View Article

Abstract

Keratitis, is an inflammatory condition of the cornea often caused by viral infection such as Herpex Simplex Virus, poses a substantial impact on your therapy due to poor drug bioavailability and rapid tears clearance. Usually, eye drops are affected with poor ocular retention time and limited corneal penetration, reducing therapeutic efficacy. Advanced drug delivery system such as cubosomes and insitu gel rose as a breakthrough approach to overcome the limitations. Hydrophilic and hydrophobic and amphiphilic drug can be encapsulated into a lipid-based nanovesicle called cubosomes which offers targeted controlled release and protection against drug degradation. In cubosomal insitu-gel, the drug loaded cubosome are further incorporated into insitu gel which undergoes phase transition upon contact with ocular physiological triggers (pH, temperature and ions) enhance drug retention and patient compliance by transforming into a viscous gel in the eye which exhibits improved corneal permeation and sustained drug release compared to conventional formulation.

Keywords

Keratitis, Herpes Simplex Virus, Ocular drug delivery, Cubosome, Insitu gel.

Introduction

Keratitis is the inflammation of the cornea, particularly caused by the Herpes Simplex Virus (HSV) which led to vision impairment or even blindness if left untreated. 1-3 The worldwide occurrence of herpetic keratitis is estimated to be around 1.5 million cases annually, with approximately 40,000 of these leading to severe vision loss due to corneal scarring and clouding. 4-5A variety of risk factors contribute to the development of keratitis. Infectious causes include microorganisms such as bacteria, fungi, viruses, and amoebae, while non-infectious causes include mechanical trauma, chemical or ultraviolet exposure, and improper contact lens use. Notably, viral keratitis has been identified as a leading cause of corneal opacity, significantly contributing to visual morbidity worldwide.6Antiviral drugs like Acyclovir, Valacyclovir, Ganciclovir have been used treat keratitis.7-8

Acyclovir, a purine nucleoside analog, remains the first line antiviral agent for managing HSV induced keratitis.9 However, topical eye drops of Acyclovir is often hampered by poor corneal penetration, low bioavailability, and the need for frequent administration due to rapid precorneal drug loss.10-11The drug which is used to treat HSK which is marketed in the form of eye drops and ointments.4

To overcome these limitations, nanocarrier-based drug delivery systems have gained considerable attention.12 Cubosomes, nanostructured liquid crystalline particles formed from the self-assembly of certain lipids in water and stabilized by surfactants, offer promising advantages. They possess a high internal surface area, biocompatibility, and the capacity to encapsulate hydrophilic, lipophilic, and amphiphilic drugs.13-14 When incorporated into an in-situ gel system, cubosomes can further improve ocular residence time and provide controlled drug release, enhancing therapeutic efficacy while reducing dosing frequency³.

1.1 Anatomy of Eye15

The structure of eye can be divided into two main parts: anterior segment and posterior segment. The anterior segment of the eye consists of the cornea, conjunctiva, aqueous humor, iris, ciliary body, and lens. The posterior segment mainly consists of the vitreous humor, retina, choroid, and optic nerve.

1.2 Topical Ocular Drug Delivery: Challenges and Advances

Medications are often applied to the surface of the eye for two main purposes: to treat external ocular conditions such as conjunctivitis, blepharitis, and keratitis sicca, or to deliver drugs intraocularly through the cornea for diseases like glaucoma and uveitis.16

Topical administration to the anterior segment of the eye primarily utilizes conventional dosage forms, including solutions (62.4%), suspensions (8.7%), and ointments (17.4%), which together account for approximately 90% of marketed ophthalmic formulations. However, despite their widespread use, these forms suffer from poor ocular bioavailability—typically around 0.5%—largely due to rapid clearance from lacrimal secretions and limited permeability across the corneal epithelium.17

A key requirement for any ocular drug delivery system is the absence of adverse ocular reactions, along with a goal to enhance drug bioavailability.18 To address the limitations of conventional formulations, researchers have focused on two primary strategies:

  • Corneal residence time can be prolonged  through the use of viscosity enhancers, mucoadhesive agents, particulate systems, and in situ gelling formulations.
  • Corneal permeability can be improved via penetration enhancers, prodrug approaches, and colloidal carriers.19

Among these, lipid-based nanocarriers I ncluding emulsions, liposomes, cubosomes, and niosomes offer several promising advantages for ocular delivery. These systems can enhance the bioavailability of poorly soluble drugs, enable targeted and sustained release, and minimize systemic side effects. The eye’s residence volume is typically 7–10 µL, and most topically applied solutions are eliminated within 15–30 seconds. Lipid components in nanocarriers can interact with the lipid layer of the tear film, allowing the formulation to remain longer in the conjunctival sac and function as a drug reservoir.20

1.3 Different types of keratitis:

1.3.1 Herpes Simplex Keratitis

Herpes Simplex Keratitis is a viral keratitis and it is caused by HSV and it can begin with conjunctival inflammation. The symptoms include Chronic corneal inflammation, neovascularization, scarring, glaucoma, vision loss. It can be treated by using Antiviral drugs like Acyclovir, Valacyclovir and Ganciclovir. 21-22

1.3.2 Bacterial Keratitis:

Bacterial keratitis is caused by wearing contact lenses for too long or not keeping them clean and some other pathogens like Staphylococcus aureus, Pseudomonas aeruginosa, Streptococcus pneumoniae, etc.The eye may feel painful, red, watery, and sensitive to light. This can be  treated using  antibiotics like ciprofloxacin, moxifloxacin, Levofloxacin, etc. 23-24

1.3.3 Acanthamebo Keratitis:

It can be caused by Acanthamoeba species and some other factors include Minimal corneal trauma, soft contact lens use, exposure to contaminated water. It can provide symptoms are Severe pain, redness, photophobia, tearing and can be treated by using Combination of anti-amoebic agents. 25

1.3.4 Photokeratitis:

Photokeratitis can be developed by Excess UV exposure (sunlight, welding arcs, snow reflection, tanning lamps) and symptoms produced are Delayed pain, redness, tearing, foreign body sensation. This can be prevented by Supportive care: Lubricants, cold compresses, avoiding further UV exposure. 26

1.3.5 Interstitial Keratitis:

Interstitial keratitis is a non-ulcerating inflammation of the corneal stroma can be caused by Infections (syphilis, herpes), autoimmune diseases (e.g., rheumatoid arthritis) and it will produce symptoms are Corneal cloudiness, reduced vision, inflammation within corneal layers. Drugs which are used to treat interstitial keratitis are Antibiotics, antivirals, or immunosuppressants. 27-28

1.3.6 Fungal Keratitis:

Fungal keratitis (keratomycosis) is a fungal infection of the cornea can be developed by species like Fusarium, Aspergillus, Candida and climatic changes which will produce symptoms are Pain, redness, photophobia, corneal ulceration. It can be treated by Antifungals: Polyenes (Amphotericin B, Natamycin), Azoles.29-31

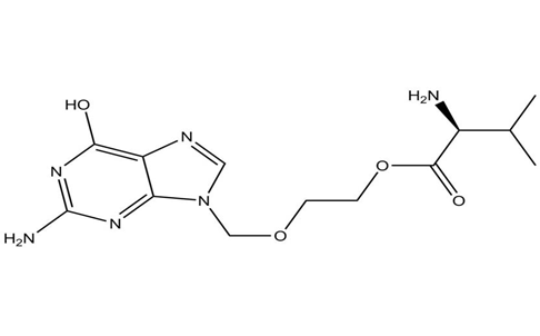
1.4 Acyclovir 32-33

Acyclovir (ACV), a 2-deoxy guanosine derivative, is an exemplified drug of choice against herpes simplex virus (HSV), varicella zoster virus (VZV), cytomegalovirus (CMV), Ep stein bar virus (EBV) and human herpes virus 6 (HHV-6). The structure of acyclovir is shown in figure 1.

Acyclovir is a new antiviral drug that acts as a specific inhibitor of herpesvirus DNA polymerase. It shows good in vitro activity against herpes simplex and varicella-zoster viruses. The drug may be administered topically to the skin, intravenously, orally, or topically to the eye.

Figure 1 : Structure of acyclovir

1.4.1 Mechanism Of Action:

Acyclovir undergoes initial activation when the viral enzyme thymidine kinase converts it into acyclovir monophosphate, a process that selectively targets virus-infected cells. Subsequently, cellular enzymes transform it into its active form, acyclovir triphosphate. This active metabolite competes with the natural nucleotide deoxyguanosine triphosphate and is incorporated into viral DNA. Because it lacks the essential 3’-OH group, its incorporation leads to premature termination of DNA synthesis, effectively blocking viral replication. This specific mechanism enables acyclovir to suppress viral proliferation while minimizing harm to healthy cells.34-35 The mechanism of action of acyclovir is illustrated in Figure 2 , demonstrating its selective activation in virus-infected cells and subsequent inhibition of viral DNA replication.

