View Article

  • Analytical Methods Development and Validation for Estimation of Fimasartan Potassium Trihydrate

  • Sardar Patel College of Pharmacy, Bakrol, Anand, Gujarat, 388315 India.

Abstract

A straightforward, rapid, sensitive, precise, and specific UV spectrophotometric method was developed and validated for the determination of Fimasartan Potassium Trihydrate in active pharmaceutical ingredients. The method employed a double-beam UV spectrophotometer and was evaluated for various parameters, including Linearity, Precision, Repeatability, And Accuracy, in accordance with ICH guidelines. The absorption of Fimasartan Potassium Trihydrate was measured at a maximum wavelength of 265 nm in Methanol as the reference medium. The drug followed Lambert-Beer’s law within a concentration range of 5-25 ?g/mL, with a correlation coefficient of 0.998. This proposed method is accurate, precise, reproducible, and suitable for routine analysis of isoniazid in active pharmaceutical ingredients. Fimasartan Potassium Trihydrate UV spectrophotometry.

Keywords

Fimasartan, UV-Visible Method Development & Validation

Introduction

Hypertensive heart disease refers to heart conditions caused by high blood pressure. A number of different heart disorders are caused by the heart working under increased Pressure. Hypertensive heart disease includes heart failure, thickening of the heart muscle, coronary artery disease, and other conditions.

Mainly two types:

1) Primary Hypertension: A disorder of unknown origin affecting the blood pressure regulating mechanism.

2) Secondary Hypertension: Secondary to other disease processes environmental factors, Stress, High sodium intake, Obesity and Smoking

Management Of Hypertension:

  • Beta Adrenergic blockers: Propranolol, Metoprolol, Atenolol
  • Alpha beta-Adrenergic blockers: Carvedilol sodium, Labetalol
  • Alpha Adrenergic blockers: Prazosin, Terazosin
  • Vasodilators: Minoxidil
  • Angiotensin Renin inhibitors: Telmisartan, Olmesartan. Valsartan
  • Angiotensin Converting enzyme inhibitors: Fosinopril, Lisinopril, Captopril
  • Angiotensin II Receptor Antagonists: Irbesartan, Valsartan, Losartan, Fimasartan and Candesartan.
  • Diuretics: Hydrochlorthiazide, Thiazide
  • Calcium Channel Blockers: Clinidipine, Telodipine

Drug Profile of Fimasartan Potassium Trihydrate [1-7]

Table 1 Drug profile of Fimasartan Potassium Trihydrate

Name

Fimasartan Potassium Trihydrate

Synonym

Fimasartan Potassium Trihydrate

Structure

 

 

 

 

IUPAC Name

2-[2-butyl-4-methyl-6-oxo-1-[[4-[2-(2H-tetrazol-5-yl) phenyl] phenyl]methyl]pyrimidin-5-yl]-N,N-dimethylethanethioamide

Molecular Formula

C27H31N7OS

Molecular Weight

501.6 g/mol

CAS Number

247257-48-3

Wavelength

265 nm

Physicochemical Properties

Appearance

White to Off-White Solid

Solubility

Freely soluble in methanol and dimethyl sulfoxide (DMSO), sparingly soluble in water, slightly soluble in acetone and acetonitrile.

Melting Point

155 ?  C -157 ? C

pKa Value

pKa (Strongest Acidic) = 4.23, (Strongest Basic)= 1.34

Log P

4.09

Pharmacokinetics of Fimasartan Potassium Trihydrate

Absorption

The majority of the Fimasartan Potassium Trihydrate dose (67.8%) was predicted to be absorbed in the duodenum and small intestine. The results indicated that 10.9% of the orally administered Fimasartan Potassium Trihydrate was absorbed in the stomach and the remaining 89.1% arrived at the duodenum where 27.1% was absorbed.

Distribution

Volume of Distribution is not available

Protein binding

95%

Metabolism

>90%

Half-life

The half life of elimination is 7-10 h

Elimination

After oral administration of radio labeled Fimasartan Potassium Trihydrate approximately half of the absorbed dose is excreted in the urine and the remainder is excreted in the feces.

