View Article

Abstract

Quinoline and its derivatives represent a vital class of heterocyclic compounds with wide-ranging pharmacological properties, including antimalarial, antimicrobial, anticancer, and anti-inflammatory activities. This comprehensive review explores the chemistry, isolation, biosynthesis, identification, and bioactivity of quinoline-based compounds, with a particular focus on quinine, a natural alkaloid derived from cinchona bark. The isolation and identification techniques of quinine are detailed, alongside a discussion of its complex stereochemistry and chemical reactivity. Biosynthetic pathways highlight the enzymatic and molecular transformations leading to the quinoline core. Furthermore, the review evaluates the bioactivity of quinine and its derivatives, particularly their antimicrobial and anti-inflammatory potentials, and their applications in the treatment of infectious and inflammatory diseases. The development of quinoline-based therapeutics, including fluoroquinolones, underscores the scaffold's importance in modern medicinal chemistry. Despite their broad utility, challenges such as toxicity and drug resistance remain, necessitating continued interdisciplinary research for the optimization of quinoline-based drug design and application.

Keywords

Quinoline, Antimicrobial, Anti-inflammatory, Anti-malarial, Cinchona, Antifungal, Tryptamine

Introduction

The quinoline nucleus is an important class of heterocyclic compounds that is present in many synthetic and natural products with broad pharmacological activities, including anti-viral, anti-cancer, anti-bacterial, anti-fungal, anti-obesity, and anti-inflammatory, as evidenced by the growing number of drugs available that include this heterocyclic class.  The source materials for these quinoline derivatives that will be evaluated against TB were the malaria drugs quinine, chloroquine, mefloquine, primaquine, and amodiaquine (Fig. 1), which had moderate biological activity against TB, and were also evaluated by us using the Microplate Alamar Blue Assay.[1][2]

Figure 1: Structure of Quinine

Isolation of Quinine:

1. Moisten powdered cinchona (50gm) with ammonia water and allow it to stand for an hour,   then hot water is added. To the mixture, after cooling, milk of lime is added and the whole   evaporated to dryness.

2. Dry at room temperature or below 60°C.

3. Pack the material in Soxhlet apparatus and extract with toluene for 6 hours.

4. Extract the toluene extract with dilute sulfuric acid under stirring conditions.

5. Separate the acidic aqueous liquid, neutralize the acidulated layer, and allow standing when     neutral sulfates of the alkaloid (quinine, cinchonine, cinchonidine) are crystallized out.

6. Dissolve the crude quinine sulfate in water, decolorize with charcoal and recrystallize until the cinchonidine and cinchonine are reduced to the required percentage.

7. Weigh and determine its melting point (177°C).[2][3]

Identification Test of Quinine:

1. Thalleioquin Test (Green Fluorescence Test)

Procedure: Dissolve a small amount of quinine sulfate in dilute acetic acid.

Add a few drops of bromine water (or chlorine water).Then add excess ammonia solution.

Observation: A green fluorescence or emerald-green color appears.

Mechanism: The test is based on the oxidation of quinine, forming thalleioquin, which fluoresces green under ammonia.

2. Fluorescence Test (Under UV Light)

Procedure: Dissolve quinine in water or dilute sulfuric acid. Expose the solution to UV light (365 nm).

Observation: A strong blue fluorescence is observed due to the quinoline ring structure.

Note: This property is used in tonic water, which glows blue under UV light.

3. Acid-Sulfate Test

Procedure: Dissolve quinine in dilute sulfuric acid. Observe the solution under UV light.

Observation: Intense blue fluorescence.

Confirmation: The fluorescence disappears upon adding hydrochloric acid but reappears when neutralized with ammonia.

4. Mayer’s Test (General Alkaloid Test)

Procedure: Add Mayer’s reagent (potassium mercuric iodide solution) to a quinine solution.

Observation: A white or creamy precipitate forms, indicating the presence of an alkaloid.

5. Dragendorff’s Test (General Alkaloid Test)

Procedure: Add Dragendorff’s reagent (potassium bismuth iodide) to a quinine solution.

Observation: An orange-brown precipitate forms, confirming alkaloid presence.

