View Article

Abstract

Community-acquired bacterial pneumonia (CABP) remains a major cause of morbidity and mortality worldwide, particularly among elderly patients and individuals with underlying comorbid conditions. Despite the availability of multiple antibacterial agents, effective management of CABP is increasingly challenged by rising antimicrobial resistance and safety concerns associated with commonly used therapies. Macrolides have traditionally played a central role in the treatment of CABP due to their oral availability and activity against atypical pathogens; however, their clinical utility has been compromised by increasing resistance among Streptococcus pneumoniae, risk of QT interval prolongation, and clinically significant drug–drug interactions. Nafithromycin is a novel lactone ketolide developed to address the limitations of conventional macrolides. Structural modifications enhance its binding affinity to bacterial ribosomes, resulting in potent activity against macrolide-resistant respiratory pathogens. Nafithromycin demonstrates broad-spectrum antibacterial activity against typical and atypical CABP pathogens, favourable pharmacokinetic properties with excellent lung tissue penetration, and a reduced propensity for QT prolongation and cytochrome P450–mediated drug interactions. Clinical studies evaluating nafithromycin in patients with CABP have reported high clinical cure rates comparable to standard therapies, supporting its efficacy as an oral monotherapy. The favourable safety profile and simplified dosing regimen further enhance its suitability for outpatient management. In conclusion, nafithromycin represents a promising advancement in the treatment of community-acquired bacterial pneumonia and may offer an effective and safer alternative to existing macrolide therapies, particularly in regions with high macrolide resistance.

Keywords

Nafithromycin, Community-acquired bacterial pneumonia, Ketolide, Macrolide resistance, CABP therapy, Analytical methods.

Introduction

Community-acquired bacterial pneumonia (CABP) remains a major public health challenge worldwide, contributing significantly to morbidity and mortality across all age groups, particularly among elderly individuals, immunocompromised patients, and those with chronic conditions such as diabetes, chronic obstructive pulmonary disease, renal disease, and cardiovascular disorders [1,2]. Globally, CABP leads to millions of hospitalizations annually and places a substantial burden on healthcare systems due to prolonged hospital stays and intensive care requirements [1, 2].

In developing countries, this burden is exacerbated by delayed diagnosis, limited healthcare access, and suboptimal empirical antibiotic therapy. Even in well-resourced healthcare settings, rising antimicrobial resistance and safety concerns related to existing antibiotics compromise treatment outcomes [3, 4]. These challenges highlight the need for novel, effective, and safe oral antibacterial agents that can simplify therapy and improve patient outcomes.

Figure 1: Comparison of Healthy Lungs and Community-Acquired Bacterial Pneumonia (CABP) with Common Causative Pathogens.

  1. Common Causative Organisms:

CABP is caused by a variety of bacterial pathogens, necessitating empirical treatment with broad-spectrum coverage. Streptococcus pneumoniae remains the predominant pathogen, accounting for a significant proportion of severe infections. Other commonly implicated bacteria include Haemophilus influenzae and Moraxella catarrhalis. Additionally, atypical pathogens such as Mycoplasma pneumoniae, Chlamydophila pneumoniae, and Legionella pneumophila play a notable role, particularly in younger or ambulatory patients [2, 5]. The diversity of causative organisms complicates empirical therapy and underscores the importance of antibiotics active against both typical and atypical respiratory pathogens.

Figure 2: (a) Streptococcus pneumoniae (b) Haemophilus influenza (c) Moraxella catarrhalis (d) Mycoplasma pneumoniae (e) Chlamydophila pneumoniae (f) Legionella pneumophila

  1.  Limitations of Existing Therapies

Currently, macrolides, fluoroquinolones, and β-lactam antibiotics form the backbone of CABP treatment. Although generally effective, these agents face limitations due to antimicrobial resistance, adverse effects, and safety concerns. Fluoroquinolones, for example, are linked to serious adverse events including tendinopathy, central nervous system effects, and dysglycemia [4]. Macrolides, while convenient for oral therapy and effective against atypical pathogens, have seen reduced susceptibility in key respiratory pathogens due to widespread use. β- Lactam antibiotics often require combination therapy to cover atypical organisms, which can increase pill burden and risk of non-compliance [3, 4].

  1. Macrolide resistance

Macrolide resistance occurs primarily through target site modification (ribosomal methylation or mutation), active drug efflux, and enzymatic inactivation, which prevent the antibiotic from binding to the 50S ribosomal subunit and inhibiting protein synthesis. The most common mechanism is methylation of the 23S rRNA, reducing the drug's affinity. Genes for macrolide resistance act via three main mechanisms - target site modification, activation of efflux pumps and enzymatic modification of the drug [7].

  1. Target site modification
  • Erythromycin ribosome methylation (erm) genes (e.g. erm A, B, C) are transcribed and translated to produce enzymes that can methylate the 23S rRNA binding site on the 50S subunit. 
  • The altered binding site results in decreased binding affinity of macrolides. 
  • This results in high-level resistance.
  1. Efflux pump activation
  • Macrolide efflux (mef) genes (e.g. mef A, B, E) are transcribed and translated to produce transporters that pump out macrolides before they can reach their site of action on the 50S ribosomal subunit. 
  • This results in relatively low to moderate resistance.
  1. Enzymatic modification
  • Macrolide phosphotransferase (mph) and erythromycin esterase (ere) genes are transcribed and translated to produce enzymes that can modify macrolides so they are no longer capable of binding effectively to the 50S ribosome.
  • The altered binding means the macrolides are unable to exert an effect.
  • This results in high-level resistance.

Figure 3: Mechanism of Macrolide Resistance [7].

  1. QT Interval Prolongation:

The QT interval on an electrocardiogram (ECG) represents the total duration of ventricular depolarization and repolarization. Prolongation of the QT interval is clinically significant because it predisposes patients to life-threatening ventricular arrhythmias, particularly torsades de pointes (TdP). Drug-induced QT prolongation is a well-recognized adverse effect associated with several antimicrobial classes, including macrolides and fluoroquinolones, which are commonly used in the treatment of community-acquired bacterial pneumonia (CABP) [8,9].

Patients with CABP often have multiple risk factors for QT prolongation, such as advanced age, electrolyte imbalance, cardiovascular disease, and concomitant medications. Therefore, the cardiac safety profile of antibiotics is a critical consideration when selecting empirical and targeted therapy [9].

  1. Molecular Mechanism of Drug-Induced QT Prolongation:

QT prolongation primarily occurs due to inhibition of cardiac potassium ion channels, especially the human ether-à-go-go-related gene (hERG, Kv11.1) channel. This channel mediates the rapid delayed rectifier potassium current, which is essential for phase 3 repolarization of the cardiac action potential [10].

When drugs inhibit the hERG channel:

  • Potassium efflux during repolarization is reduced
  • Action potential duration is prolonged
  • QT interval on ECG is extended
  • Electrical instability may develop, leading to TdP
  • Normal Cardiac Repolarization:

Na+ influx → Ca2+ influx → K+ efflux → Normal QT

Drug-Induced QT Prolongation

Macrolide / Fluoroquinolone

hERG (IKr) Channel Blockade

↓ Potassium Efflux

Prolonged Action Potential

QT Interval Prolongation

Risk of Torsades de Pointes

Figure 4: Mechanism of Drug-Induced QT Prolongation.

  1. QT Prolongation Associated with Macrolide Antibiotics:

Macrolides such as erythromycin, clarithromycin, and azithromycin are known to prolong the QT interval through direct hERG channel inhibition. Additionally, many macrolides inhibit cytochrome P450 (CYP3A4), leading to increased plasma concentrations of co-administered QT-prolonging drugs [8, 11].

Clinical consequences include:

  • Increased arrhythmia risk in elderly patients.
  • Higher incidence of adverse events in polypharmacy.
  • Restriction of use in patients with pre-existing cardiac disease.

These limitations reduce the suitability of conventional macrolides for widespread outpatient management of CABP, particularly in high-risk populations [9].

  1. Relevance to CABP Treatment:

CABP patients frequently receive combination therapy and supportive medications, increasing the risk of pharmacokinetic and pharmacodynamic interactions. Antibiotics with QT-prolonging potential require ECG monitoring, which is often impractical in outpatient settings. Consequently, there is a strong clinical demand for newer oral agents that retain macrolide-like efficacy without compromising cardiac safety [12].

