View Article

Abstract

Modified drug delivery systems are advantageous than conventional drug delivery systems in providing prolonged release of drug, releasing drug at specific site of action, reducing side effects, and reducing frequency of dosing. Modified drug delivery systems include extended release systems, sustained release systems etc.1,2 Extended release systems are divided into several types in which matrix type is one. In matrix systems, several polymers are used to prolong the release rate of the drug. This article briefly depicts the polymers used in matrix systems for providing prolonged release rate of drug reducing side effects and providing optimum therapeutic action.

Keywords

matrix drug delivery systems, hydrophilic matrix systems, hydrophilic matrix polymers, hypromellose

Introduction

The delivery of drug at a predetermined rate, at specific site either locally or systemically, for a specified period of time is defined as Controlled Drug Delivery. Controlled drug delivery includes encapsulating of drug which is released at a predetermined rate for long period of time.1

Controlled drug release has been attempted to achieve by following classes:                                                                                                                                                                                                                                                                                        

  1. Diffusion controlled system:                                             
  1. Reservoir type
  2. Matrix type.

2. Dissolution controlled system

a. Reservoir type

b. Matix type

3. Ion-exchange resin-drug complexes.

4. pH dependent formulations.

5. Osmotic pressure controlled systems.

ADVANTAGES OF CONTROLLED DRUG DELIVERY:

1. Tailoring of drug release rates.

2. Protection of fragile drugs.

3. Increased patient compliance.

MODIFIED ORAL DOSAGE FORMS2 are the drug delivery systems where the drug release time or location or kinetics are modified distinct from immediate release drug delivery systems. This reduces the frequency of drug release, side effects associated with the drug molecule. The maintainance of effective drug concentration in the bloodstream is achieved through the modified drug delivery systems by reducing factors of unpredictable absorption and frequency of dosing.

TYPES OF MODIFIED DRUG DELIVERY SYSTEMS:

1. Delayed-Release (DR): Drug released at a time but not immediately. Generally used for protecting drug from acid of stomach.

2. Extended-Release (ER/XR/SR): Extends the release of drug which helps in reducing frequency of dosing. Extended release tablets optimize the therapeutic action, reduce side effects by releasing drug gradually upto 24 hours. This drug delivery systems maintain optimized drug concentration in the blood stream providing prolonged therapeutic action.

a. Matrix Systems: Drug is dispersed in polymeric matrix which helps in extending release of drug.

b. Membrane Controlled Systems: A special coating membrane extends the drug release.

c. Osmotic Pumps:  Osmotic pressure regulates the drug release at a constant rate.

d. Targeted-Release:  The drug is released at particular site either locally or systemically.

2. MATRIX SYSTEMS:

A matrix system is the system in which the drug is dispersed homogenously in polymeric matrix. The predominant use of matrix systems is to release the drugs at a predetermined rate at specific site which provide desired release profiles that achieve plasma therapeutic levels. In this type of drug delivery systems, the drug release depends on the properties of the polymer matrix.

Advantages of oral matrix systems:

  1. Dose dumping and side effects are reduces.
  2. Patient compliance.

Disadvantages of oral controlled release formulations:

  1. Expensive equipment is required.
  2. If the formulation is crushed, then the property of extended release is lost.
  3. TYPES OF MATRIX SYSTEMS:3

The matrix system can be divided into five categories depending on the types of retarding agents or polymeric materials:

1. Hydrophobic matrix system:  Hydrophobic polymers are generally made of waxes and used for highly soluble drugs.4

2. Hydrophilic matrix system: Hydrophilic polymers are those polymers which dissolve in, or are swollen by, water.

3. Fat-wax matrix system: A type of lipid based polymeric matrix system where the drug is incorporated in the fats or waxes.

4. Biodegradable matrix : The polymeric matrix where biodegradable polymers are used.

5. Mineral matrix: Inorganic components are used for encapsulating drug.

3.1 HYDROPHOBIC MATRIX POLYMERS:

The drug is mixed with inert or hydrophobic polymer. The drug is dispersed through network of channels which helps in prolonged release of drug.5

The hydrophobic polymers include:

1. Fatty acids, fatty esters: Ex: stearic acid etc.

2. Insoluble polymers: Ex: ammoniomethacrylate copolymers (Eudragit RL100, RS 100), ethyl cellulose etc.

3.2 HYDROPHILIC MATRIX POLYMERS:

Hydrophilic matrices do not undergo disintegration when delivered to patients, as the drug is entrapped in the polymeric network at the particulate level. Hydrophilic polymers are water soluble or swelling polymers which interact with water and swell then releases drug.3 Hydrophilic polymers are important polymers which are used in different applications like drug delivery, self-assembly, catalysis. Hydrophilic polymers possess important properties not only in dissolved state but also in cross linked state ex: hydrogels. Some polymers are not water soluble but are water swellable. Ex: poly (2-hydroxyethyl methacrylate).