Pharmacological & Therapeutical Properties

Therapeutic Category

Angiotensin II Receptor Antagonist

Mechanism of action

Angiotensin II activates AR1 leading to vasoconstriction and increased noradrenaline release which further increases vasoconstriction via action at α1-adrenergic receptors. It also stimulates secretion of aldosterone which acts to increase sodium and water reabsorption in the renal tubules. Fimasartan Potassium Trihydrate bind to and antagonizes AR1 preventing vasoconstriction and reducing aldosterone secretion to increase natriuresis leading to a reduction in blood volume. Together these effects produce an anti-hypertensive effect.

Dosage

60 to 120 mg per day

Therapeutic Use

For the treatment of hypertension and heart Failure

Adverse effect

Dizziness, Headache, Abdominal Pain, Nausea, Palpitation, Fatigue, Diarrhea, and Coughing

Storage

Store in a cool and dry place away from sunlight

CDSCO approval of Fimasartan Potassium Trihydrate: 22 November 2018

Official In: European Pharmacopeia and Japanese Pharmacopeia

MATERIALS AND METHODS

MATERIALS

  • Fimasartan potassium trihydrate
  • Methanol and All other chemicals used were of analytical reagent grade.

Instrumentation

UV Spectrophotometric method was performed on Shimadzu UV Visible double beam (1800) spectroscopy. UV Probe software was used for all absorbance measurements.

Identification By Melting Point Determination:

Melting point of Fimasartan potassium trihydrate determined by open capillary method using Melting point apparatus in which the drug was filled in the capillary tubes and were kept in the Melting point apparatus which shows the melting range of Fimasartan potassium trihydrate. Repeat the method for three times consequently and report the result. The Reported Melting point and Observed Melting point of Fimasartan potassium trihydrate showed in Table 2.

Table 2: Melting point of Fimasartan potassium trihydrate

Sr. no.

Drug

Observed melting point

1

Fimasartan potassium trihydrate

155 ? C -158 ? C

Identification By Solubility Determination:

The Solubility study of Fimasartan potassium trihydrate  were determined by taking 10 mg of  drug in 10 ml of volumetric flask separately, and add the required quantity of solvent for complete solubility. Observe the solubility. The solubility of Fimasartan potassium trihydrate  was showed in Table 3.

Table 3: Solubility of Fimasartan Potassium trihydrate

Solvent

Fimasartan potassium trihydrate

Water

Sparingly Soluble

Methanol

Freely Soluble

Acetone

Slightly Soluble

Acetonitrile

Slightly Soluble

Identification By IR Spectral Determination:

  1. Fimasartan potassium trihydrate:
  • IR spectra of drug was obtained by IR Spectrophotometer. Required quantities of drugs were kept directly in the sample in the sample compartment of IR and they were scanned in the range 400-4000 cm-1. IR spectra of drug was interpreted.
  • Interpretation data of Fimasartan potassium trihydrate was mentioned in Table 4.

Figure 1: Fimasartan potassium trihydrate Sample IR spectra of API

Table 4: Interpretation of IR Spectra of Fimasartan potassium trihydrate [8]

Sr. no.

Functional group

Characteristic

Observed frequency

(cm-1)

1

C=S

1140.6

2

N-H

3324.8

3

N=N

2150.7

4

C=C

1647.5

5

C-C

1006.4

6

C-H (Aliphatic)

2955.8

7

C-N

1267.3

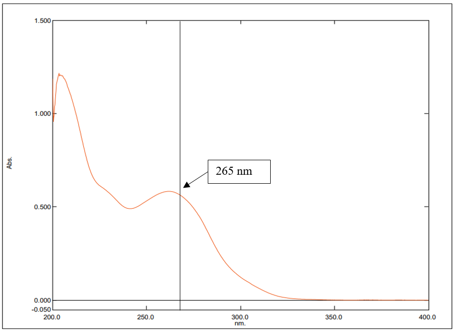
Identification By UV Spectrophotometric Method:

  • Take 1 ml of Fimasartan potassium trihydrate from the standard stock solution of 100 µg/ml respectively to prepare 10 µg /ml of Fimasartan potassium trihydrate  respectively, Observe absorbance by UV Spectrophotometric method.
  • UV Spectra of Fimasartan potassium trihydrate showed in Figure 2 and Observed and Reported Wavelength mentioned in Table 5.