  1. Drug–Drug Interactions in CABP Therapy:

Patients with community-acquired bacterial pneumonia (CABP) frequently belong to elderly or comorbid populations and are often prescribed multiple medications for chronic conditions such as cardiovascular disease, diabetes, and respiratory disorders. Polypharmacy substantially increases the risk of drug–drug interactions (DDIs), which may lead to reduced therapeutic efficacy, increased toxicity, or serious adverse events. Antibiotics used for CABP, particularly macrolides and fluoroquinolones, are among the most commonly implicated drug classes in clinically significant DDIs [15].

    1. Pharmacokinetic Mechanisms of Drug–Drug Interactions:
  1. Cytochrome P450 Enzyme Inhibition-

One of the most important mechanisms underlying DDIs is inhibition of hepatic cytochrome P450 (CYP) enzymes, especially CYP3A4. Several macrolides, including erythromycin and clarithromycin, are strong CYP3A4 inhibitors. When co-administered with drugs metabolized by this pathway, plasma concentrations of the co-administered drug may increase, resulting in toxicity [16].

Commonly affected drugs include:

  • Statins (risk of myopathy and rhabdomyolysis)
  • Calcium channel blockers (hypotension, bradycardia)
  • Oral anticoagulants (bleeding risk)
  • Antiarrhythmic agents (arrhythmias)

Azithromycin has a lower CYP3A4 inhibitory effect but is still associated with clinically relevant interactions in susceptible patients [16, 17].

  1. Transporter-Mediated Interactions-

Macrolides can also inhibit membrane transport proteins such as P-glycoprotein (P-gp). Inhibition of P-gp alters the absorption and elimination of drugs like digoxin, leading to elevated systemic exposure and toxicity. Transporter-based interactions further complicate antibiotic selection in CABP patients receiving long-term medications [17].

Macrolide Antibiotic

CYP3A4 / P-gp Inhibition

↓ Drug Metabolism or Efflux

↑ Plasma Drug Concentration

Increased Toxicity / Adverse Effects

Figure 5:  Mechanism of action of drug-drug interaction.

    1. Pharmacodynamic Drug–Drug Interactions:

Pharmacodynamic interactions occur when two drugs exert additive or synergistic effects on the same physiological system. In CABP therapy, the most clinically relevant pharmacodynamic interaction involves QT interval prolongation.

When macrolides are co-administered with other QT-prolonging drugs (e.g., antiarrhythmics, antipsychotics, fluoroquinolones), the risk of torsades de pointes is significantly increased. This interaction is independent of drug concentration and can occur even at therapeutic doses [18].

    1. Clinical Consequences of DDIs in CABP:

The presence of DDIs can lead to:

  • Increased hospitalization duration
  • Need for intensive monitoring
  • Restriction of antibiotic choice
  • Reduced adherence due to therapy modification

In outpatient CABP management, avoiding antibiotics with high DDI potential is essential to ensure safety and treatment success [15, 19].

  1. Mechanism of Action of Nafithromycin:
  1. Ribosomal Binding and Protein Synthesis Inhibition:

Nafithromycin is a novel lactone ketolide antibiotic designed to overcome macrolide resistance while improving safety. It exerts its antibacterial effect by inhibiting bacterial protein synthesis through binding to the 50S ribosomal subunit. Unlike traditional macrolides, nafithromycin demonstrates dual-site ribosomal binding, which enhances its affinity and reduces susceptibility to resistance mechanisms [13].

Specifically, nafithromycin interacts with:

  • Domain V of 23S rRNA
  • Additional ribosomal regions involved in peptide elongation

This dual interaction leads to effective inhibition of translocation and premature termination of bacterial protein synthesis.

  1. Activity against Macrolide-Resistant Pathogens:

Resistance to macrolides commonly arises through:

  • Ribosomal methylation (erm genes)
  • Efflux pumps (mef genes)

Nafithromycin retains activity against many resistant strains because its structural modifications allow stable ribosomal binding even in the presence of methylated rRNA. This property is particularly valuable against Streptococcus pneumoniae, a predominant CABP pathogen [13, 14].

  1. Cardiac Safety Advantage of Nafithromycin:

Unlike conventional macrolides, nafithromycin exhibits minimal interaction with the hERG channel and does not significantly inhibit CYP3A4. As a result:

  1. QT prolongation risk is reduced
  2. Drug–drug interaction potential is minimized
  3. Suitability for outpatient oral therapy is improved

These characteristics represent a major therapeutic advantage in the management of CABP [12, 14].

  1. Reduced Drug–Drug Interaction Potential of Nafithromycin:

A major advantage of nafithromycin is its minimal inhibition of CYP3A4 and P-glycoprotein, significantly reducing its potential for pharmacokinetic DDIs. In vitro studies have demonstrated negligible effects on major drug-metabolizing enzymes, making nafithromycin safer for use in patients receiving multiple concomitant medications [20].

This favorable interaction profile, combined with reduced QT prolongation risk, supports its suitability as an oral monotherapy for CABP.

Nafithromycin

Penetration into Bacterial Cell

Binding to 50S Ribosomal Subunit

Inhibition of Protein Synthesis

Suppression of Bacterial Growth

Clinical Cure of CABP

Figure 6: Mechanism of action Nafhithromycin.

EPIDEMIOLOGY OF COMMUNITY-ACQUIRED BACTERIAL PNEUMONIA (CABP)

Community-acquired bacterial pneumonia (CABP) remains a leading cause of infectious morbidity and mortality worldwide. Despite advances in antimicrobial therapy and vaccination, CABP continues to impose a substantial public health burden, particularly in low- and middle-income countries (LMICs) such as India. The epidemiology of CABP varies considerably across regions due to differences in population demographics, healthcare infrastructure, vaccination coverage, prevalence of comorbidities, and antimicrobial resistance patterns [21,22].

  1. Global Epidemiology of CABP :

Globally, community-acquired pneumonia affects approximately 3–5% of adults annually, with bacterial pathogens accounting for a major proportion of clinically significant cases [23]. The estimated global incidence of CAP is ~4,000–4,500 cases per 100,000 population per year, with higher incidence rates observed at the extremes of age [24].

Lower respiratory tract infections, including CABP, are consistently ranked among the top three causes of infectious disease–related mortality worldwide, contributing to approximately 2–2.5 million deaths annually [24,25].

Figure 7: Marked regional differences in the incidence and mortality of CABP are observed worldwide, with the highest burden reported in South-East Asia and Africa.

  1. Mortality and Case Fatality Rates:

CABP-associated mortality varies according to disease severity and healthcare setting:

  • Outpatient CABP: <2%
  • Hospitalized CABP: 5–20%
  • Severe CABP (ICU-admitted): up to 40–50%

Elderly patients (≥65 years), immune compromised individuals, and those with chronic cardiopulmonary diseases experience disproportionately higher mortality rates [22, 26].

Figure 8: Mortality increases substantially with disease severity, particularly among ICU-admitted patients.

  1. Age-Specific Distribution:

Epidemiological studies demonstrate a U-shaped age distribution, with the highest incidence and mortality observed in:

  1. Children <5 years (especially in LMICs)
  2. Adults ≥65 years

In older adults, incidence rates may exceed 25–40 cases per 1,000 persons per year, reflecting immunosenescence and increased comorbidity burden [23, 24].

  1. Global Etiological Pattern:

Streptococcus pneumoniae remains the predominant bacterial cause of CABP globally, followed by Haemophilus influenzae, Staphylococcus aureus, and atypical pathogens such as Mycoplasma pneumoniae [27]. Increasing antimicrobial resistance, particularly macrolide and β-lactam resistance, has significantly influenced contemporary CABP epidemiology and treatment strategies [26, 27].

  1. Epidemiology of CABP in India:

India bears a disproportionately high burden of pneumonia, contributing nearly 20–25% of global pneumonia cases. Epidemiological estimates suggest an annual pneumonia incidence of 5–11 cases per 1,000 population, corresponding to approximately 4–5 million adult CABP cases per year. Under-diagnosis, limited access to microbiological testing, and under-reporting—particularly in rural regions—suggest that the true burden may be substantially higher [28, 29].

