keap1/Nrf2/HO-1 pathway activation. Chinese Medicine. 2024 Nov 28;19(1):166.
  16. Shi P, Xie S, Yang J, Zhang Y, Han S, Su S, Yao H. Pharmacological effects and mechanisms of bee venom and its main components: Recent progress and perspective. Frontiers in pharmacology. 2022 Sep 27;13:1001553.
  17. Alcalá-Escamilla KI, Moguel-Ordóñez YB. Main bioactive components and therapeutic properties of bee (Apis mellifera L.) venom. Review. Revista mexicana de ciencias pecuarias. 2024 Mar;15(1):230-48.
  18. Itzél Alcalá-Escamilla K, Beatriz Moguel-Ordóñez Y. Main bioactive components and therapeutic properties of bee (Apis mellifera L.) venom. Review. Revista Mexicana de Ciencias Pecuarias. 2024 Jan 1;15(1).
  19. Lee KS, Kim BY, Yoon HJ, Jin BR. Proteases and protease inhibitors in bee venoms. Journal of Apiculture. 2023 Nov;38(4):391-6.
  20. Maitip J, Mookhploy W, Khorndork S, Chantawannakul P. Comparative study of antimicrobial properties of bee venom extracts and melittins of honey bees. Antibiotics. 2021 Dec 8;10(12):1503.
  21. Isidorov V, Zalewski A, Zambrowski G, Swiecicka I. Chemical composition and antimicrobial properties of honey bee venom. Molecules. 2023 May 17;28(10):4135.
  22. Sekar M, Lum PT, Bonam SR, Hua Gan S. Medicinal Benefits of Bee Venom. Honey: Composition and Health Benefits. 2023 Mar 24:302-13.
  23. Abac? N, Orhan ?E. Bee venom and its biological effects. Current Perspectives on Medicinal and Aromatic Plants. 2022;5(1):86-105.
  24. Zhang, S.; Liu, Y.; Ye, Y.; Wang, X.R.; Lin, L.T.; Xiao, L.Y.; Zhou, P.; Shi, G.X.; Liu, C.Z. Bee venom therapy: Potential mechanisms and therapeutic applications. Toxicon 2018, 148, 64–73. [Google Scholar] [CrossRef]
  25. Wehbe, R.; Frangieh, J.; Rima, M.; El Obeid, D.; Sabatier, J.M.; Fajloun, Z. Bee Venom: Overview of Main Compounds and Bioactivities for Therapeutic Interests. Molecules 2019, 24, 2997. [Google Scholar] [CrossRef] [PubMed] [Green Version]
  26. Carpena, M.; Nuñez-Estevez, B.; Soria-Lopez, A.; Simal-Gandara, J. Bee Venom: An Updating Review of Its Bioactive Molecules and Its Health Applications. Nutrients 2020, 12, 3360. [Google Scholar] [CrossRef]
  27.  Ali M. Studies on bee venom and its medical uses. Int J Adv Res Technol 2012;1(2):1-15. [ Links ]
  28. 7. Faux CM. Honey bee anatomy. In: Kane TR, Faux CM editors. Honey bee medicine for the veterinary parctitioner. Wiley Blackwell. 2021:33-40. [ Links ]
  29.  Azam, M. N. K., Ahmed, M. N., Biswas, S., Ara, N., Rahman, M. M., Hirashima, A., & Hasan, M. N. (2018). A review on bioactivities of honey bee venom. Annual Research & Review in Biology, 1-13. https://doi.org/10.9734/ARRB/2018/45028 5. Babaie, M., Mehrabi, Z., & Mollaei, A. (2020). Partial purification and characterization of antiScholar] [CrossRef]
  30. Münstedt, K. Bee products—An overview of their pharmacological properties and medicinal applications. Bee Prod. Their Appl. Food Pharm. Ind. 2022, 1–23. [Google Scholar]
  31. Gokulakrishnaa, R.; Thirunavukkarasu, S. Apitherapy: A valuable gift from honey bee. J. Entomol. Zool. Stud. 2020, 8, 2317–2323. [Google Scholar]

Photo
Mounika K
Corresponding author

Shree Venkateshwar College of Paramedical Sciences, College of Pharmacy, Erode, Tamil Nadu 638455

Photo
Dr. K. B. Ilango
Co-author

Shree Venkateshwar College of Paramedical Sciences, College of Pharmacy, Erode, Tamil Nadu 638455

Photo
S. Arumugam
Co-author

Shree Venkateshwar College of Paramedical Sciences, College of Pharmacy, Erode, Tamil Nadu 638455

Photo
S. Kanishka Sre
Co-author

Shree Venkateshwar College of Paramedical Sciences, College of Pharmacy, Erode, Tamil Nadu 638455

Photo
K. Srinivasan
Co-author

Shree Venkateshwar College of Paramedical Sciences, College of Pharmacy, Erode, Tamil Nadu 638455