Table 5: Wavelength of Fimasartan potassium trihydrate

Drug name

Observed Wavelength (Methanol)

Reported Wavelength (Methanol)[12]

Fimasartan potassium trihydrate

265 nm

265 nm

Figure 2: UV Spectrum of Fimasartan potassium trihydrate (10 ug/ml) at  265 nm

Preparation of standard stock Solution:

Fimasartan potassium trihydrate:

Preparation of standard stock solution of Fimasartan potassium trihydrate (100 µg/ml): Weighted accurately 10 mg of Fimasartan Potassium trihydrate and transferred it into a 100 ml volumetric flask and dissolved with methanol and diluted up to the mark to obtain a standard stock solution (100 µg/ml).

Procedure for determination of wavelength for measurement:

1 ml of working standard stock solution of Fimasartan potassium trihydrate (100 µg/ml) were pipette out in 10 ml volumetric flask and volume was adjusted to the mark with methanol to get 10 µg/ml of  Fimasartan potassium trihydrate

Each solution was scanned between 200-400 nm against Methanol as a reagent blank.  Wavelengths were selected from the overlay spectra of Fimasartan potassium trihydrate

Preparation of calibration curves:

Calibration Curve for Fimasartan Potassium trihydrate (5-25 µg/ml):

An Aliquots of stock solution of Fimasartan potassium trihydrate (100 µg/ml) 0.5, 1.0, 1.5, 2.0 and 2.5 ml was pipette out in 5 different 10 ml volumetric flask and made up to mark with methanol which will give 5, 10, 15, 20 and 25 µg/ml respectively.

Absorbance of each solution was measured at 265 nm using methanol as blank. Graph of Absorbance vs. Concentration was plotted.

Method Validation [9]

Linearity & Range (n=6)

The linearity of Fimasartan potassium trihydrate was taken to be in the range of 5-25 µg/ml respectively. Calibration curve of absorbance vs concentration was plotted and from that slop, intercept, correlation coefficient and regression line equation for Fimasartan potassium trihydrate was constructed.  Linearity data for Fimasartan potassium trihydrate at 265 nm are recorded.

Precision:

The precision of an analytical procedure expresses the closeness of agreement (degree of scatter) between a series of measurements obtained from multiple sampling of the same homogeneous sample under the prescribed conditions. Precision may be considered at three levels: Intermediate (Intraday) precision, reproducibility (Interday precision), repeatability.

Intraday precision (n=3)

Solution containing Fimasartan potassium trihydrate 5, 10 and 15 µg/ml were analyzed three times on the same day and % RSD was Calculated.

Interday precision (n=3):

Solution containing 5, 10 and 15 µg/ml of Fimasartan potassium trihydrate were analyzed three different successive days and % RSD was Calculated.

Repeatability (n=6):

Solution containing 10 µg/ml of Fimasartan potassium trihydrate were analyzed for six times and % RSD was calculated. RSD was not more than 2%.

Accuracy (n=3):

The accuracy of an analytical procedure expresses the closeness of agreement between the value which is accepted either as a conventional true value or an accepted reference value and the value found. Accuracy of the developed method was confirmed by doing recovery study as per ICH guideline at three different conclusion levels 50 %, 100 % and 150 % and the values were measured at all wavelengths for Fimasartan potassium trihydrate .

Limit of Detection (LOD):

Limit of Detection can be calculated using following equations as per ICH guidelines.

LOD = 3.3 × (σ /S)

Where, sigma = standard deviation of the Y intercept of Calibration curve

S = Mean slope of the corresponding Calibration Curve.

Limit of Quantification (LOQ):

Limit if Quantification can be calculated using following equations as per ICH guideline.

LOQ = 10 × (σ/S)

Where, sigma = standard deviation of the Y intercept of Calibration curve

S = Mean slope of the corresponding calibration curve.

RESULTS AND DISCUSSION:

Selection of Wavelength for Fimasartan Potassium Trihydrate

To determine the wavelength for measurement, Fimasartan Potassium trihydrate (10 µg/ml ) solutions were scanned between 400 – 200 nm. Absorbance maxima were obtained at their Wavelength max 265 nm for Fimasartan potassium trihydrate, respectively. There Wavelength was used for all measurement (Figure 3).