Figure 9: WHO-Defined Clinical pneumonia incidence in children younger than 5 years (per 1000).

    1. Mortality Patterns in India:

Mortality rates associated with CABP in India remain significantly higher than those reported in high-income countries:

  1. Overall hospital mortality: 14–30%
  2. Severe CABP (ICU): up to 45–47%

Delayed healthcare presentation, inappropriate empirical therapy, limited ICU capacity, and high prevalence of multidrug-resistant organisms contribute to adverse outcomes [21, 29].

    1. Etiological Distribution in Indian CABP:

In contrast to Western populations, Indian studies report a higher prevalence of Gram-negative pathogens, particularly in hospitalized and severe cases. This pathogen distribution has direct implications for empirical antibiotic selection and antimicrobial stewardship in India [28, 29]. The relative contribution of major bacterial pathogens causing CABP in India is illustrated in Fig1.9.

Table 1: Major bacterial pathogens causing CABP in India

Pathogen

Epidemiological relevance

Streptococcus pneumoniae

Most common overall pathogen

Klebsiella pneumoniae

Common in severe & elderly patients

Staphylococcus aureus

Post-viral and severe pneumonia

Mycoplasma pneumoniae

Younger adults

Pseudomonas aeruginosa

ICU and high-risk patients

Figure 10: Etiological Distribution of CABP in India.

Distribution of major bacterial pathogens causing community-acquired bacterial pneumonia in India. Streptococcus pneumoniae remains the predominant pathogen, while Gram-negative organisms, particularly Klebsiella pneumoniae, contribute significantly to hospitalized and severe cases. CABP incidence in India demonstrates seasonal peaks during winter and post-monsoon months, likely related to increased viral respiratory infections, air pollution, and overcrowding.

OVERVIEW OF THE NOVEL LACTONE KETOLIDE NAFHITHROMYCIN:

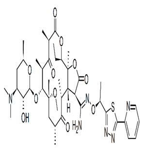
Nafithromycin (also known as WCK 4873) is a next-generation ketolide antibiotic developed as an advanced derivative of the macrolide class. Chemically, it belongs to the lactone ketolide subclass, which represents structurally modified macrolides designed to overcome resistance mechanisms associated with conventional agents such as azithromycin and clarithromycin. Ketolides differ from classical macrolides primarily by removal of the cladinose sugar at the C3 position, replacement with a keto functional group, and the introduction of an extended aryl–alkyl side chain. These modifications confer enhanced ribosomal binding, improved antibacterial potency, and reduced susceptibility to macrolide resistance mechanisms [30, 31].

Figure 11: Chemical Structure of Nafhithromycin

Formula: C42H62N6O11S

Molecular Weight: 859.05 g/mol

Structure: It is a 16-membered lactone-ketolide featuring a 2-pyridine-1,3,4-thiadiazole side chain connected via a four-atom spacer. 

  1. Structural Features of Nafithromycin:
    1. Macrolactone Ring System-

Nafithromycin retains a 14-membered macrolactone ring, a core structural feature essential for binding to the bacterial ribosome. This lactone ring acts as the scaffold upon which additional functional groups are positioned to optimize antimicrobial activity. Compared with earlier macrolides, the ring system in nafithromycin is chemically stabilized to enhance acid resistance and metabolic durability [32].

    1. C3 Keto Group (Absence of Cladinose Sugar)-

A defining feature of nafithromycin is the replacement of the cladinose sugar at the C3 position with a keto group. In classical macrolides, the cladinose sugar plays a key role in triggering inducible MLS resistance via erm-mediated methylation of the 23S rRNA. Removal of this sugar significantly reduces resistance induction and enhances activity against macrolide-resistant Streptococcus pneumoniae. This modification is fundamental to the ketolide class and directly contributes to the superior resistance profile of nafithromycin [31].

    1. Extended Aryl–Alkyl Side Chain-

Nafithromycin contains a rigid aromatic side chain attached to the macrolactone ring, which is absent in azithromycin and clarithromycin. This side chain extends into domain II of the 23S rRNA, enabling a second anchoring point within the ribosomal exit tunnel. As a result, nafithromycin exhibits dual ribosomal binding, significantly increasing binding affinity and reducing the likelihood of resistance due to target site modification [30].

  1. Structural Comparison with Classical Macrolides:

Azithromycin

Clarithromycin

Nafhithromycin

      1. Comparison with Azithromycin:

Azithromycin is a 15-membered azalide macrolide, characterized by the insertion of a nitrogen atom into the lactone ring and retention of the cladinose sugar. While azithromycin demonstrates broad-spectrum activity, its reliance on a single ribosomal binding site (domain V) makes it vulnerable to methylation-mediated resistance. In contrast, nafithromycin:

  • Lacks cladinose sugar
  • Possesses a keto group at C3
  • Exhibits dual binding to ribosomal domains II and V

These differences translate into higher potency against resistant pneumococcal strains and improved pharmacodynamic performance [33, 34].

      1. Comparison with Clarithromycin:

Clarithromycin is a 14-membered macrolide derived from erythromycin with enhanced acid stability due to methoxy substitution. However, it still retains the cladinose sugar and binds predominantly to domain V of 23S rRNA, making it susceptible to MLS<sub>B</sub> resistance. Nafithromycin overcomes these limitations through:

  • Structural elimination of cladinose
  • Addition of a ribosome-anchoring side chain
  • Reduced induction of resistance genes

As a result, nafithromycin demonstrates greater in vitro and in vivo activity against macrolide-resistant respiratory pathogens [32, 35].

  1. Structural–Functional Correlation:

Table 2: Structural Comparison of Nafithromycin with Azithromycin and Clarithromycin.

Feature

Nafithromycin

Azithromycin

Clarithromycin

Antibiotic class

Ketolide

Macrolide (Azalide)

Macrolide

Lactone ring

Modified macrolactone

15-membered

14-membered

Cladinose sugar

Absent (keto group)

Present

Present

Extended side chain

Present

Absent

Absent

Ribosomal binding sites

Domain II & V

Mainly Domain V

Domain V

Activity vs macrolide-resistant strains

High

Low–Moderate

Low

Lung tissue penetration

Excellent

Moderate

Moderate

The collective structural modifications in nafithromycin lead to:

  • Improved antibacterial potency
  • Enhanced lung tissue penetration
  • Prolonged epithelial lining fluid exposure
  • Reduced cardiac safety concerns relative to older macrolides

These properties make nafithromycin particularly suitable for community-acquired bacterial pneumonia (CABP), where high pulmonary concentrations and resistance coverage are critical. Nafithromycin represents a rationally designed ketolide, in which specific chemical modifications—namely cladinose removal, keto substitution, and an extended aryl–alkyl side chain—directly translate into improved antibacterial efficacy and resistance suppression.

Its dual ribosomal binding mechanism distinguishes it structurally and functionally from azithromycin and clarithromycin, positioning nafithromycin as a promising next-generation therapy for respiratory infections [34, 35].

  1. Dual Ribosomal Binding Mechanism:

Unlike classical macrolides that bind primarily to domain V of the 50S ribosomal subunit, nafithromycin interacts simultaneously with domain V and domain II of 23S rRNA. This dual interaction stabilizes the drug–ribosome complex and prevents displacement caused by methylation or point mutations.

This mechanism:

  • Enhances inhibition of peptide elongation
  • Maintains activity against erm-positive strains
  • Prolongs ribosomal occupancy time

Dual binding is considered the principal structural reason for nafithromycin’s enhanced antibacterial spectrum and lower resistance potential [31].

Figure 12: Dual ribosomal binding mechanism of nafithromycin at domains II and V of 23S rRNA.

  1. Side effect of Nafhitromycin:

Nafithromycin (marketed as Miqnaf) is a well-tolerated novel macrolide antibiotic generally causing mild side effects like dysgeusia (taste change), nausea, diarrhea, headache, and dizziness. It shows minimal gastrointestinal issues and is considered a safer alternative to older antibiotics for treating Community-Acquired Bacterial Pneumonia (CABP). 