6. Erythroquinine Test (Red Color Formation)

Procedure: Treat quinine with glacial acetic acid and concentrated sulfuric acid.

Observation: A red color develops (due to the formation of erythroquinine).[3]

Chemistry of Quinine:

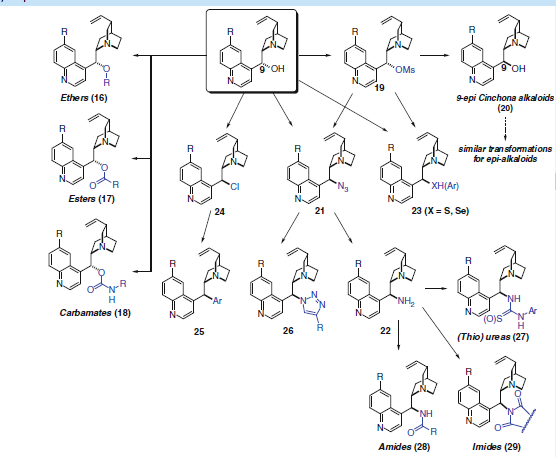
Quinoline-type Cinchona alkaloids (1–4) consist of an aromatic quinoline (or 60-methoxyquinoline) ring joined to the bulky bicyclic quinuclidine moiety by a carbinol linker C-9. Each Cinchona alkaloid contains five stereogenic centers atC-9, C-8, C-4, C-3, and N-1. Although quinine and quinidine as well as cinchonidine and cinchonine, are diastereoisomers, they are often called pseudoenantiomers because the crucial for the catalytic or chiral discrimination of 1,2-aminoalcohol functionality remains enantiomeric in these pairs (however, diastereomeric rather than enantiomeric character is sometimes observed in various applications. The chemistry of the Cinchona alkaloids involves a typical reactivity of their fragments such as a hydroxyl group at C-9 or a vinyl group at C-3, and two basic nitrogen atoms incorporated into quinuclidine and quinoline, as well as more specific transformation occurring with a rearrangement of their carbon skeleton. The most popular way to modify alkaloids 1–4 is a derivatization of the alcohol or a replacement of the hydroxyl group with retention or inversion of the absolute configuration at C-9. Alkaloids could be easily transformed into the corresponding 9-O-ethers 16, esters 17, and carbamates 18. There are only a few reports on the nucleophilic substitution of the aromatic quinoline ring of Cinchona alkaloids. Typically, 20-substituted products 48 are observed , but the sterically less demanding Grignard reagents add selectively to 40-carbon. This leads to the loss of aromaticity and to unexpected formation of bicyclic N,O-acetals. An interesting variant of a selective functionalization of quinoline ring of quinine either in 20 or in 30 position bymetalationhas recently  been reported by the Knochel group .[4][5][6][7][8]

Figure 2: Chemistry of Quinine

Sar of Quinoline:

Quinoline Ring Modifications:

7-chloro group: A chlorine atom at the 7-position of the quinoline ring is crucial for optimal antimalarial activity.

3-methyl group: A methyl group at the 3-position reduces activity.

8-methyl group: An additional methyl group at the 8-position abolishes activity.

2. Quinuclidine Ring:

The quinuclidine ring, with its bicyclic structure, is essential for quinine's activity. Modifications to this ring can impact both activity and toxicity.

3. Side Chain:

Dialkylaminoalkyl side chain:

The side chain attached to the quinuclidine nitrogen (usually a dialkylaminoalkyl group) is important for activity. The optimal length is 2-5 carbons between the nitrogen atoms, with a 4-diethylaminomethyl butyl side chain being particularly effective.

Substitutions on the side chain:

Introducing a hydroxyl group on one of the ethyl groups of the tertiary amine (hydroxyquinolines) can reduce toxicity.

Aromatic rings in the side chain:

Incorporating an aromatic ring into the side chain (as in amodiaquine) can also lead to reduced toxicity and increased activity.