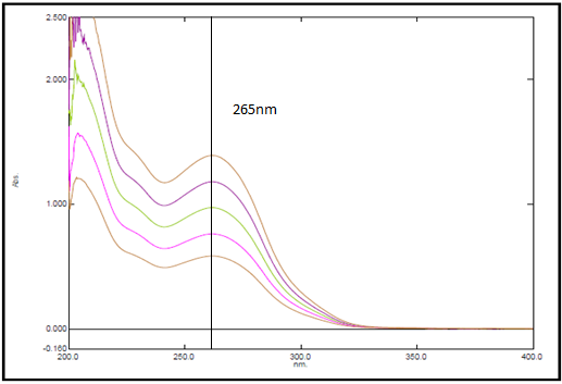
Figure 3: Linearity spectra for Fimasartan potassium trihydrate (5-25 µg/ml) at 265 nm in Methanol

Linearity Of Fimasartan Potassium Trihydrate:

  • The linearity of Fimasartan potassium trihydrate was taken to be in the concentration range of 5-25 µg/ml, respectively (Linearity spectra of Fimasartan potassium trihydrate  fig.3).
  • The % RSD of Fimasartan potassium trihydrate at 265 nm was found to be 0.49%-0.78% , respectively. (Table 6).
  • The calibration curves of Fimasartan potassium trihydrate 265 nm showed in fig. 4 and found R2 value 0.9998 , respectively.

Table 6: Linearity of Fimasartan Potassium trihydrate at 265 nm

Conc. (µg/ml)

Mean Absorbance ± Standard Deviation (n=6)

% Relative Standard Deviation

Abs. ± S.D.

%RSD

05

0.569 ± 0.0044

0.78

10

0.771 ± 0.0045

0.59

15

0.971 ± 0.0048

0.49

20

1.172 ± 0.0067

0.57

25

1.392 ± 0.0083

0.59

Calibration curve for Fimasartan Potassium trihydrate

Figure 4: Calibration curve for Fimasartan Potassium trihydrate at 265 nm in Methanol

Precision Of Fimasartan Potassium Trihydrate:

  • The % RSD of Fimasartan potassium trihydrate for Intraday precision at 265 nm was found to be 0.31% - 0.45% , respectively.
  • The % RSD of Fimasartan potassium trihydrate for Interday precision at 265 nm was found to be 0.72%-1.18%, respectively.
  • The % RSD of Fimasartan potassium trihydrate for Repeatability at 265 nm was found to be 1.32% respectively.
  • The Precision data for Intraday, Interday and Repeatability of Fimasartan Potassium trihydrate showed in Table 7 respectively.

Table 7: Precision study of Fimasartan potassium trihydrate at 265 nm

Conc. (µg/ml)

Mean Absorbance ± SD (n=3)

% RSD

265nm

 

5

0.566 ± 0.0020

0.35

10

0.771 ± 0.0035

0.45

15

0.975 ± 0.0030

0.31

Conc. (µg/ml)

Mean Absorbance ± SD (n=3)

% RSD

265nm

 

5

0.576 ± 0.0068

1.18

10

0.781 ± 0.0085

1.09

15

0.975 ± 0.0070

0.72

Conc. (µg/ml)

Mean Absorbance ± SD (n=3)

% RSD

265nm

 

10

0.770 ± 0.0101

1.32

LOD AND LOQ of Fimasartan Potassium Trihydrate:

  • The LOD and LOQ of Fimasartan potassium trihydrate at 265 nm was found to be   0.49 µg/ml and 1.50 µg/ml, respectively.
  • All the results of LOD and LOQ were showed in Table 8.

Table 8: LOD and LOQ data for Fimasartan potassium trihydrate for estimation method

Drug

Parameter

LOD

LOQ

Fimasartan potassium trihydrate 265 nm

0.49

1.50

Analysis Of Pharmaceutical Dosage Form:

The % assay of Fimasartan potassium trihydrate was found to be 99.82% respectively. The results were showed in Table 9.

Table 9: Analysis of Fimasartan potassium trihydrate in Pharmaceutical Dosage Form

Name of Drug

 

Amount taken

(µg/ml)

Amount Found

(µg/ml)

%Assay + SD

(n=3)

%

RSD

Fimasartan potassium trihydrate

10

09.98

99.82 ± 0.025

0.25

 

Optical Regression Characteristics and Validation Parameters

Table 10: Summary of Validation Parameters

Sr. No.