Figure 2 : Mechanism of Action of Acyclovir
This flowchart shows how acyclovir is activated by viral thymidine kinase and incorporated into viral DNA, causing premature chain termination and blocking viral replication.

1.5 Valacyclovir:

Valacyclovir is the l-valyl ester of ACV. It can be synthesized by the addition of an amino acid, L-valine, to the ACV molecule.36Valacyclovir was developed for  the treatment of infections caused by herpes viruses, including herpes simplex virus (HSV) and varicella-zoster virus (VZV).37 The structure of acyclovir shown in the figure 3.

Valaciclovir is an effective treatment for herpes simplex keratitis.40 It provides effective treatment then acyclovir.38 Its oral bioavailability 3- to 5-fold higher than when given as acyclovir.39

Figure 3 : Structure of Valacyclovir

1.5.1 Mechanism of action:41

Valacyclovir is a prodrug of acyclovir, meaning it is converted into acyclovir in the body to exert its antiviral effects.

1.6 Ganciclovir:

Ganciclovir is a synthetic nucleoside analogue of 2′-deoxyguanosine.43 It is an antiviral agent that is used to treat or cytomegalo virus (CMV) infections.42

Ganciclovir available in the form of 0.15% gel was more recently approved by the FDA in the United States for the topical treatment for herpes keratitis.44,45 Figure 4 shows the structure of ganciclovir.

Figure 4: Structure of Ganciclovir

1.6.1 Mechanism of Action:

Ganciclovir is first phosphorylated to ganciclovir monophosphate after entered into infected cell. This initial phosphorylation is catalyzed by virus-encoded enzymes: for cytomegalovirus (CMV), it is the UL97 protein kinase; for herpes simplex viruses (HSV), it is the viral thymidine kinase.46 Then the monophosphate is then converted to ganciclovir diphosphate and subsequently to ganciclovir triphosphate by host cellular kinases.47

Ganciclovir triphosphate acts as a competitive substrate for viral DNA polymerase specifically, it competes with deoxyguanosine triphosphate (dGTP) and is preferentially incorporated into viral DNA. Once incorporated it inhibits further DNA elongation. Inhibition of viral replication is finally occurred.48

2. Overview of Cubosomes and Their Role in Drug Delivery49-54

The term “cubosome” was first introduced by Larsson, inspired by the resemblance of their internal structure to cubic molecular crystals, a configuration that was definitively confirmed in 1967. Cubosomes are dispersed colloidal particles derived from cubic phase liquid crystals and have garnered considerable attention in pharmaceutical research due to their potential as controlled-release drug delivery systems.

Cubosomes possess the unique ability to self-assemble in aqueous environments, forming nanoparticles typically ranging from 100 to 500 nanometers in size. Their internal structure resembles a honeycomb-like lattice with interconnected aqueous channels, known as bicontinuous cubic phases, which are stabilized at specific water concentrations. This well-defined architecture provides a large internal surface area and an ordered network that is ideal for drug encapsulation and delivery.

Primarily composed of amphiphilic lipids such as monoolein and phytantriol, cubosomes can simultaneously encapsulate both hydrophilic and lipophilic drugs. Hydrophilic drugs are sequestered within the aqueous channels or vesicles inside the cubosome, while lipophilic drugs are distributed within the lipid bilayer domains. This dual capacity for encapsulating diverse drug molecules makes cubosomes versatile and promising carriers for enhancing drug bioavailability, targeting, and controlled release in various therapeutic applications.

The structure of cubosome  is illustrated in figure 

Figure 5 : Structure  of  Cubosome

This figure depicts the internal bicontinuous cubic phase structure of a cubosome, showing the honeycomb-like arrangement with interconnected aqueous channels. The amphiphilic lipids, such as monoolein and phytantriol, form the lipid bilayers that encapsulate hydrophilic drugs within the aqueous domains and lipophilic drugs within the lipid regions, enabling efficient drug delivery.

2.1 Components Of Cubosome

Table 1. Components of cubosomes along with  its structure.

Component

Description

Image

Amphiphilic Lipids

Glycerol Monooleate (GMO)

GMO is a glyceride of oleic acid and other fatty acids (C12–C22) that forms a cubic structure. It is biodegradable due to the ester bond and is classified as a Generally Regarded As Safe (GRAS) excipient 55.

 

 

Phytantriol

A polyhydroxy alcohol with three hydroxyl groups on one end and a long hydrocarbon chain on the other. It is stable in aqueous conditions because it lacks an ester bond 56

 

 

Monoelaidin

Contains a trans double bond at positions 9 and 10 (C18:19). Its self-assembled water system undergoes lamellar to nonlamellar phase transitions, making it a suitable model for studying membrane fusion processes in cells 57

.

 

 

Stabilizers

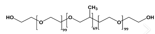
Pluronic F127

A self-assembling triblock copolymer composed of PEO-PPO-PEO blocks. PPO is hydrophobic and anchors to the particle surface, while PEO is hydrophilic and extends into the aqueous phase, providing steric or electrostatic stabilization 58.

 

 

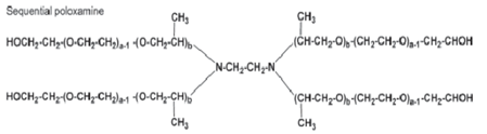
Poloxamine 908

Also known as Tetronic 908, it is a tetrafunctional PEG-PPO-ethylene diamine block copolymer used to stabilize cubosomal dispersions. 59-60

 

 

2.2 Preparation Of Cubosome:

Cubosomes can be prepared through various methods that utilize the unique self-assembling properties of amphiphilic lipids in aqueous environments. These methods aim to create stable nanostructured particles with internal cubic phase geometry, optimized for efficient drug delivery. The preparation techniques generally fall into two categories: top-down, which breaks down bulk cubic phases into nanoparticles using high energy, and bottom-up, which forms cubosomes from molecular precursors with minimal energy input. Additional advanced techniques such as fragmentation, thin film hydration, spray drying, and emulsification have also been developed to improve scalability, drug loading, and formulation stability

2.2.1 Top-down approach:61-63

The top-down approach is one of the most widely utilized techniques for the preparation of cubosomes. It involves two fundamental steps. Initially, a cubic phase gel is formed by blending cubosome-forming lipids, such as monoolein or phytantriol, with an appropriate stabilizer like Pluronic F127. This viscous gel represents the bulk cubic phase. Subsequently, high-energy dispersion techniques such as high-pressure homogenization or probe sonication are employed to fragment and disperse the bulk gel into nanoscale cubosomal particles in an aqueous medium. This method ensures the production of uniform, stable colloidal dispersions of cubosomes suitable for drug delivery applications.

2.2.2 Bottom-up approach:53

This approach, commonly known as the solvent dilution method, involves dispersing a mixture of cubosome-forming lipid, a stabilizer, and a hydrotrope into an excess of water. Upon dilution, the hydrotrope helps solubilize the lipid, allowing spontaneous self-assembly into cubosomes. This method requires minimal energy input and is suitable for temperature-sensitive drugs.

2.2.3 Fragmentation Method:64

In this method, glycerol monooleate and Poloxamer 407 are melted together at 60?°C in a hot water bath. The drug is then added and stirred until completely dissolved. Water is introduced dropwise with continuous vortex mixing to form a homogeneous solution. The resulting mixture undergoes probe sonication in cold water at 20?°C for 10 minutes, followed by high-pressure homogenization to yield a clear cubosomal dispersion.

2.2.4 Spray Drying:65-67

In the spray drying method, the lipid and stabilizer mixture is first dissolved in an organic solvent, commonly ethanol, although sometimes a mixture of solvents (binary solutions) is used. Meanwhile, a separate aqueous phase containing a hydrophilic solid carrier—such as sorbitol or dextran is prepared. These carriers help to stabilize the powder and improve its properties.The two mixtures are then combined to create a homogeneous solution. This mixture is atomized into fine droplets by spraying it into a chamber filled with hot air. The hot air causes rapid evaporation of the organic solvent from the droplets. As the solvent evaporates quickly, the lipid and carrier materials solidify, forming a dry powder composed of cubosomes.

This process allows the transformation of the lipid-surfactant solution into a dry, stable powder form, which is easier to handle, store, and transport. The use of hydrophilic carriers helps prevent clumping and enhances the dispersibility of the powder when it is later reconstituted. Spray drying is effective due to its speed and ability to produce powders with controlled particle size and morphology, making it suitable for pharmaceutical applications.