The solubility of hydrophilic polymers depend on polymer type, molecular structure and concentration.4 Polymers undergo favourable interactions with water leading to swellabilty or solubility. Some polymers are hydrophilic on some stimuli response ex : Some polymers are hydrophilic at specific pH and hydrophobic at different pH. The prominent feature of hydrophilic polymers is its ability to interact with biomolecules. The hydrophilic polymers has polar groups in backbone of molecule prominently hydroxyl groups, carboxylic groups and amino groups. The interactions between water and the polymer leads  to solubility and swellability of polymer. The hydrophilic polymer matrix is a composite of drug and gelling agent.

 

Fig 1. Mechanism of hydrophobic and hydrophilic polymers.6

 

Hydrophilic and water-soluble polymers can be considered as three principal groups : 7

(a) Natural polymers: based on carbohydrates or proteins, usually of complex chemical structure

 (b) Semisynthetic polymers, mainly based on celluloses (from wood pulp, or cotton linters), which are reacted with functional chemicals of petrochemical origin

(c) Synthetic polymers, prepared by polymerization of monomers of petrochemical origin.

The solubility of polymers depend on the molecular structure of polymer (molecular chain length, amount of intermolecular crosslinking, number and polarity of side chains).

  1. MECHANISM OF DRUG DELIVERY:

There are three primary mechanisms for drug delivery.

  1. Diffusion-controlled release systems
  2. Swelling-controlled release systems
  3. Chemically controlled or biodegradable release systems

Diffusion is the mechanism in which the drug is released through chemical ports or due to the concentration gradient. 8,10Diffusion of drug to the external environment takes places through the pores present in the polymeric matrix. The drug has to travel long distance to release into the external environment thus gives prolonged release time. The polymer matrix doesnot change its size or its physical properties while releasing the drug. The polymer matrix is stable in the biological environment.

Swelling-controlled release systems release the drug by swelling of polymer. The swelling nature of polymer is due to the viscoelasticity of polymer.8,9,10The diffusion of drug from swellable polymer is due to fickian diffusion through the crosslinks in the polymer. The driving forces for the release of drug include

1. Water concentration gradient

2. Osmotic pressure

3. Polymer stress gradient

The polymer counterbalances the fickian diffusion force by hindering the release of embedded drug thus providing extended release of drug.

Chemically controlled or biodegradable release systems release the drug by continuously degrading the polymer through hydrolysis of polymer matrix.8,9,10 This results in the release of drug proportional to the surface area of the drug delivery system.          

  1.  POLYMERS USED IN MATRIX TABLETS:

Depending upon the desired drug profile and the physiological properties of drug, the polymer is used for matrix systems.

Polymers used for matrix tablets may be classified as11

 

Table 1.

POLYMER NAME

EXAMPLES

  1. Hydrogels:

 

a.Cross-linked polyvinyl alcohol (PVA).

b.Polyethylene oxide (PEO)

  1. Soluble polymers:

 

    1. Polyethylene glycol (PEG).
    2. Polyvinyl alcohol (PVA).
    3. Hydroxypropyl methylcellulose (HPMC).
  1. Biodegradable polymers:

 

    1. Polylactic acid (PLA).
    2. Polyglycolic acid (PGA).
    3. Polycaprolactone (PCL).
  1. Non-biodegradable polymers:

 

    1. Polyethylene vinyl acetate (PVA).
    2. Polydimethylsiloxane (PDS).
    3. Polyether urethane (PEU).
  1. Mucoadhesive polymers:

 

    1. Polycarbophil.
    2. Sodium Carboxymethylcellulose.
    3. Polyacrylic acid.
  1. Natural gums:

 

    1. Xanthan gum.
    2. Guar gum.:
    3. Karaya gum.

 

    1. HPMC/ HYPROMELLOSE:

Hydroxypropyl methylcellulose (HPMC), also called hypromellose, has a cellulosic backbone that is partly substituted with methoxy and hydroxypropoxy  groups. It has properties such as enzyme-resistant, water-soluble hydrophilic polymer that is stable over a pH range of 3.0–11.0.12 Hypromellose is an inactive ingredient used in different formulations like nasal , oral , ophthalmic, topical formulations. This polymer is approved by US Food and Drug Administration.  There are several commercial HPMC grades available. Based on the type of polymer and its viscosity of the polymer, it is used in different formulations for different use. 13The porosity and the release kinetics of the polymer interprets the behaviour of the HPMC based systems. Hypromellose is used to control the release of drug . Many commercial hypromelloses are identified by codes.            