Parameters

Fimasartan potassium trihydrate

1

Wavelength (nm)

265 nm

2

Beer’s Law Limit (µg/ml)

5-25 µg/ml

3

Regression equation (y= mx + c)

y = 0.038x + 0.4034

4

Co relation coefficient( R2)

0.9998

5

Intraday precision (% RSD,  n=3)

0.31.-0.45

6

Interday precision (% RSD, n=3)

0.72 – 1.18

7

Repeatability (% RSD, n=6)

1.32

8

LOD (µg/ml)

0.49

9

LOQ (µg/ml)

1.5

10

Assay (% )

99.82%

CONCLUSION:

An accurate and precise UV method has been developed and validated for routine analysis of Fimasartan potassium trihydrate. The developed method is recommended for routine and quality control analysis.

REFERENCES

  1. Walker R., and Cate W. Clinical Pharmacy & Therapeutics; 4th Edn; Churchill Livingstone Elsevier, United Kingdom, 2008.
  2. Mohan H. Textbook of Pathophysiology; 6th End; Jaypee Brothers, Medical publishers Pvt Limited, Chandigarh.
  3. Rang H., and Dale M. Rang & Dale’s pharmacology; 7th Edn; Elsevier Publication, Toronto, 2012.
  4. Tripathi KD. Essential of Medical pharmacology; 6th Edition; Jaypee Brother Medical publishers Limited, New Delhi, 2008.
  5. Wells B., Dipiro. T.J., Schwinghammer.L.T., and Dipiro.V.C. Pharmacotherapy Handbook; 7th Edition; New York.
  6. Jeon BS, Kwang H, JaeWoo MD, Seo H, Joo Y, Sang-Goo MD, In-Jin MD, Kyung-Sang MD “Assessment of the Drug–Drug Interactions Between Fimasartan and Hydrochlorothiazide in Healthy Volunteers”, Journal of Cardiovascular Pharmacology, 2012, 59(1), 84-91.
  7. Ernesto GC , Agustin LA, Ignacio CC, Gerardo S, Sara PG, Ramiro GB, Armando GC, Guillermo G, R, Velasco S, Maricela VV, Jose LL, Efrain VE, Arturo GL, Ramon MS. “Safety and efficacy of fimasartan in Mexican patients with grade 1–2 essential hypertension”, Elsevier.  2020, 87(4),316-325.
  8. Sharma  YR. In Elementary organic spectroscopy; 1st edn ; Chand publishing housing, 2013, 126-140.
  9. ICH, Q2 (R2) Validation of Analytical Procedures: Text and Methodology International Conference on Harmonization, IFPMA, Geneva, Switzerland, 2005.
  10. Agrawal K S, Gandhi L R and Bhajipale S “UV Spectrophotometric Method Development and Validation of Fimasartan Drug and Its Tablet Formulation” Asian J. of Pharm. Res. Development.2019, 7(5), 26-30.
  11.  Mittal R, Semimul A and Yadav N “Devlopment & Characterization of Fimasartan Tablet Using UV Spectroscopy”, Eur. J. Pharm. Med. Res.2022, 9(8),406-411.
  12. Shaheem S M, Sri Lakshmi A  and Jhansi M “Development And Validated UV Spectrophotometric Method for The Estimation of Fimasartan in Pure and Pharmaceutical Dosage Forms”, Int. J. Adv. Res.  Inno. Ideas. edu. 2019, 5(4), 410-1417.