2.2.5 Emulsifying Method:68-69

In the emulsifying method, the lipids and stabilizers are melted together on a magnetic stirrer with a hot plate to form a molten mixture, which will become cubosomes. The drug substance is usually dissolved either in the aqueous phase or in ethanol that contains polyvinyl alcohol (PVA) or a surfactant, both of which help stabilize the final dispersion. Alternatively, the drug can be dispersed directly into the molten lipid-stabilizer mixture.

Once the lipid mixture is molten, it is injected into the pre-heated aqueous phase under continuous magnetic stirring. This mixture is then emulsified using a homogenizer, which helps create a stable dispersion of cubosomes by breaking down the lipid phase into fine particles within the aqueous medium. This process ensures efficient encapsulation of the drug and stable formation of cubosomes.

2.3 Advantages:70-71

  • They are able to encapsulate different drug molecules with hydrophilic, hydrophobic and amphiphilic properties.
  • Providing an optimistic approach for bioavailability enhancement for poorly-water soluble drugs.
  • They can be prepared by simple techniques
  • They are composed of biodegradable lipid
  • Protect the incorporated drug from physical and chemical degradation
  • The nanovesicles forming lipid (GMO) provide a permeation enhancer during cubosomes penetration through corneal and skin layers
  • They have high drug loads due to their high internal surface.
  • They render the bioactive drug molecules with targeted and controlled release.

2.4 Disadvantages:53,72

  • Scale-up of cubosomal production is difficult due to their complex phase behaviour and viscous properties.
  • Lipids offer mostly crystalline nature for the particles and allow them to incorporate the active moieties in low doses which may not lead to desired therapeutic effect.

3. Insitu Gel:73-77

Gel systems offer better retention in the eye compared to conventional eye drops and are generally better tolerated by patients than inserts and ointments. An ideal in situ gelling system should be a low-viscosity, free-flowing liquid to allow easy and reproducible administration as eye drops. After administration, it should quickly undergo a phase transition to form a gel that is strong enough to withstand the shear forces in the eye’s cul-de-sac, ensuring prolonged residence time.

In situ gel-forming systems start as liquid aqueous solutions before application and transform into gels under physiological conditions. These systems can be easily instilled as eye drops and gel immediately upon contact with the eye, improving drug retention and effectiveness. This process is illustrated in Figure .

Figure 6 : In Situ Gel Formation of Polymeric Aqueous Solution upon Ocular Administration

Schematic representation of a polymeric aqueous solution instilled as eye drops that undergoes a phase transition to form an in-situ gel upon contact with the eye. This gelation increases the retention time of the formulation in the ocular cul-de-sac by transforming from a free-flowing liquid to a viscous gel.

3.1 Types Of In Situ Gel-Forming Systems Based On Phase Transition Triggers

In situ gel-forming systems undergo a sol-to-gel phase transition upon contact with the eye, triggered by specific physiological conditions.

Depending on the mechanism that causes this transition, three main types of systems are widely accepted:

  1. pH-triggered systems
  2. Temperature-sensitive systems
  3. Ion-activated systems
  1. pH triggered in-situ gelation:

In pH-triggered in situ gelation, the polymer swells and forms a gel in response to changes in the external pH. For polymers containing weak acidic (anionic) groups, swelling occurs as the pH increases. 78Conversely, for polymers with weak basic (cationic) groups, swelling happens when the pH decreases. Most commonly used anionic pH-sensitive polymers are based on polyacrylic acid (PAA), such as Carbopol or carbomer, and their derivatives. When the pH shifts from around 4.2 to the physiological pH of 7.4, a sol-to-gel phase transition takes place due to ionization changes in the polymer structure.83

Examples of polymers used in pH-triggered systems include cellulose acetate phthalate, latex, carbopol, polymethacrylic acid, polyethylene glycol (PEG), and pseudo-latexes.84

  1. Temperature sensitive in-situ gel:

In pH-triggered in situ gelation, polymers swell and form gels in response to changes in external pH. Polymers with weak acidic (anionic) groups swell as the pH increases, while those with weak basic (cationic) groups swell when the pH decreases. The most commonly used anionic pH-sensitive polymers are based on polyacrylic acid (PAA), including Carbopol, carbomer, and their derivatives. A sol-to-gel transition occurs when the pH shifts from around 4.2 to the physiological pH of 7.4, driven by ionization changes in the polymer.79

Polymers frequently used in these systems include cellulose acetate phthalate, latex, carbopol, polymethacrylic acid, polyethylene glycol (PEG), and pseudo-latexes.85

  1. Ion Activated systems:80

Ion-activated in situ gels undergo a sol -to-gel phase transition triggered by the presence of ions in the surrounding environment. The formulation transforms from a liquid to a gel when exposed to an increase in ionic strength. For example, Gelrite, an anionic polysaccharide, forms a gel in the presence of mono- and divalent cations, particularly calcium ions (Ca²?). Other commonly used polymers in ion-activated systems include chitosan, gellan gum (Gelrite), and alginate.

3.2 Advantages:81

  1. Ease of administration.
  2. Improved patient compliance.
  3. Reduced dosing frequency.
  4. Site specificity and local action.
  5. Increased bioavailability.
  6. Sustained and prolonged release.
  7. It can also be administered to an unconscious patient.

3.3 Disadvantages:82

  1. Only small doses can be administered 
  2. Due to chemical degradation, there is a chance of instability.
  3. It may result in premature dissolution due to low mechanical strength.

CONCLUSION:

There are some challenges in the production of cubosomes, such as the complexity of large-scale manufacturing and the need for comprehensive long term safety studies. Therefore, strategies such as optimizing scalable manufacturing techniques exploring additional bio active compounds for incorporation under conducting extensive clinical trials to validate efficacy can be focused for the further research. Moreover, targeted Delivery and Controlled release profiles can be enhanced through the integration of multifunctional Stimuli response polymer and nanocarriers.