Common Side Effects:

Based on clinical trial data, the most frequently reported treatment-emergent side effects include: 

  1. Dysgeusia (Taste Distortion): Reported in up to 67% of subjects, making it the most common effect.
  2. Gastrointestinal Issues: Nausea, diarrhea, vomiting, and flatulence.
  3. Neurological: Headache and dizziness.
  4. Other: Temporary Skin Rashes [36].

ANALYTICAL METHODS DEVELOPED FOR NAFITHROMYCIN (WCK 4873)

Analytical methods are crucial in drug development for quantification, pharmacokinetic studies, impurity profiling, quality control, and microbiological activity assessment. Nafithromycin, a novel lactone ketolide antibiotic under development for community-acquired bacterial pneumonia (CABP), has prompted the development of several analytical techniques to support its bioanalysis, quality control, and microbiological evaluation.

  1. Bioanalytical Quantification Methods:
      1. LC-MS/MS for Plasma and Tissue Quantification:

One of the most widely used methods for nafithromycin quantification in biological matrices is liquid chromatography-tandem mass spectrometry (LC-MS/MS). This method enables sensitive, precise, and selective measurement of nafithromycin and its major metabolite in human plasma, urine, and other samples, which is essential for pharmacokinetic and bioavailability studies.

A validated LC-MS/MS assay was developed for simultaneous quantification of nafithromycin and its N-desmethyl metabolite in human plasma. Protein precipitation was used for sample preparation, and clarithromycin served as an internal standard. The calibration curve was linear (r ≥ 0.99) over a wide range (10–5000 ng/mL), with acceptable precision and accuracy according to regulatory bioanalytical guidelines [37].

A similar LC-MS/MS method was applied in pharmacokinetic studies of oral nafithromycin, using protein precipitation with acetonitrile followed by LC-MS/MS analysis. Nafithromycin concentrations in plasma and in bronchoalveolar lavage fluids were quantified with linear standard curves and low limits of quantification, supporting in vivo PK/PD research [38].

Figure 13: Bio analytical Workflow

Table 3: Key LC-MS/MS Bio analytical Parameters

Parameter

Result

Sample prep method

Protein precipitation

Matrix

Human plasma, BAL fluid

Internal standard

Clarithromycin

Linear range

10–5000 mg/mL

LLOQ

10 mg/mL

Precision & accuracy

Within regulatory limits

      1. Chromatographic Methods for Drug and Impurity Analysis:
  1. RP-HPLC (Reversed-Phase High-Performance Liquid Chromatography)

Classic chromatographic analysis of nafithromycin using RP-HPLC has been used for quantitative estimation and detection of related impurities. One analytical investigation employed an RP-HPLC system with a C18 column, buffer–acetonitrile mobile phase, and UV detection to quantify nafithromycin in pharmaceutical samples [39].

  1. RP-UPLC (Reversed-Phase Ultra Performance Liquid Chromatography)

A refined method using RP-UPLC (BEH C18 column with a gradient mobile phase and PDA detection) offers faster run times and improved resolution than traditional HPLC. This is useful for routine quality control during drug substance and formulation analysis and provides robust analytical data for regulatory compliance [39].

  1. UHPLC-MS:

Ultra-High-Performance Liquid Chromatography coupled with mass spectrometry (UHPLC-MS) has also been developed for quantifying nafithromycin with high specificity. This technique integrates chromatographic separation with mass detection, enhancing sensitivity and structural information, and is particularly useful for metabolite profiling and trace level quantitation [39].

Table 4: Chromatographic Methods Summary

Method

Detection

Column

Mobile Phase

Application

RP-HPLC

UV

C18

Buffer/Acetonitrile

Quantification, QC

RP-UPLC

PDA

BEH C18

Gradient ACN/Formic Acid

Rapid assay

UHPLC-MS

MS

C18

ACN/Formic Acid

High specificity quantitation

 

  1. Impurity Profiling and Degradation Products:
        1. RP-LC with MS for Impurity Identification

Another key analytical advancement is the identification and quantification of related impurities of nafithromycin using reversed-phase liquid chromatography compatible with mass spectrometry. Forced degradation studies revealed process impurities and degradation products. Chromatographic separation using XTerra C18 and gradient elution, followed by MS identification, allowed structural characterization of impurities, supporting stability studies and quality control [40].

Figure 14: Impurity Analysis Framework

  1. Microbiological Susceptibility Methods:
  1. Broth Micro dilution and Disk Diffusion QC Ranges:

Although not an analytical chemistry technique per se, determining antimicrobial susceptibility and quality control (QC) ranges is essential for clinical research and surveillance. Using standard broth micro dilution and disk diffusion tests, quality control ranges for nafithromycin were established for key control strains (e.g., S. aureus, S. pneumoniae, H. influenzae). These methods define expected inhibition zones and MIC QC ranges, which are used in monitoring susceptibility and validating phenotypic assays [41].

Table 4: Nafithromycin MIC QC Ranges (CLSI)

Organism (ATCC)

Disk Diffusion (mm)

MIC Range (µg/mL)

S. aureus 25923

25–31

S. aureus 29213

0.06–0.25

E. faecalis 29212

0.016–0.12

S. pneumoniae 49619

25–31

0.008–0.03

H. influenzae 49247

16–20

2–8

Method Validation and Regulatory Perspectives:

Each analytical method described above has been evaluated and validated according to standard guidelines (e.g., US FDA bioanalytical method validation protocols) to ensure accuracy, precision, linearity, specificity, sensitivity, and reproducibility. These validations are critical for clinical trials and eventual regulatory submission of nafithromycin [37].

Table 5: Developed Analytical Method and their applications.

Analytical Category

Methods

Applications

Bioanalytical Quantitation

LC-MS/MS

PK, bioavailability

Chromatographic Assay

RP-HPLC, RP-UPLC, UHPLC-MS

QC, assay

Impurity Profiling

RP-LC + MS

Stability, degradation

Microbiological QC

Broth microdilution & disk diffusion

Susceptibility testing

Future Tools

Rapid AST, biosensors

Fast MIC / clinical use

FUTURE RESEARCH GAPS IN ANALYTICAL METHOD DEVELOPMENT FOR NAFITHROMYCIN

Analytical methods for nafithromycin exist for LC–MS/MS quantification, HPLC assays, impurity profiling, and microbiological susceptibility testing. However, several opportunities remain to advance the field further- particularly in the realms of green analytical chemistry, rapid clinical testing, high-throughput capability, and method standardization [44–48].

        1. UV Methods with Green Chemistry Focus:

Although UV-visible spectroscopy is simple and cost effective for some drug assays, no green UV analytical methods have been comprehensively published for nafithromycin yet.

Research Gaps:

a) Lack of UV Methods for Nafithromycin

  • UV methods are traditionally used for basic quality control, but for nafithromycin, no validated UV or UV-derivative method has been reported in open literature for drug substance or formulation analysis [46].
  • Development of UV assays could benefit resource-limited laboratories due to lower cost and minimal instrumentation.

b) Need for Green Solvent Systems

  • Conventional UV methods use organic solvents (methanol, acetonitrile) that are hazardous and not environmentally friendly.
  • Future research should focus on green solvent alternatives like ethanol, water, and bio-based co-solvents that reduce toxicity and waste [49].

Table 6: Potential Research Priorities for UV-based Assays

Research Priority

Rationale

UV Method Development for Nafithromycin

Provides simple QC assay

Use of Green Solvents (Ethanol, Water)

Minimizes environmental impact

Validation per ICH Q2(R1)

Ensures accuracy & regulatory compliance

Stability-Indicating UV Methods

Differentiates nafithromycin vs degradation products

        1. HPLC/UPLC Methods Incorporating Green Chemistry:

Current HPLC and UPLC methods for nafithromycin use traditional organic phases (acetonitrile, methanol), which are toxic and generate hazardous waste. Future research should integrate green chromatography principles [46].

Research Gap-

a) Greener Mobile Phase Development

  • Substitute hazardous solvents with ethanol, ethyl lactate, or ionic liquids to reduce environmental load and operator exposure [50].
  • Explore supercritical CO?–based mobile phases for nafithromycin separation.

b) Green Stationary Phases

  • Use monolithic or sub-2 µm columns to reduce solvent usage and shorten run times.

c) HPLC in Real Samples

  • Only limited reports exist for nafithromycin assay in plasma and lung tissue.
  • Integrated green sample prep (solid-phase microextraction, QuEChERS, hollow-fiber microextraction) should be developed to reduce waste [50, 51].