 

 

Fig 2.structure of hypromellose

Hypromellose of different grades are used as coating agent, bioadhesive material, controlled release agent, dispersing agent, dissolution enhancer, emulsifying agent, film forming agent , foaming agent,  granulation agent, modified release agent, thickening agent etc.14 It is primarily used as tablet binder, in film coating and as matrix for use in extended release tablet formulation. Hypromellose is used as binder when it is in 2-5% w/w concentration.  High viscosity grades may be used to retard release of drugs from matrix at 10-18% w/w in tablets and capsules.  Liquid oral dosage forms( suspending and thickening agent) at 0.25-5.0% w/w concentrations. Depending on the viscosity grade, 2-20% w/w used for film coated tablets (Methocel Epremium LV series). Low viscosity hypromellose uses aqueous film coating, high viscosity uses organic solvent. Hypromellose is used as thickening agent to vehicle for eye drops and artificial tear solutions when used in 0.45-1.0% w/w concentration. Hypromellose commercially used in liquid nasal formulations in concentration of 0.1%.

 

 

 

Fig 3. Different grades of hypromellose

 

5.2 POLYETHYLENE OXIDE:

Polyethylene oxide is a homopolymer of ethylene oxide, chemically similar to polyethylene glycol. It has molecular weight as high as 100,000 to 7 million. It is commercially available as polyox which is water soluble. 15It posses characteristics like non-ionic, highly hydrophilic, swelling, thermoplastic. It is safe, non toxic, not absorbed throughout GIT.16

 

 

Fig4.structure of Polyethylene oxide

 

 

 

 

Fig 5. Grades of PEO

 

5.3 SODIUM CMC:

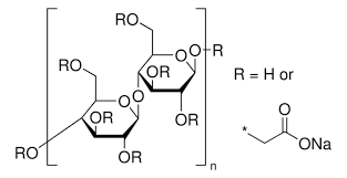
Carboxymethyl cellulose possess viscosity increasing nature. Viscous aqueous solutions are used to suspend powders for oral preparations. High concentrations, usually 4-6% of medium viscosity are used to produce gels. 12Three viscosity grades of sodium carboxy methyl cellulose (NaCMC), namely NaCMC (Blanose 7H 4XF), NaCMC (Courlose P 800), NaCMC (Courlose P 350) and HPMC were investigated for their ability to provide a sustained release of propranolol hydrochloride from matrices. The rank order of release rate, in the absence of HPMC, was NaCMC (Blanose).

 

 

 Fig 6. Structure of Sodium CMC

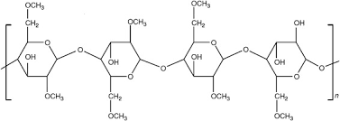
5.4 METHYL CELLULOSE:

Cellulose is the most abundant basic polymer which is modified resulting in polymers like methyl cellulose, hydroxyl propyl methyl cellulose, ethyl cellulose etc. It is a regular and linear polymer composed of (1→4) linked β-D-glucopyranosyl units. This particular β-(1→4) configuration together with intramolecular hydrogen bonds gives a rigid structure. 17

Methyl Cellulose is the simplest cellulose derivative, where methyl groups (–CH3) substitute the hydroxyls at C-2, C-3 and/or C-6 positions of anhydro-D-glucose units.

 

 

Fig 7. Structure of Methyl Cellulose

5.5 XANTHAN GUM:

Xanthan gum is non toxic, stable, compatible with other excipients. It possess good stability and viscosity properties over a wide range of pH and temperature range . xanthan gum is used to prepare matrix tablets to control the release of drug. In aqueous medium, the release rate kinetics follow zero order kinetics. The release rate is independent of preparation method and compression force. 12The release of drug from matrix depend on the swelling property of polymer and the type of drug incorporated. The swelling of matrix follows fickian diffusion and the drug release from the matrix follows non fickian diffusion.’