Photo
M. Subashini
Co-author

Shree Venkateshwar College of Paramedical Sciences, College of Pharmacy, Erode, Tamil Nadu 638455

Photo
B. Vishnu Ganesh Kumar
Co-author

Shree Venkateshwar College of Paramedical Sciences, College of Pharmacy, Erode, Tamil Nadu 638455

Photo
V. Dinesh
Co-author

Shree Venkateshwar College of Paramedical Sciences, College of Pharmacy, Erode, Tamil Nadu 638455

Photo
S. Jothika
Co-author

Shree Venkateshwar College of Paramedical Sciences, College of Pharmacy, Erode, Tamil Nadu 638455

Photo
S. Kolandhasamy
Co-author

Shree Venkateshwar College of Paramedical Sciences, College of Pharmacy, Erode, Tamil Nadu 638455

Photo
S. Suriya
Co-author

Shree Venkateshwar College of Paramedical Sciences, College of Pharmacy, Erode, Tamil Nadu 638455

Photo
S. S. Venkatrama Kishan
Co-author

Shree Venkateshwar College of Paramedical Sciences, College of Pharmacy, Erode, Tamil Nadu 638455

Mounika K, Dr. K. B. Ilango, S. Arumugam, S. Kanishka Sre, K. Srinivasan, M. Subashini, B. Vishnuganesh Kumar, V. Dinesh, S. Jothika, S. Kolandhasamy, S. Suriya, S. S. Venkatrama Kishan, A Comprehensive Review of Honey Bee Venom with Their Therapeutic Activity, Int. J. of Pharm. Sci., 2025, Vol 3, Issue 9, 1045-1057. https://doi.org/10.5281/zenodo.17086192

More related articles
Investigate Anti-Arthritic Activity Through Extrac...
Neha Choudhary, Pushpa Simaiya, B K Dubey, Deepak Kumar Basedia, ...
AI In Personalized Medicine and Digital Transforma...
Sejal Dalvi, Yash Kini , Sanam Mestry, Samali Raut, ...
Urolithiasis: Advances in Pathophysiology, Microbi...
Priyanka Patil, Naveen Maledavar, Kshitij Lele, Sneha Kakade, ...
Ocusert – A Pioneering Ocular Drug Delivery System for Sustained Therapeutic A...
Tejaswini Pakade, Gayatri Gaykee, Chetana Chaudhari, Samruddhi Kajulkar, G. K. Brahma, ...
Clinical Data Management: A Comprehensive Overview Of Methods And Workflow In Cl...
Akash Bhagwan Aher, Atharv Chagan Gadhe, Prashant Vilas Bhakare, Prof.Shweta Kahar, Prof.Kranti Pakh...
An Overview on the Pharmacological Properties of Ajuga Bracteosa...
Manjula Verma, Dr. Dev Prakash Dahiya, Anchal Sankhyan, Deeksha sharma, Taranpreet kaur, ...
Related Articles
Naphthalene: A Multidimensional Scaffold in Medicinal Chemistry with Promising A...
Shivam Yadav , Chetana Mayekar, Nikita Pagare, Alnaj Thange, Sonal Yadav, ...
Statistical Study on Daunorubicin...
CH. Bindusri, P. Gayatri Devi, Dr. Y. A. Chowdary, Y. V. Veerendranadh, ...
In-Silico Evaluation of Drug–Excipient Compatibility of Paracetamol 500 mg Ta...
Shreyash Shriram, Yogesh Wakade , Gururaj Swami, Hari Javanjal , Dr. Rahul Jadhav, ...
Investigate Anti-Arthritic Activity Through Extraction And Phytochemical Screeni...
Neha Choudhary, Pushpa Simaiya, B K Dubey, Deepak Kumar Basedia, ...
More related articles
Investigate Anti-Arthritic Activity Through Extraction And Phytochemical Screeni...
Neha Choudhary, Pushpa Simaiya, B K Dubey, Deepak Kumar Basedia, ...
AI In Personalized Medicine and Digital Transformation...
Sejal Dalvi, Yash Kini , Sanam Mestry, Samali Raut, ...
Urolithiasis: Advances in Pathophysiology, Microbiome Role, Immune Pathways, and...
Priyanka Patil, Naveen Maledavar, Kshitij Lele, Sneha Kakade, ...
Investigate Anti-Arthritic Activity Through Extraction And Phytochemical Screeni...
Neha Choudhary, Pushpa Simaiya, B K Dubey, Deepak Kumar Basedia, ...
AI In Personalized Medicine and Digital Transformation...
Sejal Dalvi, Yash Kini , Sanam Mestry, Samali Raut, ...
Urolithiasis: Advances in Pathophysiology, Microbiome Role, Immune Pathways, and...
Priyanka Patil, Naveen Maledavar, Kshitij Lele, Sneha Kakade, ...