REFERENCES

  1. Cabrera?Aguas M, Khoo P, Watson SL. Infectious keratitis: a Review. Clinical & Experimental Ophthalmology [Internet]. 2022 Jun 3;50(5):543–62. Available from: https://onlinelibrary.wiley.com/doi/10.1111/ceo.14113
  2. Farooq AV, Shukla D. Herpes Simplex Epithelial and Stromal Keratitis: An Epidemiologic Update. Survey of ophthalmology [Internet]. 2012 Sep 1;57(5):448–62. Available from: https://www.ncbi.nlm.nih.gov/pmc/articles/PMC3652623/
  3. Chaloulis SK, Mousteris G, Tsaousis KT. Incidence and Risk Factors of Bilateral Herpetic Keratitis: 2022 Update. Tropical Medicine and Infectious Disease. 2022 Jun 7;7(6):92.
  4. Ahmad B, Bharat Gurnani, Patel BC. Herpes Simplex Keratitis [Internet]. Nih.gov. StatPearls Publishing; 2024. Available from: https://www.ncbi.nlm.nih.gov/sites/books/NBK545278/
  5. Zhu L, Zhu H. Ocular herpes: the pathophysiology, management and treatment of herpetic eye diseases. Virologica Sinica. 2014 Dec;29(6):327–42.
  6. Koganti R, Yadavalli T, Naqvi RA, Shukla D, Naqvi AR. Pathobiology and treatment of viral keratitis. Experimental Eye Research. 2021 Apr; 205:108483.
  7. Wilhelmus KR. Antiviral treatment and other therapeutic interventions for herpes simplex virus epithelial keratitis. Cochrane database of systematic reviews. 2010 Nov 29;
  8. Musa M, Ehimare Enaholo, Gladness Aluyi-Osa, George Nnamdi Atuanya, Spadea L, Salati C, et al. Herpes simplex keratitis: A brief clinical overview. World journal of virology [Internet]. 2024 Mar 25;13(1). Available from: https://www.ncbi.nlm.nih.gov/pmc/articles/PMC11008405/
  9. Suresh, Tullo. Herpes simplex keratitis : Indian Journal of Ophthalmology [Internet]. LWW. 2025 [cited 2025 Aug 1]. Available from: https://journals.lww.com/ijo/fulltext/1999/47030/herpes_simplex_keratitis.2.aspx?
  10. Khan S, Ali A, Singhavi D, Yeole P. Controlled Ocular Delivery of Acyclovir through Rate Controlling Ocular Insert of Eudragit: A Technical Note. AAPS PharmSciTech. 2008 Jan 25;9(1):169–73.
  11. Rajput A, Sharma P, Sharma R, Thakur S. Novel Topical Drug Delivery Systems in Ophthalmic Applications. IntechOpen eBooks. 2022 Dec 2;
  12. Seyfoddin A, Sherwin T, V. Patel D, N. McGhee C, D. Rupenthal I, A. Taylor J, et al. Ex vivo and In vivo Evaluation of Chitosan Coated Nanostructured Lipid Carriers for Ocular Delivery of Acyclovir. Current Drug Delivery. 2016 Aug 1;13(6):923–34.
  13. Karami Z, Hamidi M. Cubosomes: remarkable drug delivery potential. Drug Discovery Today. 2016 May;21(5):789–801.
  14. Khoshdooz S, Khoshdooz P, Bonyad R, Bonyad A, Sheidaei S, Nosrati R. Cubosomes-based hydrogels; A promising advancement for drug delivery. International journal of pharmaceutics [Internet]. 2025 Autumn;674:125510. Available from: https://pubmed.ncbi.nlm.nih.gov/40132766/
  15. Patel A. Ocular Drug Delivery systems: an Overview. World Journal of Pharmacology [Internet]. 2013;2(2):47. Available from: https://www.ncbi.nlm.nih.gov/pmc/articles/PMC4289909/
  16. Le Bourlais C, Acar L, Zia H, Sado PA, Needham T, Leverge R. Ophthalmic drug delivery systems—Recent advances. Progress in Retinal and Eye Research. 1998 Jan;17(1):33–58.
  17. Bachu R, Chowdhury P, Al-Saedi Z, Karla P, Boddu S. Ocular Drug Delivery Barriers—Role of Nanocarriers in the Treatment of Anterior Segment Ocular Diseases. Pharmaceutics. 2018 Feb 27;10(1):28.
  18. Gote V, Sikder S, Sicotte J, Pal D. Ocular Drug Delivery: Present Innovations and Future Challenges. Journal of Pharmacology and Experimental Therapeutics. 2019 May 9;370(3):602–24.
  19. Rupenthal ID, O’Rourke M. Ocular drug delivery—eye on innovation. Drug Delivery and Translational Research. 2016 Oct 20;6(6):631–3.
  20. Gan L, Wang J, Jiang M, Bartlett H, Ouyang D, Eperjesi F, et al. Recent advances in topical ophthalmic drug delivery with lipid-based nanocarriers. Drug Discovery Today. 2013 Mar;18(5-6):290–7.
  21. Labib BA, Chigbu DI. Clinical Management of Herpes Simplex Virus Keratitis. Diagnostics [Internet]. 2022 Oct 1;12(10):2368. Available from: https://www.mdpi.com/2075-4418/12/10/2368
  22. Tsatsos M, MacGregor C, Athanasiadis I, Moschos MM, Hossain P, Anderson D. Herpes simplex virus keratitis: an update of the pathogenesis and current treatment with oral and topical antiviral agents. Clinical & Experimental Ophthalmology. 2016 Jul 26;44(9):824–37.
  23. Schaefer F. Bacterial keratitis: a prospective clinical and microbiological study. British Journal of Ophthalmology [Internet]. 2001 Jul 1 [cited 2019 Sep 8];85(7):842–7. Available from: https://bjo.bmj.com/content/85/7/842
  24. Wong RLM, Gangwani RA, Yu LWH, Lai JSM. New Treatments for Bacterial Keratitis. Journal of Ophthalmology [Internet]. 2012;2012:1–7. Available from: https://www.hindawi.com/journals/joph/2012/831502/
  25. Auran JD, Starr MB, Jakobiec FA. Acanthamoeba Keratitis. 1987 Jan 1;6(1):2–26.
  26. Krueger RR, Sliney DH, Trokel SL. Photokeratitis From Subablative 193-Nanometer Excimer Laser Radiation. Journal of Refractive Surgery. 1992 Jul 1;8(4):274–9.
  27. Gauthier AS ., Noureddine S, Delbosc B. Interstitial keratitis diagnosis and treatment. Journal Français d’Ophtalmologie. 2019 Jun;42(6):e229–37.
  28. Feldman BH. Interstitial Keratitis - EyeWiki [Internet]. Eyewiki.org. 2023. Available from: https://eyewiki.org/Interstitial_Keratitis
  29. Tuli SS. Fungal keratitis. Clinical Ophthalmology (Auckland, NZ) [Internet]. 2011;5:275–9. Available from: https://www.ncbi.nlm.nih.gov/pmc/articles/PMC3065567/
  30. Ansari Z, Miller D, Galor A. Current Thoughts in Fungal Keratitis: Diagnosis and Treatment. Current Fungal Infection Reports. 2013 Jul 11;7(3):209–18.
  31. Laura Andreea Ghenciu, Alexandra Corina Faur, Sorin Lucian Bolintineanu, Madalina Casiana Salavat, Anca Laura Maghiari. Recent Advances in Diagnosis and Treatment Approaches in Fungal Keratitis: A Narrative Review. Microorganisms. 2024 Jan 13;12(1):161–1.
  32. Gnann JW, Barton NH, Whitley RJ. Acyclovir: mechanism of action, pharmacokinetics, safety and clinical applications. Pharmacotherapy [Internet]. 1983;3(5):275–83. Available from: https://www.ncbi.nlm.nih.gov/pubmed/6359082
  33. A.P. Fiddian, Brigden D, Yeo JM, Hickmott EA. Acyclovir: An update of the clinical applications of this antiherpes agent. Antiviral research. 1984 Jun 1;4(3):99–117.
  34. O?Brien JJ, Campoli-Richards DM. Acyclovir. Drugs. 1989 Mar;37(3):233–309.
  35. Reardon JE, Spector T. Acyclovir: Mechanism of Antiviral Action and Potentiation by Ribonucleotide Reductase Inhibitors. Advances in Pharmacology. 1991;1–27.
  36. Tsatsos M, MacGregor C, Athanasiadis I, Moschos MM, Hossain P, Anderson D. Herpes simplex virus keratitis: an update of the pathogenesis and current treatment with oral and topical antiviral agents. Clinical & Experimental Ophthalmology. 2016 Jul 26;44(9):824–37.
  37. Tyring Stephen K, Baker D, Snowden W. Valacyclovir for Herpes Simplex Virus Infection: Long?Term Safety and Sustained Efficacy after 20 Years’ Experience with Acyclovir. The Journal of Infectious Diseases. 2002 Oct 15;186(s1):S40–6.
  38. Perry CM, Faulds D. Valaciclovir. Drugs. 1996 Nov;52(5):754–72.
  39. Pouplin T, Pouplin JN, Van Toi P, Lindegardh N, Rogier van Doorn H, Hien TT, et al. Valacyclovir for Herpes Simplex Encephalitis. Antimicrobial Agents and Chemotherapy [Internet]. 2011 May 16;55(7):3624–6. Available from: https://www.ncbi.nlm.nih.gov/pmc/articles/PMC3122427/
  40. Neslihan Dilruba Koseoglu, Strauss BR, Hamrah P. Successful Management of Herpes Simplex Keratitis With Oral Valganciclovir in Patients Unresponsive or Allergic to Conventional Antiviral Therapy. Cornea. 2019 Mar 20;38(6):663–7.
  41. Kausar S, Said Khan F, Ishaq Mujeeb Ur Rehman M, Akram M, Riaz M, Rasool G, et al. A review: Mechanism of action of antiviral drugs. International Journal of Immunopathology and Pharmacology [Internet]. 2021 Mar 16;35. Available from: https://journals.sagepub.com/doi/full/10.1177/20587384211002621
  42. TABBARA K. Topical ganciclovir in the treatment of acute herpetic keratitis. Clinical Ophthalmology. 2010 Aug;905.
  43. Sahin A, Hamrah P. Acute Herpetic Keratitis: What is the Role for Ganciclovir Ophthalmic Gel? Ophthalmology and Eye Diseases [Internet]. 2012 Jan;4:OED.S7267. Available from: https://www.ncbi.nlm.nih.gov/pmc/articles/PMC3619435/
  44. Chou T, Hong B. Ganciclovir ophthalmic gel 0.15% for the treatment of acute herpetic keratitis: background, effectiveness, tolerability, safety, and future applications. Therapeutics and Clinical Risk Management. 2014 Aug;665.