  13. Sruthi A and Uttam Prasad P “Stability Indicating Method Development and Validation of Fimasartan by Reverse-Phase High-Performance Liquid Chromatography In Bulk And Pharmaceutical Dosage Form”, Asian J. of Pharm. Clin. Res.2021, 14(2), 138-146.
  14. Pandya CP and Rajput SJ “Validated Stability Indicating RP-HPLC Method For The Determination of Fimasartan in Presence of Degradation Products”,  Indo. American J. Pharm. Res. 2017, 7(11), 928-946.
  15. Dhaware A and Dhudhal B “Analytical Method Development And Validation For Assay of Fimasartan Potassium Trihydrate and Chlorthalidone In Tablet Dosage Form By Using RP-HPLC” Int. Res. J. Pharma. Med. Sci. 2022, 5(4), 24-30.
  16. Singh S , Khan M A, Rathod N, Parmar D, Rathva D, Dalwadi M, Patel K and Upadhyay U “Development & Validation of UV Spectrophotometric Method for Simultaneous Estimation of Cilnidipine & Fimasartan in Synthetic Mixture” Int. J.All Res. Edu. Sci. M. 2022, 10(4), 2661-2672.
  17. Sojitra R G and Chotaliya U J “Analytical method development and validation for simultaneous estimation of Fimasartan Potassium Trihydrate and Cilnidipine in synthetic mixture by HPLC for the treatment of hypertension stage II” Fut. J. Pharm. Sci. 2021, 7(189), 1-7.
  18. Hyeon W M, Abid M Y, Kwan H C , Chul S Y, Jong O K, Han G C “Evaluation of stability and simultaneous determination of fimasartan and amlodipine by a HPLC method in combination tablets” Asian J.  Pharm. Sci. 2014, 2(4), 123-128.
  19. Chavda N, Kumar S “Stability Indicating RP-HPLC Method Development and Validation For The Combination of Rosuvastatin and Fimasartan in Synthetic Mixture”  Int. J. Creat. Res. Th. 2022,10(10), 635-642
  20. Rai K and Rao N “Development And Validation of Novel RP- HPLC Method For Related Substances In Chlorthalidone And Fimasartan Formulations”, World J. Pharm. Res.2020, 9(4). 828-841
  21. Patel A, Modi Y, Dalwadi M, Shah C and Upadhyay U “Analytical Method Development and Validation for Simultaneous Estimation of Cilnidipine and Fimasartan Potassium Trihydrate in Synthetic Mixture” Int. J. Pharm. Res. App. 2021, 6(3), 222-244.
  22. Mistry R, Shah C Shah and Jat R “A New Reverse-Phase High Performance Liquid Chromatography Method for Simultaneous Estimation of Fimasartan, Rosuvastatin Calcium, and Amlodipine Besylate in Combination” Pharm. Chem. J. 2022, 4(56), 416-420.
  23. Kansara D A, Chhalotiya U K. Kachhiya H M, Patel I M and Shah D A. “Simultaneous estimation of amlodipine besylate, Rosuvastatin  calcium and Fimasartan potassium trihydrate combination used in the treatment of hypertension using LC method” S. N. App. Sci. 2020, 2(1), 1-9.
  24. Rohit G , Manju N, Sandeep A and Gitika A,“Development and Optimization of Fast Dissolving Tablets of Fimasartan Potassium Using Natural Gum Mucilage”,J Pharm Tech Res Manage. 2013, 8(2),53-167.