Controlled release matrix formulation of furosemide using different polymers such as XG, HPMC 4000 and NaCMC at different concentrations. The release kinetics were observed from invitro dissolution studies. The optimum drug extended release was observed when tablets prepared with 10% of XG, when compared with those prepared with 20% of HPMC 4000, or 60% of NaCMC.   

 

 

Fig 8.Structure of xanthan gum

POLYVINYL ALCOHOL:

PVA is a water-soluble, nontoxic, semicrystalline, biocompatible, and biodegradable polymer. Its high oxygen and aroma barrier properties, high tensile strength and flexibility, excellent film forming, emulsifying, and adhesive properties  made the wide application of polymer in different aspects like in controlled drug delivery.18 PVA is a linear polymer that can be divided into two parts, hydrophilic and hydrophobic. The hydroxyl groups in the hydrophilic part of polymer binds with the metallic surface .

 

 

Fig 9. Structure of PVA

CONCLUSION

Hydrophilic matrix systems are more versatile in controlling the release rate of drug to maintain optimum concentration in the blood stream. The polymers used in hydrophilic matrix are cost effective and efficient in controlling the release rate of drug. This technology of hydrophilic matrix system is widely utilized in controlled oral drug delivery systems due to their simplicity and high reproducibility.

REFERENCES

  1. Bhowmik, D., Gopinath, H., Kumar, B.P., Duraivel, S. and Kumar, K.S., 2012. Controlled release drug delivery systems. The pharma innovation1(10).
  2. Charman, S.A. and Charman, W.N., 2002. Oral modified-release delivery systems. Modified-release drug delivery technology1.
  3.  Lane, M. E. (2003). Modified-release drug delivery technology (Vol. 1). M. J. Rathbone, J. Hadgraft, & M. S. Roberts (Eds.). New York: Marcel Dekker.  
  4. Manish, J., & Abhay, K. (2012). Sustained release matrix type drug delivery system: a review. Journal of Drug Delivery & Therapeutics2(6), 142-148.            
  5. Khan, N. A., Khan, A., Ullah, R., Ullah, M., Alotaibi, A., Ullah, R., & Haider, A. (2022). Preparation and Characterization of Hydrophilic Polymer Based Sustained-Release Matrix Tablets of a High Dose Hydrophobic Drug. Polymers14(10), 1985. https://doi.org/10.3390/polym14101985
  6. Ghormade, J. M., Yadav, S. K., Burakle, P. V., Raut, A. S., Ghormade, J. M., & Yadav, S. K. (2023). The role of matrix tablet in controlled release drug delivery system. GSC Biological and Pharmaceutical Sciences23(1), 220-5.
  7. Ghormade, J. M., Yadav, S. K., Burakle, P. V., Raut, A. S., Ghormade, J. M., & Yadav, S. K. (2023). The role of matrix tablet in controlled release drug delivery system. GSC Biological and Pharmaceutical Sciences23(1), 220-5.
  8. Kumar, S., Kumar, A., Gupta, V., Malodia, K., & Rakha, P. (2012). Oral extended release drug delivery system: A promising approach. Asian J. Res. Pharm. Sci2(3), 101-106.
  9. Wani, M. S., Polshettiwar, S. A., Chopade, V. V., Joshi, R. N., Dehghan, M. H. G., Gadkari, A. A., ... & Mute, V. (2008). Controlled Release System A Review. Pharmaceutical Reviews6(1), 41-46.
  10. Ghori, M. U., & Conway, B. R. (2015). Hydrophilic matrices for oral control drug delivery. American Journal of Pharmacological Sciences3(5), 103-109.
  11. Mondal, N. I. T. A. (2018). The role of matrix tablet in drug delivery system. Int J App Pharm10(1), 1-6.
  12. Tadikonda Rama Rao (2024); HYDROPHILIC MATRIX TABLETS AS ORAL CONTROLLED DRUG DELIVERY SYSTEMS IN 20TH CENTURY: A REVIEW, Int. J. of Adv. Res. (Aug), ISSN 2320-5407. DOI URL: https://dx.doi.org/10.21474/IJAR01/19381
  13. Li, C. L., Martini, L. G., Ford, J. L., & Roberts, M. (2005). The use of hypromellose in oral drug delivery. Journal of pharmacy and pharmacology57(5), 533-546.
  14. https://adiyugatama.wordpress.com/wp-content/uploads/2012/03/handbook-of-pharmaceutical-excipients-6th-ed.pdf
  15. Hu, A., Chen, C., Mantle, M. D., Wolf, B., Gladden, L. F., Rajabi-Siahboomi, A., ... & Melia, C. D. (2017). The Properties of HPMC: PEO Extended Release Hydrophilic Matrices and their Response to Ionic Environments: Hu et al. Pharmaceutical research34(5), 941-956.
  16. Rane, M., Parmar, J., Tiwari, S., & Rajabi-Siahboomi, A. (2013). Application of polyethylene oxide in hydrophilic matrix tablets. Pharma Times45(3), 41-48.
  17. Nasatto, P. L., Pignon, F., Silveira, J. L., Duarte, M. E. R., Noseda, M. D., & Rinaudo, M. (2015). Methylcellulose, a cellulose derivative with original physical properties and extended applications. Polymers7(5), 777-803.
  18. Bercea, M. (2024). Recent advances in poly (vinyl alcohol)-based hydrogels. Polymers16(14), 2021.