  45. Kaufman HE, Haw WH. Ganciclovir Ophthalmic Gel 0.15%: Safety and Efficacy of a New Treatment for Herpes Simplex Keratitis. Current Eye Research. 2012 May 18;37(7):654–60.
  46. Chen H, Beardsley GP, Coen DM. Mechanism of ganciclovir-induced chain termination revealed by resistant viral polymerase mutants with reduced exonuclease activity. Proceedings of the National Academy of Sciences. 2014 Nov 24;111(49):17462–7.
  47. Matthews T, Boehme R. Antiviral Activity and Mechanism of Action of Ganciclovir. Clinical Infectious Diseases. 1988 Jul 1;10(Supplement_3):S490–4.
  48. Mondal D. Ganciclovir?. Reference Module in Biomedical Sciences [Internet]. 2016 [cited 2025 Aug 4]; Available from: https://www.sciencedirect.com/topics/pharmacology-toxicology-and-pharmaceutical-science/ganciclovir
  49. Amanda Santos Palma, Bruna Renata Casadei, Mayra Cristina Lotierzo, Dias R, Ramos L. A short review on the applicability and use of cubosomes as nanocarriers. Biophysical reviews. 2023 Aug 1;15(4):553–67.
  50. Han S, Shen J, Gan Y, Geng H, Zhang X, Zhu C, et al. Novel vehicle based on cubosomes for ophthalmic delivery of flurbiprofen with low irritancy and high bioavailability. Acta Pharmacologica Sinica. 2010 Aug;31(8):990–8.
  51. Mascarenhas M, Chaudhari P, Lewis SA. Natamycin Ocular Delivery: Challenges and Advancements in Ocular Therapeutics. Advances in Therapy [Internet]. 2023 Jun 8 [cited 2023 Sep 15];40(8):3332–59. Available from: https://www.ncbi.nlm.nih.gov/pmc/articles/PMC10329963/pdf/12325_2023_Article_2541.pdf
  52. Gaballa S, El Garhy O, Abdelkader H. Cubosomes: composition, preparation, and drug delivery applications. Journal of advanced Biomedical and Pharmaceutical Sciences [Internet]. 2019 Oct 23;0(0). Available from: https://jabps.journals.ekb.eg/article_54781_412e266000a903599d6b1e3f89f29696.pdf
  53. Oliveira C, Ferreira CJO, Sousa M, Paris JL, Gaspar R, Silva BFB, et al. A Versatile Nanocarrier—Cubosomes, Characterization, and Applications. Nanomaterials. 2022 Jun 29;12(13):2224.
  54. Morsi NM, Abdelbary GA, Ahmed MA. Silver sulfadiazine based cubosome hydrogels for topical treatment of burns: Development and in vitro/in vivo characterization. European Journal of Pharmaceutics and Biopharmaceutics. 2014 Feb;86(2):178–89.
  55. Singhal K, Kaushik N, Kumar A. Cubosomes: Versatile Nanosized Formulation for Efficient Delivery of Therapeutics. Current Drug Delivery. 2021 Jul 8;18.
  56. Wikipedia Contributors. Phytantriol [Internet]. Wikipedia. Wikimedia Foundation; 2025. Available from: https://en.wikipedia.org/wiki/Phytantriol?
  57. Anan Yaghmur, Laggner P, Almgren M, Rappolt M. Self-Assembly in Monoelaidin Aqueous Dispersions: Direct Vesicles to Cubosomes Transition. PloS one. 2008 Nov 18;3(11):e3747–7.
  58. Alamoudi JA, Almoshari Y, Alotaibi HF. Fabrication and Evaluation of Poloxamer Facilitated, Glyceryl Monooleate based 5-Fluorouracil Cubosomes. Indian Journal of Pharmaceutical Education and Research [Internet]. 2023 Dec 27 [cited 2025 May 18];58(1):91–8. Available from: https://archives.ijper.org/sites/default/files/IndJPhaEdRes-58-1-91.pdf
  59. Chong JYT, Mulet X, Boyd BJ, Drummond CJ. Steric Stabilizers for Cubic Phase Lyotropic Liquid Crystal Nanodispersions (Cubosomes). Deleted Journal. 2015 Jan 1;131–87.
  60. A. Gowri Nath, Dubey P, Kumar A, Vaiphei KK, Rosenholm JM, Bansal KK, et al. Recent Advances in the Use of Cubosomes as Drug Carriers with Special Emphasis on Topical Applications. Journal of Lipids. 2024 Jan 1;2024(1).
  61. Umar H, Wahab HA, Gazzali AM, Tahir H, Ahmad W. Cubosomes: Design, Development, and Tumor-Targeted Drug Delivery Applications. Polymers. 2022 Jan 1;14(15):3118.
  62. Leu J, Teoh JJX, Ling ALQ, Chong J, Yan Shan Loo, Mat D, et al. Recent Advances in the Development of Liquid Crystalline Nanoparticles as Drug Delivery Systems. Pharmaceutics. 2023 May 6;15(5):1421–1.
  63. kamble SN, Radhika Subhedar, Chougule NB. A Comprehensive Review On Cubosomes. International Journal of Pharmaceutical Sciences [Internet]. 2024 May 28 [cited 2025 Jun 25];02(05). Available from: https://www.ijpsjournal.com/article/A+Comprehensive+Review+On+Cubosomes#
  64. Peng X, Zhou Y, Han K, Qin L, Dian L, Li G, et al. Characterization of cubosomes as a targeted and sustained transdermal delivery system for capsaicin. Drug Design, Development and Therapy. 2015 Aug;4209.
  65. Nielsen LH, Rades T, Boyd B, Boisen A. Microcontainers as an oral delivery system for spray dried cubosomes containing ovalbumin. European Journal of Pharmaceutics and Biopharmaceutics. 2016 Dec 18;118:13–20.
  66. Surabhi Rashi, Singh D, Kumar Chanchal, Singh M, Anand S, Shashi Alok, et al. Cubosomes: A Bicontinuous cubic crystalline Phase. International Journal of Pharmaceutical Sciences and Research. 2015 Oct 1;1(10).
  67. Desai TB, Patil SB, Tipugade OB, Malavi SB. Cubosomes: The next generations of drug delivery in nanoparticles form. World Journal of Pharmaceutical Sciences [Internet]. 2021 [cited 2025 Aug 3];222–31. Available from: https://wjpsonline.com/index.php/wjps/article/view/126
  68. M. S, HARSHINI B, KUMARI PVK, RAO YS. REVIEW ON CUBOSOMES. International Journal of Current Pharmaceutical Research. 2021 Nov 15;37–42.
  69. Iqbal S, Zaman M, Muhammad Ahsan Waqar, Hafiz Shoaib Sarwar, Muhammad Jamshaid. Vesicular approach of cubosomes, its components, preparation techniques, evaluation and their appraisal for targeting cancer cells. Journal of liposome research. 2023 Oct 24;1–17.
  70. Almoshari Y. Development, Therapeutic Evaluation and Theranostic Applications of Cubosomes on Cancers: An Updated Review. Pharmaceutics. 2022 Mar 9;14(3):600.
  71. Prabahar K, Alanazi Z, Qushawy M. Targeted Drug Delivery System: Advantages, Carriers and Strategies. Indian Journal of Pharmaceutical Education and Research [Internet]. 2021 May 17 [cited 2021 Dec 30];55(2):346–53. Available from: https://www.ijper.org/sites/default/files/IndJPhaEdRes-55-2-346.pdf
  72. Bei D, Zhang T, Murowchick JB, Youan BBC. Formulation of dacarbazine-loaded cubosomes. Part III. Physicochemical characterization. AAPS PharmSciTech [Internet]. 2010 Sep 1 [cited 2023 Apr 20];11(3):1243–9. Available from: https://pubmed.ncbi.nlm.nih.gov/20694534/
  73. Edsman K, Carlfors J, Petersson R. Rheological evaluation of poloxamer as an in situ gel for ophthalmic use. European Journal of Pharmaceutical Sciences [Internet]. 1998 Apr 1;6(2):105–12. Available from: https://www.sciencedirect.com/science/article/pii/S0928098797000754
  74. Sheshala R, Kok Y, Ng J, Thakur R, Dua K. In Situ Gelling Ophthalmic Drug Delivery System: An Overview and Its Applications. Recent Patents on Drug Delivery & Formulation. 2015 Sep 14;9(3):242–53.
  75. Deka M, Ahmed AB. Development, Evaluation and Characteristics of Opthalmic in-situ Gel system: A Review. International Journal of Current Pharmaceutical Research. 2019 Jul 16;11(4):47–53.
  76. Patil S, Kadam A, Bandgar S, Patil S. Formulation and evaluation of an in situ gel for ocular drug delivery of anticonjunctival drug. Cellul. Chem. Technol. 2015 Jan 1;49(1):35-40.
  77. Mohan EC, Kandukuri JM, Allenki V. Preparation and evaluation of in-situ-gels for ocular drug delivery. J pharm Res. 2009 Jun 2;2(6):1089-94.
  78. Mitan R, Gokulgandhi Jolly R, Parikh MB, Dharmesh MM. A pH triggered in-situ gel forming ophthalmic drug delivery system for tropicamide. Drug Deliv Technol. 2007;5:44-9.
  79. Gupta H, Jain S, Mathur R, Mishra P, Mishra AK, Velpandian T. Sustained ocular drug delivery from a temperature and pH triggered novel in situ gel system. Drug delivery [Internet]. 2007;14(8):507–15. Available from: https://www.ncbi.nlm.nih.gov/pubmed/18027180
  80. Kurniawansyah IS, Rusdiana TA, Wahab HA, Subarnas AN. In situ ophthalmic gel with ion activated system. Int J App Pharm. 2019;11(4):15-8.
  81. D RD, M A. In-situ Gelling System-Potential Tool for Improving Therapeutic Effects of Drugs. Google.com. Ramya Devi.D; 2013.
  82. Kumbhar AB. In Situ Gel Forming Injectable Drug Delivery System. IJPSR . 2013 Jan 23; Vol. 4(Issue 2).
  83. H.B. N, S.R. B. In-Situ gel: New Trends in Controlled and Sustained Drug Delivery System [Internet]. Google.com. Nirmal.H.B.; 2010 [cited 2025 May 12].
  84. Kumar S, Himmelstein KJ. Modification of in Situ Gelling Behavior of Carbopol Solutions by Hydroxypropyl Methylcellulose. Journal of Pharmaceutical Sciences. 1995 Mar;84(3):344–8.
  85. Cappello J, Crissman JW, Crissman M, Ferrari FA, Textor G, Wallis O, et al. In-situ self-assembling protein polymer gel systems for administration, delivery, and release of drugs. Journal of Controlled Release. 1998 Apr;53(1-3):105–17.