Reference

  1. Walker R., and Cate W. Clinical Pharmacy & Therapeutics; 4th Edn; Churchill Livingstone Elsevier, United Kingdom, 2008.
  2. Mohan H. Textbook of Pathophysiology; 6th End; Jaypee Brothers, Medical publishers Pvt Limited, Chandigarh.
  3. Rang H., and Dale M. Rang & Dale’s pharmacology; 7th Edn; Elsevier Publication, Toronto, 2012.
  4. Tripathi KD. Essential of Medical pharmacology; 6th Edition; Jaypee Brother Medical publishers Limited, New Delhi, 2008.
  5. Wells B., Dipiro. T.J., Schwinghammer.L.T., and Dipiro.V.C. Pharmacotherapy Handbook; 7th Edition; New York.
  6. Jeon BS, Kwang H, JaeWoo MD, Seo H, Joo Y, Sang-Goo MD, In-Jin MD, Kyung-Sang MD “Assessment of the Drug–Drug Interactions Between Fimasartan and Hydrochlorothiazide in Healthy Volunteers”, Journal of Cardiovascular Pharmacology, 2012, 59(1), 84-91.
  7. Ernesto GC , Agustin LA, Ignacio CC, Gerardo S, Sara PG, Ramiro GB, Armando GC, Guillermo G, R, Velasco S, Maricela VV, Jose LL, Efrain VE, Arturo GL, Ramon MS. “Safety and efficacy of fimasartan in Mexican patients with grade 1–2 essential hypertension”, Elsevier.  2020, 87(4),316-325.
  8. Sharma  YR. In Elementary organic spectroscopy; 1st edn ; Chand publishing housing, 2013, 126-140.
  9. ICH, Q2 (R2) Validation of Analytical Procedures: Text and Methodology International Conference on Harmonization, IFPMA, Geneva, Switzerland, 2005.
  10. Agrawal K S, Gandhi L R and Bhajipale S “UV Spectrophotometric Method Development and Validation of Fimasartan Drug and Its Tablet Formulation” Asian J. of Pharm. Res. Development.2019, 7(5), 26-30.
  11.  Mittal R, Semimul A and Yadav N “Devlopment & Characterization of Fimasartan Tablet Using UV Spectroscopy”, Eur. J. Pharm. Med. Res.2022, 9(8),406-411.
  12. Shaheem S M, Sri Lakshmi A  and Jhansi M “Development And Validated UV Spectrophotometric Method for The Estimation of Fimasartan in Pure and Pharmaceutical Dosage Forms”, Int. J. Adv. Res.  Inno. Ideas. edu. 2019, 5(4), 410-1417.
  13. Sruthi A and Uttam Prasad P “Stability Indicating Method Development and Validation of Fimasartan by Reverse-Phase High-Performance Liquid Chromatography In Bulk And Pharmaceutical Dosage Form”, Asian J. of Pharm. Clin. Res.2021, 14(2), 138-146.
  14. Pandya CP and Rajput SJ “Validated Stability Indicating RP-HPLC Method For The Determination of Fimasartan in Presence of Degradation Products”,  Indo. American J. Pharm. Res. 2017, 7(11), 928-946.
  15. Dhaware A and Dhudhal B “Analytical Method Development And Validation For Assay of Fimasartan Potassium Trihydrate and Chlorthalidone In Tablet Dosage Form By Using RP-HPLC” Int. Res. J. Pharma. Med. Sci. 2022, 5(4), 24-30.
  16. Singh S , Khan M A, Rathod N, Parmar D, Rathva D, Dalwadi M, Patel K and Upadhyay U “Development & Validation of UV Spectrophotometric Method for Simultaneous Estimation of Cilnidipine & Fimasartan in Synthetic Mixture” Int. J.All Res. Edu. Sci. M. 2022, 10(4), 2661-2672.
  17. Sojitra R G and Chotaliya U J “Analytical method development and validation for simultaneous estimation of Fimasartan Potassium Trihydrate and Cilnidipine in synthetic mixture by HPLC for the treatment of hypertension stage II” Fut. J. Pharm. Sci. 2021, 7(189), 1-7.
  18. Hyeon W M, Abid M Y, Kwan H C , Chul S Y, Jong O K, Han G C “Evaluation of stability and simultaneous determination of fimasartan and amlodipine by a HPLC method in combination tablets” Asian J.  Pharm. Sci. 2014, 2(4), 123-128.
  19. Chavda N, Kumar S “Stability Indicating RP-HPLC Method Development and Validation For The Combination of Rosuvastatin and Fimasartan in Synthetic Mixture”  Int. J. Creat. Res. Th. 2022,10(10), 635-642
  20. Rai K and Rao N “Development And Validation of Novel RP- HPLC Method For Related Substances In Chlorthalidone And Fimasartan Formulations”, World J. Pharm. Res.2020, 9(4). 828-841
  21. Patel A, Modi Y, Dalwadi M, Shah C and Upadhyay U “Analytical Method Development and Validation for Simultaneous Estimation of Cilnidipine and Fimasartan Potassium Trihydrate in Synthetic Mixture” Int. J. Pharm. Res. App. 2021, 6(3), 222-244.
  22. Mistry R, Shah C Shah and Jat R “A New Reverse-Phase High Performance Liquid Chromatography Method for Simultaneous Estimation of Fimasartan, Rosuvastatin Calcium, and Amlodipine Besylate in Combination” Pharm. Chem. J. 2022, 4(56), 416-420.
  23. Kansara D A, Chhalotiya U K. Kachhiya H M, Patel I M and Shah D A. “Simultaneous estimation of amlodipine besylate, Rosuvastatin  calcium and Fimasartan potassium trihydrate combination used in the treatment of hypertension using LC method” S. N. App. Sci. 2020, 2(1), 1-9.
  24. Rohit G , Manju N, Sandeep A and Gitika A,“Development and Optimization of Fast Dissolving Tablets of Fimasartan Potassium Using Natural Gum Mucilage”,J Pharm Tech Res Manage. 2013, 8(2),53-167.