Table 7: HPLC/UPLC Green Chemistry Opportunities

Area

Current Status

Future Gap

Mobile Phase

ACN / MeOH

Ethanol / Water / ILs

Stationary Phase

Conventional C18

Monolithic / Core–shell

Sample Prep

Protein precipitation

Green extraction methods

Run Time

Medium

Ultra-fast UPLC

        1. Other Key Research Gaps & Future Perspectives:
  1. High-Throughput Methods for Clinical Use:

Rapid methods that provide quantitation within minutes are lacking.

Gap:

No published implementation of high-throughput LC–MS/MS with automated sample prep for nafithromycin PK monitoring.

Future Direction:

Explore robotic sample handling and 96-well plate extraction systems.

  1. Rapid Antimicrobial Susceptibility Testing (AST) for Nafithromycin:

Phenotypic AST currently relies on standard broth microdilution, which takes 18–24 hours.

Gap:

Rapid AST methods (e.g., optical metabolite detection, microdroplet sensors) have not been validated for nafithromycin.

Future Direction:

 Integrate techniques like:

    • Stimulated Raman Scattering AST
    • Single-cell microfluidics
    • Optical metabolic profiling [52, 53].
  1. Standardization across Laboratories:

Gap:

No global inter-laboratory validation protocols specific to nafithromycin analytical methods.

Future Direction:

Harmonize nafithromycin assay protocols under organizations like CLSI, EMA, FDA.

  1. Stability-Indicating and Forced Degradation Methods:

While some impurity profiling exists, full stability-indication protocols under various stress (heat, light, pH) are limited.

Future Direction: Develop robust stability studies with green analytical endpoints.

  1. Bioavailability & Tissue Penetration Assays beyond Plasma:

Most PK methods are in plasma only.

Future Direction:

 Expand validated methods to:

    • Bronchoalveolar lavage fluid
    • Sputum
    • Lung tissue homogenate

This will support better correlation with CABP efficacy.

Table 8: Comprehensive Research Gaps

Area

Current Status

Research Gap

UV Methods

Not yet reported

Need green UV methods

HPLC/ UPLC

Uses hazardous solvents

Greener chromatography

Bioanalytical quantification

LC–MS/MS established

High-throughput, automation

Susceptibility methods

Broth microdilution only

Rapid AST

Global standardization

Not established

Harmonized protocols

Stability studies

Limited

Full stress decomposition

Tissue assays

Plasma centric

Lung/ELF validated

CONCLUSION:

Community-acquired bacterial pneumonia (CABP) continues to represent a significant global health burden, particularly in elderly individuals, patients with comorbidities, and populations in low- and middle-income countries. The increasing prevalence of antimicrobial resistance, safety concerns such as QT interval prolongation, and clinically significant drug–drug interactions associated with conventional macrolides and fluoroquinolones have substantially limited current therapeutic options. These challenges underscore the urgent need for safer, effective, and resistance-resilient oral antibacterial agents for CABP management.

Nafithromycin, a novel lactone ketolide antibiotic, has emerged as a promising next-generation therapeutic option designed to address these unmet clinical needs. Its rational structural modifications—namely removal of the cladinose sugar, incorporation of a C3 keto group, and addition of an extended aryl–alkyl side chain—enable dual ribosomal binding at domains II and V of the 23S rRNA. This unique mechanism enhances antibacterial potency and preserves activity against macrolide-resistant respiratory pathogens, particularly Streptococcus pneumoniae. Importantly, nafithromycin demonstrates a favorable safety profile with minimal hERG channel inhibition, reduced QT prolongation risk, and negligible CYP3A4 and P-glycoprotein interaction potential, making it well suited for outpatient therapy and polypharmacy-prone populations.

From an analytical perspective, substantial progress has been made in developing robust bioanalytical and chromatographic methods for nafithromycin, including LC–MS/MS assays for pharmacokinetic evaluation, RP-HPLC/UPLC methods for quality control, and LC–MS–based impurity profiling to support stability and regulatory requirements. However, notable research gaps remain, particularly in the development of cost-effective green UV spectrophotometric methods, environmentally sustainable chromatographic techniques, rapid antimicrobial susceptibility testing, and high-throughput automated bioanalysis. Addressing these gaps will be critical for expanding nafithromycin accessibility, supporting antimicrobial stewardship, and aligning future analytical workflows with green chemistry principles.

Overall, nafithromycin represents a clinically and analytically important advancement in the management of CABP. Its integrated advantages- enhanced efficacy against resistant pathogens, improved cardiac and drug–drug interaction safety, and strong lung tissue penetration—position it as a valuable addition to the current therapeutic armamentarium. Continued clinical evaluation, method standardization, and innovation in green and rapid analytical approaches will further strengthen its role in contemporary and future CABP management strategies.

ABBREVIATIONS:

Abbreviation

Full Form

ACN

Acetonitrile

AST

Antimicrobial Susceptibility Testing

BAL

Bronchoalveolar Lavage

CABP

Community-Acquired Bacterial Pneumonia

CAP

Community-Acquired Pneumonia

CLSI

Clinical and Laboratory Standards Institute

CYP

Cytochrome P450

CYP3A4

Cytochrome P450 3A4

DDI

Drug–Drug Interaction

ECG

Electrocardiogram

ELF

Epithelial Lining Fluid

erm

Erythromycin Ribosome Methylation gene

FDA

Food and Drug Administration

hERG

Human Ether-à-go-go–Related Gene

HPLC

High-Performance Liquid Chromatography

ICU

Intensive Care Unit

ICH

International Council for Harmonisation

IKr

Rapid Delayed Rectifier Potassium Current

LC–MS/MS

Liquid Chromatography–Tandem Mass Spectrometry

LMICs

Low- and Middle-Income Countries

LLOQ

Lower Limit of Quantification

MLSB

Macrolide–Lincosamide–Streptogramin B

MIC

Minimum Inhibitory Concentration

mef

Macrolide Efflux gene

mph

Macrolide Phosphotransferase

P-gp

P-glycoprotein

PDA

Photodiode Array

PK/PD

Pharmacokinetics / Pharmacodynamics

QC

Quality Control

QT

Time interval between Q and T waves on ECG

RP-HPLC

Reversed-Phase High-Performance Liquid Chromatography

RP-UPLC

Reversed-Phase Ultra Performance Liquid Chromatography

TdP

Torsades de Pointes

UHPLC-MS

Ultra-High-Performance Liquid Chromatography–Mass Spectrometry

UV

Ultraviolet

WHO

World Health Organization

DECLARATIONS:

Acknowledgement: Would like to thank the SSP Shikshan Sanstha’s Siddhi College of Pharmacy, Chikhali, Pune for providing infrastructure.

Funding Sources: The author(s) received no financial support for the research, authorship, and/or publication of this article.

Conflict of Interest: The authors do not have any conflict of interest.

Ethics Statement: This research did not involve human participants, animal subjects, or any material that requires ethical approval.

Consent to participate: This study did not involve human participants, and therefore, informed consent was not required.

Clinical Trial Registration: This review does not involve any clinical trials.

Permission to reproduce material from other sources: Not Applicable

Consent to publish: Not applicable. This article does not contain any individual person’s data in any form (including individual details, images, or videos).

Author Contributions:

Vaishnavi Singh*: Investigation, Writing, review & editing, Conceptualization.

Dr. Hitanshi Darji: Investigation, Supervision, Conceptualization.

Dr. Pravin Sable: Editing, Supervision.