Reference

  1. Cabrera?Aguas M, Khoo P, Watson SL. Infectious keratitis: a Review. Clinical & Experimental Ophthalmology [Internet]. 2022 Jun 3;50(5):543–62. Available from: https://onlinelibrary.wiley.com/doi/10.1111/ceo.14113
  2. Farooq AV, Shukla D. Herpes Simplex Epithelial and Stromal Keratitis: An Epidemiologic Update. Survey of ophthalmology [Internet]. 2012 Sep 1;57(5):448–62. Available from: https://www.ncbi.nlm.nih.gov/pmc/articles/PMC3652623/
  3. Chaloulis SK, Mousteris G, Tsaousis KT. Incidence and Risk Factors of Bilateral Herpetic Keratitis: 2022 Update. Tropical Medicine and Infectious Disease. 2022 Jun 7;7(6):92.
  4. Ahmad B, Bharat Gurnani, Patel BC. Herpes Simplex Keratitis [Internet]. Nih.gov. StatPearls Publishing; 2024. Available from: https://www.ncbi.nlm.nih.gov/sites/books/NBK545278/
  5. Zhu L, Zhu H. Ocular herpes: the pathophysiology, management and treatment of herpetic eye diseases. Virologica Sinica. 2014 Dec;29(6):327–42.
  6. Koganti R, Yadavalli T, Naqvi RA, Shukla D, Naqvi AR. Pathobiology and treatment of viral keratitis. Experimental Eye Research. 2021 Apr; 205:108483.
  7. Wilhelmus KR. Antiviral treatment and other therapeutic interventions for herpes simplex virus epithelial keratitis. Cochrane database of systematic reviews. 2010 Nov 29;
  8. Musa M, Ehimare Enaholo, Gladness Aluyi-Osa, George Nnamdi Atuanya, Spadea L, Salati C, et al. Herpes simplex keratitis: A brief clinical overview. World journal of virology [Internet]. 2024 Mar 25;13(1). Available from: https://www.ncbi.nlm.nih.gov/pmc/articles/PMC11008405/
  9. Suresh, Tullo. Herpes simplex keratitis : Indian Journal of Ophthalmology [Internet]. LWW. 2025 [cited 2025 Aug 1]. Available from: https://journals.lww.com/ijo/fulltext/1999/47030/herpes_simplex_keratitis.2.aspx?
  10. Khan S, Ali A, Singhavi D, Yeole P. Controlled Ocular Delivery of Acyclovir through Rate Controlling Ocular Insert of Eudragit: A Technical Note. AAPS PharmSciTech. 2008 Jan 25;9(1):169–73.
  11. Rajput A, Sharma P, Sharma R, Thakur S. Novel Topical Drug Delivery Systems in Ophthalmic Applications. IntechOpen eBooks. 2022 Dec 2;
  12. Seyfoddin A, Sherwin T, V. Patel D, N. McGhee C, D. Rupenthal I, A. Taylor J, et al. Ex vivo and In vivo Evaluation of Chitosan Coated Nanostructured Lipid Carriers for Ocular Delivery of Acyclovir. Current Drug Delivery. 2016 Aug 1;13(6):923–34.
  13. Karami Z, Hamidi M. Cubosomes: remarkable drug delivery potential. Drug Discovery Today. 2016 May;21(5):789–801.
  14. Khoshdooz S, Khoshdooz P, Bonyad R, Bonyad A, Sheidaei S, Nosrati R. Cubosomes-based hydrogels; A promising advancement for drug delivery. International journal of pharmaceutics [Internet]. 2025 Autumn;674:125510. Available from: https://pubmed.ncbi.nlm.nih.gov/40132766/
  15. Patel A. Ocular Drug Delivery systems: an Overview. World Journal of Pharmacology [Internet]. 2013;2(2):47. Available from: https://www.ncbi.nlm.nih.gov/pmc/articles/PMC4289909/
  16. Le Bourlais C, Acar L, Zia H, Sado PA, Needham T, Leverge R. Ophthalmic drug delivery systems—Recent advances. Progress in Retinal and Eye Research. 1998 Jan;17(1):33–58.
  17. Bachu R, Chowdhury P, Al-Saedi Z, Karla P, Boddu S. Ocular Drug Delivery Barriers—Role of Nanocarriers in the Treatment of Anterior Segment Ocular Diseases. Pharmaceutics. 2018 Feb 27;10(1):28.
  18. Gote V, Sikder S, Sicotte J, Pal D. Ocular Drug Delivery: Present Innovations and Future Challenges. Journal of Pharmacology and Experimental Therapeutics. 2019 May 9;370(3):602–24.
  19. Rupenthal ID, O’Rourke M. Ocular drug delivery—eye on innovation. Drug Delivery and Translational Research. 2016 Oct 20;6(6):631–3.
  20. Gan L, Wang J, Jiang M, Bartlett H, Ouyang D, Eperjesi F, et al. Recent advances in topical ophthalmic drug delivery with lipid-based nanocarriers. Drug Discovery Today. 2013 Mar;18(5-6):290–7.
  21. Labib BA, Chigbu DI. Clinical Management of Herpes Simplex Virus Keratitis. Diagnostics [Internet]. 2022 Oct 1;12(10):2368. Available from: https://www.mdpi.com/2075-4418/12/10/2368
  22. Tsatsos M, MacGregor C, Athanasiadis I, Moschos MM, Hossain P, Anderson D. Herpes simplex virus keratitis: an update of the pathogenesis and current treatment with oral and topical antiviral agents. Clinical & Experimental Ophthalmology. 2016 Jul 26;44(9):824–37.
  23. Schaefer F. Bacterial keratitis: a prospective clinical and microbiological study. British Journal of Ophthalmology [Internet]. 2001 Jul 1 [cited 2019 Sep 8];85(7):842–7. Available from: https://bjo.bmj.com/content/85/7/842
  24. Wong RLM, Gangwani RA, Yu LWH, Lai JSM. New Treatments for Bacterial Keratitis. Journal of Ophthalmology [Internet]. 2012;2012:1–7. Available from: https://www.hindawi.com/journals/joph/2012/831502/
  25. Auran JD, Starr MB, Jakobiec FA. Acanthamoeba Keratitis. 1987 Jan 1;6(1):2–26.
  26. Krueger RR, Sliney DH, Trokel SL. Photokeratitis From Subablative 193-Nanometer Excimer Laser Radiation. Journal of Refractive Surgery. 1992 Jul 1;8(4):274–9.
  27. Gauthier AS ., Noureddine S, Delbosc B. Interstitial keratitis diagnosis and treatment. Journal Français d’Ophtalmologie. 2019 Jun;42(6):e229–37.
  28. Feldman BH. Interstitial Keratitis - EyeWiki [Internet]. Eyewiki.org. 2023. Available from: https://eyewiki.org/Interstitial_Keratitis
  29. Tuli SS. Fungal keratitis. Clinical Ophthalmology (Auckland, NZ) [Internet]. 2011;5:275–9. Available from: https://www.ncbi.nlm.nih.gov/pmc/articles/PMC3065567/
  30. Ansari Z, Miller D, Galor A. Current Thoughts in Fungal Keratitis: Diagnosis and Treatment. Current Fungal Infection Reports. 2013 Jul 11;7(3):209–18.
  31. Laura Andreea Ghenciu, Alexandra Corina Faur, Sorin Lucian Bolintineanu, Madalina Casiana Salavat, Anca Laura Maghiari. Recent Advances in Diagnosis and Treatment Approaches in Fungal Keratitis: A Narrative Review. Microorganisms. 2024 Jan 13;12(1):161–1.
  32. Gnann JW, Barton NH, Whitley RJ. Acyclovir: mechanism of action, pharmacokinetics, safety and clinical applications. Pharmacotherapy [Internet]. 1983;3(5):275–83. Available from: https://www.ncbi.nlm.nih.gov/pubmed/6359082
  33. A.P. Fiddian, Brigden D, Yeo JM, Hickmott EA. Acyclovir: An update of the clinical applications of this antiherpes agent. Antiviral research. 1984 Jun 1;4(3):99–117.
  34. O?Brien JJ, Campoli-Richards DM. Acyclovir. Drugs. 1989 Mar;37(3):233–309.
  35. Reardon JE, Spector T. Acyclovir: Mechanism of Antiviral Action and Potentiation by Ribonucleotide Reductase Inhibitors. Advances in Pharmacology. 1991;1–27.
  36. Tsatsos M, MacGregor C, Athanasiadis I, Moschos MM, Hossain P, Anderson D. Herpes simplex virus keratitis: an update of the pathogenesis and current treatment with oral and topical antiviral agents. Clinical & Experimental Ophthalmology. 2016 Jul 26;44(9):824–37.
  37. Tyring Stephen K, Baker D, Snowden W. Valacyclovir for Herpes Simplex Virus Infection: Long?Term Safety and Sustained Efficacy after 20 Years’ Experience with Acyclovir. The Journal of Infectious Diseases. 2002 Oct 15;186(s1):S40–6.
  38. Perry CM, Faulds D. Valaciclovir. Drugs. 1996 Nov;52(5):754–72.
  39. Pouplin T, Pouplin JN, Van Toi P, Lindegardh N, Rogier van Doorn H, Hien TT, et al. Valacyclovir for Herpes Simplex Encephalitis. Antimicrobial Agents and Chemotherapy [Internet]. 2011 May 16;55(7):3624–6. Available from: https://www.ncbi.nlm.nih.gov/pmc/articles/PMC3122427/
  40. Neslihan Dilruba Koseoglu, Strauss BR, Hamrah P. Successful Management of Herpes Simplex Keratitis With Oral Valganciclovir in Patients Unresponsive or Allergic to Conventional Antiviral Therapy. Cornea. 2019 Mar 20;38(6):663–7.
  41. Kausar S, Said Khan F, Ishaq Mujeeb Ur Rehman M, Akram M, Riaz M, Rasool G, et al. A review: Mechanism of action of antiviral drugs. International Journal of Immunopathology and Pharmacology [Internet]. 2021 Mar 16;35. Available from: https://journals.sagepub.com/doi/full/10.1177/20587384211002621
  42. TABBARA K. Topical ganciclovir in the treatment of acute herpetic keratitis. Clinical Ophthalmology. 2010 Aug;905.
  43. Sahin A, Hamrah P. Acute Herpetic Keratitis: What is the Role for Ganciclovir Ophthalmic Gel? Ophthalmology and Eye Diseases [Internet]. 2012 Jan;4:OED.S7267. Available from: https://www.ncbi.nlm.nih.gov/pmc/articles/PMC3619435/
  44. Chou T, Hong B. Ganciclovir ophthalmic gel 0.15% for the treatment of acute herpetic keratitis: background, effectiveness, tolerability, safety, and future applications. Therapeutics and Clinical Risk Management. 2014 Aug;665.