4. Stereochemistry:

Quinine's stereochemistry, particularly at the C-8 and C-9 positions, is crucial for its activity. The stereoisomer of quinine, quinidine, has different stereocenters and exhibits different pharmacological properties.[2]

Biosynthesis Of Quinine:

In the first step of quinine biosynthesis, the enzyme strictosidine synthase catalyzes a stereoselective Pictet–Spengler reaction between tryptamine and secologanin to yield strictosidine. Suitable modification of strictosidine leads to an aldehyde. Hydrolysis and decarboxylation would initially remove one carbon from the iridoid portion and produce corynantheal. Then the tryptamine side-chain were cleaved adjacent to the nitrogen, and this nitrogen was then bonded to the acetaldehyde function to yield cinchonaminal. Ring opening in the indole heterocyclic ring could generate new amine and keto functions. The new quinoline heterocycle would then be formed by combining this amine with the aldehyde produced in the tryptamine side-chain cleavage, giving cinchonidinone. For the last step, hydroxylation and methylation give quinine.[9][10][11]

Step 1: Key Intermediates on the Hypothetical Pathway of Quinine Biosynthesis

Figure 3: Hypothetical pathway

Step 2: Formation of (Dihydro) corynantheal

Figure 4: Formation of Corynantheal

Step 3: Proposed Order of Final Steps

Figure 5: Formation of quinine

Bioactivity Of Quinine:

1. Antimicrobial Activity

Quinine (C20H24N2O2), an alkaloid derived from the bark of the cinchona tree, has been used in medical treatment as an antimalarial drug for centuries because it exhibits specific toxicity against Plasmodium, which has no resistance. Along with its antimalarial activity, gradually, quinine has been reported to possess other pharmaceutical properties, including anti-inflammatory and anticancer. Quinine derivatives were obtained from the chemical synthesis reaction through the quinine esterification process. The ester compounds were identified by spectroscopy (UV-Vis, NMR, LC-MS, and FTIR). In this present study, we synthesized several derivative compounds of quinine with specific functional groups with the purpose of understanding how different functional groups serve different antimicrobial actions. Nalidixic acid was the first of this group of compounds to be introduced and was used for the treatment of urinary tract infections in the 1960s. In the 1980s, a succession of quinolone antimicrobials were introduced that differed from nalidixic acid by having a fluorine substituent in the 6-position and a piperazinyl derivative in the 7-position. These compounds are often referred to as fluoroquinolones. They are broad-spectrum antimicrobials and are used to treat sexually transmitted diseases and infections of the urinary tract, gastrointestinal tract, respiratory tract, skin, and bones and joints. Disk diffusion test was performed for screening of antimicrobial activity of quinine derivatives. The results were evaluated and compared with the reference drug streptomycin. It was found that quinine derivatives showed moderate antimicrobial activity as compared with quinine itself on the tested pathogenic bacterial strains. Ester quinine propionate was found to give the highest antibacterial activity among other derivatives, with a range of inhibition zone from 9 to 23.5 mm against bacterial strains, compared to streptomycin with a range of inhibition zones from 8 to 12 mm. Further studies are needed to assess the bactericidal mechanisms of those derivative compounds.[12][13][14]

2. Anti-Inflammatory Activity

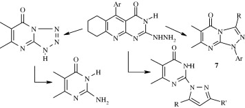
Inflammation can be defined as a generalized, nonspecific but beneficial response of tissues to injury. It comprises a complex array of adaptive responses to tissue injury, which are both local and systemic. The local responses result in the recruitment of phagocytic cells and the removal of endogenous or foreign material. The systemic responses may alter the milieu interior to allow these processes to occur more efficiently . The cellular processes of inflammation fall into four major groups: changes in blood flow caused by changes in smooth muscle cell function, causing vasodilatation, alterations in vascular permeability engendered by cytoskeletal contraction in endothelial cells, migration of phagocytic leukocytes to the site of inflammation, and phagocytosis. Quinolines have garnered significant interest due to their broad spectrum of pharmacological activities, particularly their capacity to modulate key inflammatory pathways. These include acting as inhibitors of cyclooxygenase-2 (COX-2), phosphodiesterase 4 (PDE4), and tumor necrosis factor-α converting enzyme (TACE), as well as serving as antagonists of the transient receptor potential vanilloid 1 (TRPV1) receptor. In addition to their anti-inflammatory potential, quinoline derivatives have also been extensively reviewed for their anticancer, antimalarial, and antimicrobial properties.[15][16]

CONCLUSION:

Quinoline alkaloids constitute an important class of naturally occurring and synthetic compounds with remarkable chemical diversity and a wide range of biological activities, including antimalarial, antimicrobial, anticancer, and anti-inflammatory properties. Their core quinoline structure has served as a valuable scaffold for drug development, exemplified by compounds such as quinine and chloroquine. Recent advancements in analytical techniques, synthetic methodologies, and biosynthetic pathway elucidation have greatly enhanced our understanding of these alkaloids and facilitated the design of more potent and selective derivatives. However, challenges remain in improving their pharmacokinetic profiles and reducing toxicity. Continued interdisciplinary research integrating natural product chemistry, medicinal chemistry, and pharmacology is essential for unlocking the full therapeutic potential of quinoline alkaloids and addressing emerging global health challenges.

ACKNOWLEDGEMENT:

We want to offer this endeavour to GOD ALMIGHTY for all the blessings showered on us during the course of this review. We take the privilege to acknowledge all those who helped in the completion of the review. At first, we express a deep sense of gratitude and indebtedness to the Department of Pharmaceutical Chemistry of Mar Dioscorus College of Pharmacy for helping in the completion of our review. We are extremely grateful to our Principal for her guidance and valuable suggestions, which helped to complete our work. We are deeply obliged to Mrs. Rachel Mathew , our guide as well as mentor, for her guidance, immense knowledge, insightful comments, constant support, and encouragement, which helped us complete our work within the time schedule. We express our sincere gratitude to, Mrs. Rachel Mathew our co-guide, Mrs.Vani V , for sharing her expertise by giving constructive comments and suggestions upon reviewing our study.

REFERENCES

  1. Laura M. Ferreira, Pilar García-García, Pablo A. García, María Ángeles Castro, A review on quinolines: New green synthetic methods and bioactive potential, European Journal of Pharmaceutical Sciences, Volume 209, 2025, 107097, ISSN 0928-0987,
  2. Song ChE (ed) (2009) Cinchona alkaloids in synthesis & catalysis. Wiley-VCH, Weinheim
  3. HiemstraH,MarcelliT(2010)Synthesis:1229
  4. KacprzakK,Gawron ´skiJ(2001)Synthesis:961
  5. TianS-K, ChenY, HangJ, TangL, McDaidP, DengL(2004)AccChemRes37:621
  6. JohannsonCCC,BremeyerN,LeySV,OwenDR,SmithSC,GauntMJ(2006)AngewChem IntEd45:6024
  7. LeeA, MichrowskaA, Sulzer-MosseS, ListB(2011)AngewChemIntEd50:1707
  8.  Hintermann L ,SchmitzM,EnglertU(2007)AngewChemIntEd46:5164
  9. Trenti F, Yamamoto K, Hong B, Paetz C, Nakamura Y, O’Connor SE. Early and late steps of quinine biosynthesis. Org Lett. 2021;23(5):1793–1797. doi:10.1021/acs.orglett.1c00206.
  10. Medicinal natural products : a biosynthetic approach (3rdition ed.). Wiley. pp. 380–381. ISBN 9780470742761.
  11. O'Connor SE, Maresh JJ (August 2006). "Chemistry and biology of monoterpene indole alkaloid biosynthesis". Natural Product Reports. 23 (4): 532–547. doi:10.1039/b512615k. PMID 16874388.
  12. F. O’Donnell, T.J.P. Smyth, V.N. Ramachandran, W.F. Smyth,A study of the antimicrobial activity of selected synthetic and naturally occurring quinolines, International Journal of Antimicrobial Agents,Volume 35, Issue 1,2010, Pages 30-38, ISSN 0924-8579, https://doi.org/10.1016/j.ijantimicag.2009.06.031.
  13. O’Neill J 2014 Review on Antimicrobial Resistance: Tackling a crisis for the health and wealth of nation (London: Review on Antimicrobial Resistance)
  14. David Greenwood, The quinine connection, Journal of Antimicrobial Chemotherapy, Volume 30, Issue 4, October 1992, Pages 417–427, https://doi.org/10.1093/jac/30.4.417
  15. Abdel-Rahman B.A. El-Gazzar, Mervat M. El-Enany, Mahmoud N. Mahmoud,.Synthesis, analgesic, anti-inflammatory, and antimicrobial activity of some novel pyrimido[4,5-b]quinolin-4-ones, Bioorganic & Medicinal Chemistry, Volume 16, Issue 6,2008, Pages 3261-3273, ISSN 0968-0896, https://doi.org/10.1016/j.bmc.2007.12.012. 
  16. Soumita Mukherjee, Manojit Pal, 1812.Quinolines: a new hope against inflammation, Drug Discovery Today, Volume 18, Issues 7–8, 2013, Pages 389-398, ISSN 1359-6446, https://doi.org/10.1016/j.drudis.2012.11.003.