Reference

  1. Bhowmik, D., Gopinath, H., Kumar, B.P., Duraivel, S. and Kumar, K.S., 2012. Controlled release drug delivery systems. The pharma innovation1(10).
  2. Charman, S.A. and Charman, W.N., 2002. Oral modified-release delivery systems. Modified-release drug delivery technology1.
  3.  Lane, M. E. (2003). Modified-release drug delivery technology (Vol. 1). M. J. Rathbone, J. Hadgraft, & M. S. Roberts (Eds.). New York: Marcel Dekker.  
  4. Manish, J., & Abhay, K. (2012). Sustained release matrix type drug delivery system: a review. Journal of Drug Delivery & Therapeutics2(6), 142-148.            
  5. Khan, N. A., Khan, A., Ullah, R., Ullah, M., Alotaibi, A., Ullah, R., & Haider, A. (2022). Preparation and Characterization of Hydrophilic Polymer Based Sustained-Release Matrix Tablets of a High Dose Hydrophobic Drug. Polymers14(10), 1985. https://doi.org/10.3390/polym14101985
  6. Ghormade, J. M., Yadav, S. K., Burakle, P. V., Raut, A. S., Ghormade, J. M., & Yadav, S. K. (2023). The role of matrix tablet in controlled release drug delivery system. GSC Biological and Pharmaceutical Sciences23(1), 220-5.
  7. Ghormade, J. M., Yadav, S. K., Burakle, P. V., Raut, A. S., Ghormade, J. M., & Yadav, S. K. (2023). The role of matrix tablet in controlled release drug delivery system. GSC Biological and Pharmaceutical Sciences23(1), 220-5.
  8. Kumar, S., Kumar, A., Gupta, V., Malodia, K., & Rakha, P. (2012). Oral extended release drug delivery system: A promising approach. Asian J. Res. Pharm. Sci2(3), 101-106.
  9. Wani, M. S., Polshettiwar, S. A., Chopade, V. V., Joshi, R. N., Dehghan, M. H. G., Gadkari, A. A., ... & Mute, V. (2008). Controlled Release System A Review. Pharmaceutical Reviews6(1), 41-46.
  10. Ghori, M. U., & Conway, B. R. (2015). Hydrophilic matrices for oral control drug delivery. American Journal of Pharmacological Sciences3(5), 103-109.
  11. Mondal, N. I. T. A. (2018). The role of matrix tablet in drug delivery system. Int J App Pharm10(1), 1-6.
  12. Tadikonda Rama Rao (2024); HYDROPHILIC MATRIX TABLETS AS ORAL CONTROLLED DRUG DELIVERY SYSTEMS IN 20TH CENTURY: A REVIEW, Int. J. of Adv. Res. (Aug), ISSN 2320-5407. DOI URL: https://dx.doi.org/10.21474/IJAR01/19381
  13. Li, C. L., Martini, L. G., Ford, J. L., & Roberts, M. (2005). The use of hypromellose in oral drug delivery. Journal of pharmacy and pharmacology57(5), 533-546.
  14. https://adiyugatama.wordpress.com/wp-content/uploads/2012/03/handbook-of-pharmaceutical-excipients-6th-ed.pdf
  15. Hu, A., Chen, C., Mantle, M. D., Wolf, B., Gladden, L. F., Rajabi-Siahboomi, A., ... & Melia, C. D. (2017). The Properties of HPMC: PEO Extended Release Hydrophilic Matrices and their Response to Ionic Environments: Hu et al. Pharmaceutical research34(5), 941-956.
  16. Rane, M., Parmar, J., Tiwari, S., & Rajabi-Siahboomi, A. (2013). Application of polyethylene oxide in hydrophilic matrix tablets. Pharma Times45(3), 41-48.
  17. Nasatto, P. L., Pignon, F., Silveira, J. L., Duarte, M. E. R., Noseda, M. D., & Rinaudo, M. (2015). Methylcellulose, a cellulose derivative with original physical properties and extended applications. Polymers7(5), 777-803.
  18. Bercea, M. (2024). Recent advances in poly (vinyl alcohol)-based hydrogels. Polymers16(14), 2021.