  45. Kaufman HE, Haw WH. Ganciclovir Ophthalmic Gel 0.15%: Safety and Efficacy of a New Treatment for Herpes Simplex Keratitis. Current Eye Research. 2012 May 18;37(7):654–60.
  46. Chen H, Beardsley GP, Coen DM. Mechanism of ganciclovir-induced chain termination revealed by resistant viral polymerase mutants with reduced exonuclease activity. Proceedings of the National Academy of Sciences. 2014 Nov 24;111(49):17462–7.
  47. Matthews T, Boehme R. Antiviral Activity and Mechanism of Action of Ganciclovir. Clinical Infectious Diseases. 1988 Jul 1;10(Supplement_3):S490–4.
  48. Mondal D. Ganciclovir?. Reference Module in Biomedical Sciences [Internet]. 2016 [cited 2025 Aug 4]; Available from: https://www.sciencedirect.com/topics/pharmacology-toxicology-and-pharmaceutical-science/ganciclovir
  49. Amanda Santos Palma, Bruna Renata Casadei, Mayra Cristina Lotierzo, Dias R, Ramos L. A short review on the applicability and use of cubosomes as nanocarriers. Biophysical reviews. 2023 Aug 1;15(4):553–67.
  50. Han S, Shen J, Gan Y, Geng H, Zhang X, Zhu C, et al. Novel vehicle based on cubosomes for ophthalmic delivery of flurbiprofen with low irritancy and high bioavailability. Acta Pharmacologica Sinica. 2010 Aug;31(8):990–8.
  51. Mascarenhas M, Chaudhari P, Lewis SA. Natamycin Ocular Delivery: Challenges and Advancements in Ocular Therapeutics. Advances in Therapy [Internet]. 2023 Jun 8 [cited 2023 Sep 15];40(8):3332–59. Available from: https://www.ncbi.nlm.nih.gov/pmc/articles/PMC10329963/pdf/12325_2023_Article_2541.pdf
  52. Gaballa S, El Garhy O, Abdelkader H. Cubosomes: composition, preparation, and drug delivery applications. Journal of advanced Biomedical and Pharmaceutical Sciences [Internet]. 2019 Oct 23;0(0). Available from: https://jabps.journals.ekb.eg/article_54781_412e266000a903599d6b1e3f89f29696.pdf
  53. Oliveira C, Ferreira CJO, Sousa M, Paris JL, Gaspar R, Silva BFB, et al. A Versatile Nanocarrier—Cubosomes, Characterization, and Applications. Nanomaterials. 2022 Jun 29;12(13):2224.
  54. Morsi NM, Abdelbary GA, Ahmed MA. Silver sulfadiazine based cubosome hydrogels for topical treatment of burns: Development and in vitro/in vivo characterization. European Journal of Pharmaceutics and Biopharmaceutics. 2014 Feb;86(2):178–89.
  55. Singhal K, Kaushik N, Kumar A. Cubosomes: Versatile Nanosized Formulation for Efficient Delivery of Therapeutics. Current Drug Delivery. 2021 Jul 8;18.
  56. Wikipedia Contributors. Phytantriol [Internet]. Wikipedia. Wikimedia Foundation; 2025. Available from: https://en.wikipedia.org/wiki/Phytantriol?
  57. Anan Yaghmur, Laggner P, Almgren M, Rappolt M. Self-Assembly in Monoelaidin Aqueous Dispersions: Direct Vesicles to Cubosomes Transition. PloS one. 2008 Nov 18;3(11):e3747–7.
  58. Alamoudi JA, Almoshari Y, Alotaibi HF. Fabrication and Evaluation of Poloxamer Facilitated, Glyceryl Monooleate based 5-Fluorouracil Cubosomes. Indian Journal of Pharmaceutical Education and Research [Internet]. 2023 Dec 27 [cited 2025 May 18];58(1):91–8. Available from: https://archives.ijper.org/sites/default/files/IndJPhaEdRes-58-1-91.pdf
  59. Chong JYT, Mulet X, Boyd BJ, Drummond CJ. Steric Stabilizers for Cubic Phase Lyotropic Liquid Crystal Nanodispersions (Cubosomes). Deleted Journal. 2015 Jan 1;131–87.
  60. A. Gowri Nath, Dubey P, Kumar A, Vaiphei KK, Rosenholm JM, Bansal KK, et al. Recent Advances in the Use of Cubosomes as Drug Carriers with Special Emphasis on Topical Applications. Journal of Lipids. 2024 Jan 1;2024(1).
  61. Umar H, Wahab HA, Gazzali AM, Tahir H, Ahmad W. Cubosomes: Design, Development, and Tumor-Targeted Drug Delivery Applications. Polymers. 2022 Jan 1;14(15):3118.
  62. Leu J, Teoh JJX, Ling ALQ, Chong J, Yan Shan Loo, Mat D, et al. Recent Advances in the Development of Liquid Crystalline Nanoparticles as Drug Delivery Systems. Pharmaceutics. 2023 May 6;15(5):1421–1.
  63. kamble SN, Radhika Subhedar, Chougule NB. A Comprehensive Review On Cubosomes. International Journal of Pharmaceutical Sciences [Internet]. 2024 May 28 [cited 2025 Jun 25];02(05). Available from: https://www.ijpsjournal.com/article/A+Comprehensive+Review+On+Cubosomes#
  64. Peng X, Zhou Y, Han K, Qin L, Dian L, Li G, et al. Characterization of cubosomes as a targeted and sustained transdermal delivery system for capsaicin. Drug Design, Development and Therapy. 2015 Aug;4209.
  65. Nielsen LH, Rades T, Boyd B, Boisen A. Microcontainers as an oral delivery system for spray dried cubosomes containing ovalbumin. European Journal of Pharmaceutics and Biopharmaceutics. 2016 Dec 18;118:13–20.
  66. Surabhi Rashi, Singh D, Kumar Chanchal, Singh M, Anand S, Shashi Alok, et al. Cubosomes: A Bicontinuous cubic crystalline Phase. International Journal of Pharmaceutical Sciences and Research. 2015 Oct 1;1(10).
  67. Desai TB, Patil SB, Tipugade OB, Malavi SB. Cubosomes: The next generations of drug delivery in nanoparticles form. World Journal of Pharmaceutical Sciences [Internet]. 2021 [cited 2025 Aug 3];222–31. Available from: https://wjpsonline.com/index.php/wjps/article/view/126
  68. M. S, HARSHINI B, KUMARI PVK, RAO YS. REVIEW ON CUBOSOMES. International Journal of Current Pharmaceutical Research. 2021 Nov 15;37–42.
  69. Iqbal S, Zaman M, Muhammad Ahsan Waqar, Hafiz Shoaib Sarwar, Muhammad Jamshaid. Vesicular approach of cubosomes, its components, preparation techniques, evaluation and their appraisal for targeting cancer cells. Journal of liposome research. 2023 Oct 24;1–17.
  70. Almoshari Y. Development, Therapeutic Evaluation and Theranostic Applications of Cubosomes on Cancers: An Updated Review. Pharmaceutics. 2022 Mar 9;14(3):600.
  71. Prabahar K, Alanazi Z, Qushawy M. Targeted Drug Delivery System: Advantages, Carriers and Strategies. Indian Journal of Pharmaceutical Education and Research [Internet]. 2021 May 17 [cited 2021 Dec 30];55(2):346–53. Available from: https://www.ijper.org/sites/default/files/IndJPhaEdRes-55-2-346.pdf
  72. Bei D, Zhang T, Murowchick JB, Youan BBC. Formulation of dacarbazine-loaded cubosomes. Part III. Physicochemical characterization. AAPS PharmSciTech [Internet]. 2010 Sep 1 [cited 2023 Apr 20];11(3):1243–9. Available from: https://pubmed.ncbi.nlm.nih.gov/20694534/
  73. Edsman K, Carlfors J, Petersson R. Rheological evaluation of poloxamer as an in situ gel for ophthalmic use. European Journal of Pharmaceutical Sciences [Internet]. 1998 Apr 1;6(2):105–12. Available from: https://www.sciencedirect.com/science/article/pii/S0928098797000754
  74. Sheshala R, Kok Y, Ng J, Thakur R, Dua K. In Situ Gelling Ophthalmic Drug Delivery System: An Overview and Its Applications. Recent Patents on Drug Delivery & Formulation. 2015 Sep 14;9(3):242–53.
  75. Deka M, Ahmed AB. Development, Evaluation and Characteristics of Opthalmic in-situ Gel system: A Review. International Journal of Current Pharmaceutical Research. 2019 Jul 16;11(4):47–53.
  76. Patil S, Kadam A, Bandgar S, Patil S. Formulation and evaluation of an in situ gel for ocular drug delivery of anticonjunctival drug. Cellul. Chem. Technol. 2015 Jan 1;49(1):35-40.
  77. Mohan EC, Kandukuri JM, Allenki V. Preparation and evaluation of in-situ-gels for ocular drug delivery. J pharm Res. 2009 Jun 2;2(6):1089-94.
  78. Mitan R, Gokulgandhi Jolly R, Parikh MB, Dharmesh MM. A pH triggered in-situ gel forming ophthalmic drug delivery system for tropicamide. Drug Deliv Technol. 2007;5:44-9.
  79. Gupta H, Jain S, Mathur R, Mishra P, Mishra AK, Velpandian T. Sustained ocular drug delivery from a temperature and pH triggered novel in situ gel system. Drug delivery [Internet]. 2007;14(8):507–15. Available from: https://www.ncbi.nlm.nih.gov/pubmed/18027180
  80. Kurniawansyah IS, Rusdiana TA, Wahab HA, Subarnas AN. In situ ophthalmic gel with ion activated system. Int J App Pharm. 2019;11(4):15-8.
  81. D RD, M A. In-situ Gelling System-Potential Tool for Improving Therapeutic Effects of Drugs. Google.com. Ramya Devi.D; 2013.
  82. Kumbhar AB. In Situ Gel Forming Injectable Drug Delivery System. IJPSR . 2013 Jan 23; Vol. 4(Issue 2).
  83. H.B. N, S.R. B. In-Situ gel: New Trends in Controlled and Sustained Drug Delivery System [Internet]. Google.com. Nirmal.H.B.; 2010 [cited 2025 May 12].
  84. Kumar S, Himmelstein KJ. Modification of in Situ Gelling Behavior of Carbopol Solutions by Hydroxypropyl Methylcellulose. Journal of Pharmaceutical Sciences. 1995 Mar;84(3):344–8.
  85. Cappello J, Crissman JW, Crissman M, Ferrari FA, Textor G, Wallis O, et al. In-situ self-assembling protein polymer gel systems for administration, delivery, and release of drugs. Journal of Controlled Release. 1998 Apr;53(1-3):105–17.