Photo
Gunjan Limani
Corresponding author

Sardar Patel College of Pharmacy, Bakrol, Anand, Gujarat, 388315 India.

Gunjan Limani*, Analytical Methods Development and Validation for Estimation of Fimasartan Potassium Trihydrate, Int. J. of Pharm. Sci., 2025, Vol 3, Issue 8, 998-1008. https://doi.org/10.5281/zenodo.16792605

More related articles
Development And Assessment of Poly Herbal Tablet f...
A. S. Sontakke , R. S. Karanje , R. S. Raut , R. S. Ade, R. S. Ni...
Formulation And Evaluation Of Herbal Anti Dandruff...
Rashmi C., Sariful Islam, Ashraful Anowar, Asraful Ambiya, Mohamm...
Formulation And Evaluation of Flaxseed Hair Serume...
Vaishnavi Bhatkar, Roshni Garkal, Rugvedi Hiwase, Pooja Bekate, D...
A Review of Pathology ...
Naikwadi Komal , Gagare Rutuja , Sathe Poonam , Sah Ritu , Mundekar Yashraj , Dalvi Rushikesh , ...
Novel Herbal Drug Delivery System: A Comprehensive Review of Approaches, Formula...
Shweta Bunde, Priyanka Suroshe, Mayuri Salve, Rutuja Pawar, Avinash Gunjal, ...
T Cell Line Treatment for Cancer Using Tumor-Infiltrating Lymphocytes ...
Swathi Madhavan, T. Keerthana, A. Sowmiya, D. Kilimozhi, ...
Related Articles
Yoga And Unani Medicine For Mental Health: An Integrated Approach To Holistic We...
Izharul Hasan, Venkateswar Rao B., Anasuya Boligarla, ...
Evaluation And Determination of Azadirachtin and Fatty Acid Constants from The L...
Dr. Raja Kumar Parabathina, Nidhi Dubey, Sanika Girgaonkar, Vishal Lolge, Sunil Kothargasti, ...
Exploring the Efficacy of Herbal-Based Hair Dye: Formulation and Characterizatio...
Shirude Amruta A., Amrute Bhavesh B., Surana Santosh S., Maru Avish D., ...
A Comprehensive Review About Exploring the Functional Diversity, Structural Comp...
Dr. Mohd Abid, Nadir Khan, Farzeen Shaba, Abu Sehma, Mohd Faizan, Rumana Siddqui, ...
Development And Assessment of Poly Herbal Tablet for Antidiabetic Activity...
A. S. Sontakke , R. S. Karanje , R. S. Raut , R. S. Ade, R. S. Nikole , R. G. Lokhande , Dr. R. H. K...
More related articles
Development And Assessment of Poly Herbal Tablet for Antidiabetic Activity...
A. S. Sontakke , R. S. Karanje , R. S. Raut , R. S. Ade, R. S. Nikole , R. G. Lokhande , Dr. R. H. K...
Formulation And Evaluation Of Herbal Anti Dandruff Shampoo...
Rashmi C., Sariful Islam, Ashraful Anowar, Asraful Ambiya, Mohammad Rafid, Shiyas M. P., ...
Formulation And Evaluation of Flaxseed Hair Serume ...
Vaishnavi Bhatkar, Roshni Garkal, Rugvedi Hiwase, Pooja Bekate, Dr. Swati Deshmukh, ...
Development And Assessment of Poly Herbal Tablet for Antidiabetic Activity...
A. S. Sontakke , R. S. Karanje , R. S. Raut , R. S. Ade, R. S. Nikole , R. G. Lokhande , Dr. R. H. K...
Formulation And Evaluation Of Herbal Anti Dandruff Shampoo...
Rashmi C., Sariful Islam, Ashraful Anowar, Asraful Ambiya, Mohammad Rafid, Shiyas M. P., ...
Formulation And Evaluation of Flaxseed Hair Serume ...
Vaishnavi Bhatkar, Roshni Garkal, Rugvedi Hiwase, Pooja Bekate, Dr. Swati Deshmukh, ...