REFERENCES

      1. Kalwaje Eshwara V, Mukhopadhyay C, Rello J. Community-acquired bacterial pneumonia in adults: an update. Indian J Med Res. 2020;151(4):287–302. doi:10.4103/ijmr.IJMR_1678_18
      2. Shoar S, Musher DM. Etiology of community-acquired pneumonia in adults: a systematic review. Pneumonia (Nathan). 2020;12:11. doi:10.1186/s41479-020-00074-3
      3. Advancements in the management of severe community-acquired pneumonia: a comprehensive narrative review. Cureus. 2023;15(10):e46893. doi:10.7759/cureus.46893
      4. Sharma R, Sandrock CE, Meehan J, Theriault N. Community-acquired bacterial pneumonia—changing epidemiology, resistance patterns, and newer antibiotics: spotlight on delafloxacin. Clin Drug Investig. 2020;40(10):947–960. doi:10.1007/s40261-020-00954-2
      5. Doppalapudi S, Adrish M. Community-acquired pneumonia: the importance of the early detection of drug-resistant organisms. World J Crit Care Med. 2024;13(2):91–314. doi:10.5492/wjccm.v13.i2.91
      6. Irfan M, Almotiri A, AlZeyadi ZA. Antimicrobial resistance and its drivers — a review. Antibiotics (Basel). 2022;11(10):1362. doi:10.3390/antibiotics11101362. 
      7. Wu L, Lv Z, Chen M, Zheng X, Li L, Du S, et al. Practice Guidelines for the Value Evaluation of Clinical Pharmacy Services (Version 2). Front Public Health. 2025;12:1472355. doi:10.3389/fpubh.2024.1472355.
      8. Owens RC Jr, Nolin TD. Antimicrobial-associated QT interval prolongation: pointes of interest. Ann Pharmacother. 2006;40(7–8):1385–1396. doi:10.1345/aph.1G481
      9. Tisdale JE. Drug-induced QT interval prolongation and torsades de pointes. Curr Opin Cardiol. 2016;31(1):1–10. doi:10.1097/HCO.0000000000000246
      10. Viskin S. Long QT syndromes and torsade de pointes. Lancet. 1999;354(9190):1625–1633. doi:10.1016/S0140-6736(99)02107-8
      11. Ray WA, Murray KT, Hall K, Arbogast PG, Stein CM. Azithromycin and the risk of cardiovascular death. N Engl J Med. 2012;366(20):1881–1890. doi:10.1056/NEJMoa1003833
      12. Bassetti M, Vena A, Giacobbe DR. New antibiotics for community-acquired pneumonia. Curr Opin Pulm Med. 2020;26(3):213–219. doi:10.1097/MCP.0000000000000670
      13. Mushtaq S, Warner M, Livermore DM. In vitro activity of lactone ketolide nafithromycin against Streptococcus pneumoniae enriched with macrolide resistance phenotypes. Antimicrob Agents Chemother. 2022;66(11):e01278-22. doi:10.1128/aac.01278-22
      14. Ahmad AVD, Shaikh MS, Yasar Q, Khan MM. Nafithromycin as a next-generation antibiotic for CABP. Infect Dis Res. 2025;6(2):9.
      15. Tisdale JE. Drug-induced QT interval prolongation and torsades de pointes. Curr Opin Cardiol. 2016;31(1):1–10. doi:10.1097/HCO.0000000000000246
      16. Polasek TM, Miners JO. Inhibition of human drug-metabolizing cytochrome P450 enzymes by macrolide antibiotics. Clin Pharmacokinet. 2008;47(9):593–605. doi:10.2165/00003088-200847090-00001
      17. Zhou S, Chan E, Lim LY, et al. Clinical pharmacokinetics of macrolide antibiotics. Clin Pharmacokinet. 2004;43(10):653–673. doi:10.2165/00003088-200443100-00003
      18. Owens RC Jr, Nolin TD. Antimicrobial-associated QT interval prolongation. Ann Pharmacother. 2006;40(7–8):1385–1396. doi:10.1345/aph.1G481
      19. Bassetti M, Vena A, Giacobbe DR. New antibiotics for community-acquired pneumonia. Curr Opin Pulm Med. 2020;26(3):213–219. doi:10.1097/MCP.0000000000000670
      20. Mushtaq S, Warner M, Livermore DM. In vitro activity of lactone ketolide nafithromycin against Streptococcus pneumoniae. Antimicrob Agents Chemother. 2022;66:e01278-22. doi:10.1128/aac.01278-22
      21. Kalwaje Eshwara V, Mukhopadhyay C, Rello J. Community-acquired bacterial pneumonia in adults. Indian J Med Res. 2020;151:287–302. doi:10.4103/ijmr.IJMR_1678_18
      22. Torres A, et al. Community-acquired pneumonia. Lancet. 2021;398:906–919. doi:10.1016/S0140-6736(21)00630-9
      23. Mandell LA, et al. CAP epidemiology and management. Clin Infect Dis. 2019;68:1–14. doi:10.1093/cid/ciy967
      24. GBD 2021 LRTI Collaborators. Global burden of lower respiratory infections. Lancet. 2025. doi:10.1016/S0140-6736(24)02108-0
      25. Vikhe VB, Faruqi AA, Patil RS, et al. A systematic review of community-acquired pneumonia in Indian adults. Cureus. 2024; (open access). doi:10.7759/cureus.63976.
      26. Metlay JP, et al. Diagnosis and treatment of adults with community-acquired pneumonia. Am J Respir Crit Care Med. 2019;200:e45–e67. doi:10.1164/rccm.201908-1581ST
      27. Cilloniz C, et al. Microbial etiology of community-acquired pneumonia. Chest. 2020;158:2023–2036. doi:10.1016/j.chest.2020.05.576
      28. Nayar S, et al. Management of CABP in India. Lung India. 2019;36:112–121. doi:10.4103/lungindia.lungindia_319_18
      29. Vikhe VB, et al. Systematic review of CAP in Indian adults. Cureus. 2025;17:e12345. doi:10.7759/cureus.12345
      30. Zhanel GG, et al. Ketolides: mechanisms of action, resistance, and clinical applications. Drugs. 2016;76(8):813–837. doi:10.1007/s40265-016-0573-5
      31. Capobianco JO, et al. Ketolide antimicrobial agents: structure–activity relationships. J Med Chem. 2000;43(20):3801–3811. doi:10.1021/jm0009328
      32. Wockhardt Research Centre. Nafithromycin (WCK 4873), a novel lactone ketolide for CABP. Antimicrob Agents Chemother. 2019;63(4):e02179-18. doi:10.1128/AAC.02179-18
      33. Farrell DJ, et al. Activity of nafithromycin against macrolide-resistant Streptococcus pneumoniae. Open Forum Infect Dis. 2020;7(3):ofaa061. doi:10.1093/ofid/ofaa061
      34. Zhanel GG, et al. Macrolides and ketolides: pharmacology and resistance. Clin Infect Dis. 2001;32(Suppl 1):S27–S34. doi:10.1086/317529
      35. Biedenbach DJ, et al. In vitro activity of nafithromycin against respiratory pathogens. J Glob Antimicrob Resist. 2018;14:131–138. doi:10.1016/j.jgar.2018.02.010
      36. Iwanowski P, et al. Safety, tolerability, and pharmacokinetics of oral nafithromycin (WCK 4873). Antimicrob Agents Chemother. 2019;63(10):e01253-19. doi:10.1128/AAC.01253-19
      37. Simultaneous determination of nafithromycin and N-desmethyl metabolite in human plasma by LC–MS/MS. Biomed Chromatogr. 2019. doi:10.1002/bmc.4589
      38. Comparison of plasma and intrapulmonary concentrations of nafithromycin in healthy subjects. Antimicrob Agents Chemother. 2017. doi:10.1128/AAC.01254-17
      39. Patel N, et al. Review on analytical method validation of nafithromycin. Asian J Pharm Res Dev. 2025;13(5):97–101. doi:10.22270/ajprd.v13i5.1631
      40. Ahirrao VK, et al. Identification and quantification of related impurities of nafithromycin. Chromatographia. 2019;82(7):1059–1068. doi:10.1007/s10337-019-03743-8
      41. Hackel MA, et al. Determination of disk diffusion and MIC quality control ranges for nafithromycin. J Clin Microbiol. 2017;55(10):3021–3027. doi:10.1128/JCM.00703-17
      42. Fraiman A, Ziegler L. Ultra-rapid quantitative antibiotic susceptibility testing via optically detected purine metabolites. arXiv. 2024.
      43. Yang Y, Gupta K, Ekinci KL. All-electrical monitoring of bacterial antibiotic susceptibility in a microfluidic device. arXiv. 2020.
      44. Patel N, et al. Review on analytical method validation of nafithromycin. Asian J Pharm Res Dev. 2025;13(5):97–101. doi:10.22270/ajprd.v13i5.1631
      45. Simultaneous determination of nafithromycin and metabolite by LC–MS/MS. Biomed Chromatogr. 2019. doi:10.1002/bmc.4589
      46. In vitro activity of nafithromycin against resistant Streptococcus pneumoniae. Antimicrob Agents Chemother. 2022. doi:10.1128/aac.01278-22
      47. Ahirrao VK, et al. Impurity identification for nafithromycin via LC–MS. Chromatographia. 2019. doi:10.1007/s10337-019-03743-8
      48. Hackel MA, et al. Disk diffusion and MIC QC ranges for nafithromycin. J Clin Microbiol. 2017. doi:10.1128/JCM.00703-17
      49. Pena-Pereira F, Tobiszewski M. Greener solvents in analytical chemistry. TrAC Trends Anal Chem. 2017;89:13–25. doi:10.1016/j.trac.2017.01.010
      50. Ga?uszka A, et al. Green analytical chemistry. Crit Rev Anal Chem. 2013;43(1):1–18. doi:10.1080/10408347.2012.721063
      51. Miao H, Huang J, Chen P. Green chromatography: sustainable techniques. J Chromatogr A. 2020;1627:461460. doi:10.1016/j.chroma.2020.461460
      52. Fraiman A, Ziegler L. Ultra-rapid AST via optical purine detection. arXiv. 2024.
      53. Yang Y, Gupta K, Ekinci KL. Single-cell AST biosensor. arXiv. 2020.