Photo
Manojkumar Kathiravan
Corresponding author

Department of Pharmaceutics, K. K. College of Pharmacy

Photo
Shanthy Arumugam
Co-author

Department of Pharmaceutics, K. K. College of Pharmacy

Photo
Meena Ramaswamy
Co-author

K. K. College of Pharmacy

Manojkumar Kathiravan, Shanthy Arumugam, Meena Ramaswamy, An Overview of Keratitis and Its Treatment with Antiviral Cubosomal Insitu Gel, Int. J. of Pharm. Sci., 2025, Vol 3, Issue 9, 2628-2642. https://doi.org/10.5281/zenodo.17182813

More related articles
Development, Optimization and Validation of Analyt...
S. M. Sandhya, Anju A., Aparna R. V., Gouriga V. N., Shaiju S. Dh...
To Formulate and Evaluate Herbal Anti-Dandruff and...
Tushar Shingade , Anuja J. Katkar, Smita Patil , Arundhati Ghadge...
Managing Urinary Tract Infections In Pregnant Wome...
Jeena Susan Saji , Arun C, Arya Krishna , Banupriya D, Bhuvaneshw...
Related Articles
Formulation And Evaluation of Mouth Dissolving Film of Losartan Potassium...
Devesh Kolte, Tejashree Kuwlekar, Shravani Lokhande, Aishwarya Manthal, Shivani Mhasal, Akash Nalawa...
Complications And Adverse Drug Reaction Occurrence in Human Immunodeficiency Vir...
Pari K., Thaslim Ridhwana Barakath Ali , Lavina Mary J., Naveen Kumar M., ...
The Surge in Cardiovascular Diseases Post-COVID: Prevalence and Incidence Insigh...
Haritha Babu Mm, Prya, Sharanya S., Sharadhi S., Dr. M. Mallikarjuna Gowda, Dr. Satish S., ...
Understanding the Knowledge, Attitude and Awareness of the Public Towards Liver ...
Dr. R S Meghasri, Akshitha K P, Umme Salma, Hima P M, Sanjay Pattar, Tejas Kumar V, ...
Development, Optimization and Validation of Analytical Procedures for The Simult...
S. M. Sandhya, Anju A., Aparna R. V., Gouriga V. N., Shaiju S. Dharan, ...
More related articles
Development, Optimization and Validation of Analytical Procedures for The Simult...
S. M. Sandhya, Anju A., Aparna R. V., Gouriga V. N., Shaiju S. Dharan, ...
To Formulate and Evaluate Herbal Anti-Dandruff and Scalp Soothing Shampoo...
Tushar Shingade , Anuja J. Katkar, Smita Patil , Arundhati Ghadge , Shubham Kumbhar , Sachin Karche ...
Managing Urinary Tract Infections In Pregnant Women: Pathogens, Risks, And Antib...
Jeena Susan Saji , Arun C, Arya Krishna , Banupriya D, Bhuvaneshwari C, C Povindhar , ...
Development, Optimization and Validation of Analytical Procedures for The Simult...
S. M. Sandhya, Anju A., Aparna R. V., Gouriga V. N., Shaiju S. Dharan, ...
To Formulate and Evaluate Herbal Anti-Dandruff and Scalp Soothing Shampoo...
Tushar Shingade , Anuja J. Katkar, Smita Patil , Arundhati Ghadge , Shubham Kumbhar , Sachin Karche ...
Managing Urinary Tract Infections In Pregnant Women: Pathogens, Risks, And Antib...
Jeena Susan Saji , Arun C, Arya Krishna , Banupriya D, Bhuvaneshwari C, C Povindhar , ...