Photo
Soppari Sreeja
Corresponding author

Centre for Pharmaceutical Sciences, Jawaharlal Nehru Technological University, Kukatpally, Hyderabad,500085

Photo
Dr. K. Anie Vijetha
Co-author

Assistant Professor(C), Centre for Pharmaceutical Sciences, UCESTH, JNTUH

Photo
Dr. M. Sunitha Reddy
Co-author

Professor & Principal: JNTUH University College of Pharmaceutical Sciences, Sultanpur, Pulkal, Sanga Reddy JNTU-H, - 500085.

Soppari Sreeja, Dr. K. Anie Vijetha, Dr. M. Sunitha Reddy, A Review on Hydrophilic Matrix Polymers, Int. J. of Pharm. Sci., 2026, Vol 4, Issue 3, 1437-1444. https://doi.org/10.5281/zenodo.19001719

More related articles
Glutathione of Skin Lightening and Whitening Agent...
Vaishnavi Bore, Satish Lodhe, Dr. Shivshankar Mhaske, ...
Integrating Ayurvedic Medicinal System into Cancer...
Dr. S. Kusuma kumari, M. Sreya, Shaik shafiya, K. Mounika, N. Nav...
Stimuli-Responsive (Smart) Drug Delivery Systems: An In-Depth Review...
Rushikesh Kumbhar, Dr. Chandraprabhu Jangme , ...
Systems-Level Dissection of Post-Acute Sequelae of COVID-19: Integrative Multi-O...
Pratyush Mishra, Malarkodi Velraj, Geeta Rawat, Ritika Kalia, Isha Kapila, Somesh Thapliyal, Alka Mi...
Comprehensive Review On Pharmacological Activities Of Thespesia Populnea Soland ...
Chaithra K., Pallavi S., Preethu K., Rakshitha S., Sadaf Farooq, Sahana H. S., ...
Related Articles
Dual Drug-Loaded Microspheres: Design Strategies, Release Mechanisms, and Therap...
Bhuvaneswari. K, Kumara Guru. V, Sathish Kumar. D, Dhanalakshmi. P, ...
Exploring The Pharmacognostical Attributes Of Barleria Cristata: A Comprehensive...
Monisha T, Vijaya Bharathi R., Muthusamy P., Radha R., Senthilnathan S., Kaviyarasi M., ...
A Review on DNA Finger Printing Techniques in Identification of Drugs of Natural...
Pratiksha Fule, Priti Shinde, Dr. Vishal Babar, Dr. Sudarshan Nagrale, ...
Glutathione of Skin Lightening and Whitening Agents: A Comprehensive Review of M...
Vaishnavi Bore, Satish Lodhe, Dr. Shivshankar Mhaske, ...
More related articles
Glutathione of Skin Lightening and Whitening Agents: A Comprehensive Review of M...
Vaishnavi Bore, Satish Lodhe, Dr. Shivshankar Mhaske, ...
Integrating Ayurvedic Medicinal System into Cancer Treatment...
Dr. S. Kusuma kumari, M. Sreya, Shaik shafiya, K. Mounika, N. Navya sree, Bhattu Jhansi, U. Sunaina,...
Glutathione of Skin Lightening and Whitening Agents: A Comprehensive Review of M...
Vaishnavi Bore, Satish Lodhe, Dr. Shivshankar Mhaske, ...
Integrating Ayurvedic Medicinal System into Cancer Treatment...
Dr. S. Kusuma kumari, M. Sreya, Shaik shafiya, K. Mounika, N. Navya sree, Bhattu Jhansi, U. Sunaina,...