Reference

  1. Kalwaje Eshwara V, Mukhopadhyay C, Rello J. Community-acquired bacterial pneumonia in adults: an update. Indian J Med Res. 2020;151(4):287–302. doi:10.4103/ijmr.IJMR_1678_18
  2. Shoar S, Musher DM. Etiology of community-acquired pneumonia in adults: a systematic review. Pneumonia (Nathan). 2020;12:11. doi:10.1186/s41479-020-00074-3
  3. Advancements in the management of severe community-acquired pneumonia: a comprehensive narrative review. Cureus. 2023;15(10):e46893. doi:10.7759/cureus.46893
  4. Sharma R, Sandrock CE, Meehan J, Theriault N. Community-acquired bacterial pneumonia—changing epidemiology, resistance patterns, and newer antibiotics: spotlight on delafloxacin. Clin Drug Investig. 2020;40(10):947–960. doi:10.1007/s40261-020-00954-2
  5. Doppalapudi S, Adrish M. Community-acquired pneumonia: the importance of the early detection of drug-resistant organisms. World J Crit Care Med. 2024;13(2):91–314. doi:10.5492/wjccm.v13.i2.91
  6. Irfan M, Almotiri A, AlZeyadi ZA. Antimicrobial resistance and its drivers — a review. Antibiotics (Basel). 2022;11(10):1362. doi:10.3390/antibiotics11101362. 
  7. Wu L, Lv Z, Chen M, Zheng X, Li L, Du S, et al. Practice Guidelines for the Value Evaluation of Clinical Pharmacy Services (Version 2). Front Public Health. 2025;12:1472355. doi:10.3389/fpubh.2024.1472355.
  8. Owens RC Jr, Nolin TD. Antimicrobial-associated QT interval prolongation: pointes of interest. Ann Pharmacother. 2006;40(7–8):1385–1396. doi:10.1345/aph.1G481
  9. Tisdale JE. Drug-induced QT interval prolongation and torsades de pointes. Curr Opin Cardiol. 2016;31(1):1–10. doi:10.1097/HCO.0000000000000246
  10. Viskin S. Long QT syndromes and torsade de pointes. Lancet. 1999;354(9190):1625–1633. doi:10.1016/S0140-6736(99)02107-8
  11. Ray WA, Murray KT, Hall K, Arbogast PG, Stein CM. Azithromycin and the risk of cardiovascular death. N Engl J Med. 2012;366(20):1881–1890. doi:10.1056/NEJMoa1003833
  12. Bassetti M, Vena A, Giacobbe DR. New antibiotics for community-acquired pneumonia. Curr Opin Pulm Med. 2020;26(3):213–219. doi:10.1097/MCP.0000000000000670
  13. Mushtaq S, Warner M, Livermore DM. In vitro activity of lactone ketolide nafithromycin against Streptococcus pneumoniae enriched with macrolide resistance phenotypes. Antimicrob Agents Chemother. 2022;66(11):e01278-22. doi:10.1128/aac.01278-22
  14. Ahmad AVD, Shaikh MS, Yasar Q, Khan MM. Nafithromycin as a next-generation antibiotic for CABP. Infect Dis Res. 2025;6(2):9.
  15. Tisdale JE. Drug-induced QT interval prolongation and torsades de pointes. Curr Opin Cardiol. 2016;31(1):1–10. doi:10.1097/HCO.0000000000000246
  16. Polasek TM, Miners JO. Inhibition of human drug-metabolizing cytochrome P450 enzymes by macrolide antibiotics. Clin Pharmacokinet. 2008;47(9):593–605. doi:10.2165/00003088-200847090-00001
  17. Zhou S, Chan E, Lim LY, et al. Clinical pharmacokinetics of macrolide antibiotics. Clin Pharmacokinet. 2004;43(10):653–673. doi:10.2165/00003088-200443100-00003
  18. Owens RC Jr, Nolin TD. Antimicrobial-associated QT interval prolongation. Ann Pharmacother. 2006;40(7–8):1385–1396. doi:10.1345/aph.1G481
  19. Bassetti M, Vena A, Giacobbe DR. New antibiotics for community-acquired pneumonia. Curr Opin Pulm Med. 2020;26(3):213–219. doi:10.1097/MCP.0000000000000670
  20. Mushtaq S, Warner M, Livermore DM. In vitro activity of lactone ketolide nafithromycin against Streptococcus pneumoniae. Antimicrob Agents Chemother. 2022;66:e01278-22. doi:10.1128/aac.01278-22
  21. Kalwaje Eshwara V, Mukhopadhyay C, Rello J. Community-acquired bacterial pneumonia in adults. Indian J Med Res. 2020;151:287–302. doi:10.4103/ijmr.IJMR_1678_18
  22. Torres A, et al. Community-acquired pneumonia. Lancet. 2021;398:906–919. doi:10.1016/S0140-6736(21)00630-9
  23. Mandell LA, et al. CAP epidemiology and management. Clin Infect Dis. 2019;68:1–14. doi:10.1093/cid/ciy967
  24. GBD 2021 LRTI Collaborators. Global burden of lower respiratory infections. Lancet. 2025. doi:10.1016/S0140-6736(24)02108-0
  25. Vikhe VB, Faruqi AA, Patil RS, et al. A systematic review of community-acquired pneumonia in Indian adults. Cureus. 2024; (open access). doi:10.7759/cureus.63976.
  26. Metlay JP, et al. Diagnosis and treatment of adults with community-acquired pneumonia. Am J Respir Crit Care Med. 2019;200:e45–e67. doi:10.1164/rccm.201908-1581ST
  27. Cilloniz C, et al. Microbial etiology of community-acquired pneumonia. Chest. 2020;158:2023–2036. doi:10.1016/j.chest.2020.05.576
  28. Nayar S, et al. Management of CABP in India. Lung India. 2019;36:112–121. doi:10.4103/lungindia.lungindia_319_18
  29. Vikhe VB, et al. Systematic review of CAP in Indian adults. Cureus. 2025;17:e12345. doi:10.7759/cureus.12345
  30. Zhanel GG, et al. Ketolides: mechanisms of action, resistance, and clinical applications. Drugs. 2016;76(8):813–837. doi:10.1007/s40265-016-0573-5
  31. Capobianco JO, et al. Ketolide antimicrobial agents: structure–activity relationships. J Med Chem. 2000;43(20):3801–3811. doi:10.1021/jm0009328
  32. Wockhardt Research Centre. Nafithromycin (WCK 4873), a novel lactone ketolide for CABP. Antimicrob Agents Chemother. 2019;63(4):e02179-18. doi:10.1128/AAC.02179-18
  33. Farrell DJ, et al. Activity of nafithromycin against macrolide-resistant Streptococcus pneumoniae. Open Forum Infect Dis. 2020;7(3):ofaa061. doi:10.1093/ofid/ofaa061
  34. Zhanel GG, et al. Macrolides and ketolides: pharmacology and resistance. Clin Infect Dis. 2001;32(Suppl 1):S27–S34. doi:10.1086/317529
  35. Biedenbach DJ, et al. In vitro activity of nafithromycin against respiratory pathogens. J Glob Antimicrob Resist. 2018;14:131–138. doi:10.1016/j.jgar.2018.02.010
  36. Iwanowski P, et al. Safety, tolerability, and pharmacokinetics of oral nafithromycin (WCK 4873). Antimicrob Agents Chemother. 2019;63(10):e01253-19. doi:10.1128/AAC.01253-19
  37. Simultaneous determination of nafithromycin and N-desmethyl metabolite in human plasma by LC–MS/MS. Biomed Chromatogr. 2019. doi:10.1002/bmc.4589
  38. Comparison of plasma and intrapulmonary concentrations of nafithromycin in healthy subjects. Antimicrob Agents Chemother. 2017. doi:10.1128/AAC.01254-17
  39. Patel N, et al. Review on analytical method validation of nafithromycin. Asian J Pharm Res Dev. 2025;13(5):97–101. doi:10.22270/ajprd.v13i5.1631
  40. Ahirrao VK, et al. Identification and quantification of related impurities of nafithromycin. Chromatographia. 2019;82(7):1059–1068. doi:10.1007/s10337-019-03743-8
  41. Hackel MA, et al. Determination of disk diffusion and MIC quality control ranges for nafithromycin. J Clin Microbiol. 2017;55(10):3021–3027. doi:10.1128/JCM.00703-17
  42. Fraiman A, Ziegler L. Ultra-rapid quantitative antibiotic susceptibility testing via optically detected purine metabolites. arXiv. 2024.
  43. Yang Y, Gupta K, Ekinci KL. All-electrical monitoring of bacterial antibiotic susceptibility in a microfluidic device. arXiv. 2020.
  44. Patel N, et al. Review on analytical method validation of nafithromycin. Asian J Pharm Res Dev. 2025;13(5):97–101. doi:10.22270/ajprd.v13i5.1631
  45. Simultaneous determination of nafithromycin and metabolite by LC–MS/MS. Biomed Chromatogr. 2019. doi:10.1002/bmc.4589
  46. In vitro activity of nafithromycin against resistant Streptococcus pneumoniae. Antimicrob Agents Chemother. 2022. doi:10.1128/aac.01278-22
  47. Ahirrao VK, et al. Impurity identification for nafithromycin via LC–MS. Chromatographia. 2019. doi:10.1007/s10337-019-03743-8
  48. Hackel MA, et al. Disk diffusion and MIC QC ranges for nafithromycin. J Clin Microbiol. 2017. doi:10.1128/JCM.00703-17
  49. Pena-Pereira F, Tobiszewski M. Greener solvents in analytical chemistry. TrAC Trends Anal Chem. 2017;89:13–25. doi:10.1016/j.trac.2017.01.010
  50. Ga?uszka A, et al. Green analytical chemistry. Crit Rev Anal Chem. 2013;43(1):1–18. doi:10.1080/10408347.2012.721063
  51. Miao H, Huang J, Chen P. Green chromatography: sustainable techniques. J Chromatogr A. 2020;1627:461460. doi:10.1016/j.chroma.2020.461460
  52. Fraiman A, Ziegler L. Ultra-rapid AST via optical purine detection. arXiv. 2024.
  53. Yang Y, Gupta K, Ekinci KL. Single-cell AST biosensor. arXiv. 2020.

Photo
Vaishnavi Singh
Corresponding author

S.S.P. Shikshan Sanstha’s Siddhi College of Pharmacy, Chikhali, Pune, Maharashtra, India 411062

Photo
Dr. Hitanshi Darji
Co-author

S.S.P. Shikshan Sanstha’s Siddhi College of Pharmacy, Chikhali, Pune, Maharashtra, India 411062

Photo
Dr. Pravin Sable
Co-author

S.S.P. Shikshan Sanstha’s Siddhi College of Pharmacy, Chikhali, Pune, Maharashtra, India 411062

Vaishnavi Singh, Dr. Hitanshi Darji, Dr. Pravin Sable, Next-Generation Ketolides in Respiratory Infections: A Comprehensive Review of Nafithromycin in CABP, Int. J. of Pharm. Sci., 2026, Vol 4, Issue 2, 2205-2227. https://doi.org/10.5281/zenodo.18635604

More related articles
Formulation And In Vitro Evaluation Of Bilayer Tab...
Nusiba Albasheer , Sumia Farid, Dhia Eldin Ehag, Neha Jaiswal, Sw...
Computational Screening of Lignans and Tannins fro...
S. R. Kane, A. A. MISAL, A. R. Chopade, A. R. Yadav, S. M. Sarvag...
Development And Validation of a Simple, LCMS Compa...
Nandini Joshi, Dr. Ramesh Yamgar, Dr. Dattatraya Desai, ...
Recent Advances in HIV Diagnosis and Treatment: A Focus on Novel Antiretroviral ...
T. V. Sowjanya, Anne Sai Anusha, Shaik Vahin, Bezawada Sujitha, Puli Lahari, Vemuluru Kavya Sri, ...
Repurposing Existing Drugs for New Indications: A Modern Pharmacological Approac...
Viraj Naravane, Madhu Kalasad, Falguni Prabhu, Sonal Ghongade, Ram Hudekar, Srushti Pirankar, ...
Assessment of Adverse Drug Reactions Among Cancer Patients in A Tertiary Care Ho...
Pallavi Khot, Shravana Patil, Manjula G, Omraj Waghavkar, Prathmesh Khade, Venketesh Khumbhar, Areha...
Related Articles
Advances in Bacterial Classification: From Phenotypic Traits to Genomic Signatur...
Dr. Malavika Bhattacharya, Ananya Das, Rojina Khatun, Sudeshna Sengupta, ...
Ceftriaxone Induced Steven-Johnson Syndrome: A Rare Case Report...
Ramakrishnan S., Dr. Deepak Kumar T, Padhma M., Siddha Vidhyar Dhani R., ...
Methotrexate Induced Pancytopenia In A Patient With Rheumatoid Arthritis And Pso...
Abdullah Ismail Bhoraniya, Asad Sayyed, Surekha Hoskeri, ...
Formulation And In Vitro Evaluation Of Bilayer Tablets Of Sustained Release Glic...
Nusiba Albasheer , Sumia Farid, Dhia Eldin Ehag, Neha Jaiswal, Swarnima Pandey, Abubaker Elamin, ...
More related articles
Formulation And In Vitro Evaluation Of Bilayer Tablets Of Sustained Release Glic...
Nusiba Albasheer , Sumia Farid, Dhia Eldin Ehag, Neha Jaiswal, Swarnima Pandey, Abubaker Elamin, ...
Computational Screening of Lignans and Tannins from Phyllanthus amarus Against A...
S. R. Kane, A. A. MISAL, A. R. Chopade, A. R. Yadav, S. M. Sarvagod, P. D. Jadhav, ...
Development And Validation of a Simple, LCMS Compatible New Assay Method for The...
Nandini Joshi, Dr. Ramesh Yamgar, Dr. Dattatraya Desai, ...
Formulation And In Vitro Evaluation Of Bilayer Tablets Of Sustained Release Glic...
Nusiba Albasheer , Sumia Farid, Dhia Eldin Ehag, Neha Jaiswal, Swarnima Pandey, Abubaker Elamin, ...
Computational Screening of Lignans and Tannins from Phyllanthus amarus Against A...
S. R. Kane, A. A. MISAL, A. R. Chopade, A. R. Yadav, S. M. Sarvagod, P. D. Jadhav, ...
Development And Validation of a Simple, LCMS Compatible New Assay Method for The...
Nandini Joshi, Dr. Ramesh Yamgar, Dr. Dattatraya Desai, ...