Reference

  1. Laura M. Ferreira, Pilar García-García, Pablo A. García, María Ángeles Castro, A review on quinolines: New green synthetic methods and bioactive potential, European Journal of Pharmaceutical Sciences, Volume 209, 2025, 107097, ISSN 0928-0987,
  2. Song ChE (ed) (2009) Cinchona alkaloids in synthesis & catalysis. Wiley-VCH, Weinheim
  3. HiemstraH,MarcelliT(2010)Synthesis:1229
  4. KacprzakK,Gawron ´skiJ(2001)Synthesis:961
  5. TianS-K, ChenY, HangJ, TangL, McDaidP, DengL(2004)AccChemRes37:621
  6. JohannsonCCC,BremeyerN,LeySV,OwenDR,SmithSC,GauntMJ(2006)AngewChem IntEd45:6024
  7.  LeeA, MichrowskaA, Sulzer-MosseS, ListB(2011)AngewChemIntEd50:1707
  8.  Hintermann L ,SchmitzM,EnglertU(2007)AngewChemIntEd46:5164
  9. Trenti F, Yamamoto K, Hong B, Paetz C, Nakamura Y, O’Connor SE. Early and late steps of quinine biosynthesis. Org Lett. 2021;23(5):1793–1797. doi:10.1021/acs.orglett.1c00206.
  10. Medicinal natural products : a biosynthetic approach (3rdition ed.). Wiley. pp. 380–381. ISBN 9780470742761.
  11. O'Connor SE, Maresh JJ (August 2006). "Chemistry and biology of monoterpene indole alkaloid biosynthesis". Natural Product Reports. 23 (4): 532–547. doi:10.1039/b512615k. PMID 16874388.
  12. F. O’Donnell, T.J.P. Smyth, V.N. Ramachandran, W.F. Smyth,A study of the antimicrobial activity of selected synthetic and naturally occurring quinolines, International Journal of Antimicrobial Agents,Volume 35, Issue 1,2010, Pages 30-38, ISSN 0924-8579, https://doi.org/10.1016/j.ijantimicag.2009.06.031.
  13. O’Neill J 2014 Review on Antimicrobial Resistance: Tackling a crisis for the health and wealth of nation (London: Review on Antimicrobial Resistance)
  14. David Greenwood, The quinine connection, Journal of Antimicrobial Chemotherapy, Volume 30, Issue 4, October 1992, Pages 417–427, https://doi.org/10.1093/jac/30.4.417
  15. Abdel-Rahman B.A. El-Gazzar, Mervat M. El-Enany, Mahmoud N. Mahmoud,.Synthesis, analgesic, anti-inflammatory, and antimicrobial activity of some novel pyrimido[4,5-b]quinolin-4-ones, Bioorganic & Medicinal Chemistry, Volume 16, Issue 6,2008, Pages 3261-3273, ISSN 0968-0896, https://doi.org/10.1016/j.bmc.2007.12.012. 
  16. Soumita Mukherjee, Manojit Pal, 1812.Quinolines: a new hope against inflammation, Drug Discovery Today, Volume 18, Issues 7–8, 2013, Pages 389-398, ISSN 1359-6446, https://doi.org/10.1016/j.drudis.2012.11.003.

Photo
Snuja Maria Saji
Corresponding author

Department of Pharmaceutical Chemistry, Mar Dioscorus College of Pharmacy, Alathara, Sreekarym, Thiruvananthapuram.

Photo
Anchu Raj
Co-author

Department of Pharmaceutical Chemistry, Mar Dioscorus College of Pharmacy, Alathara, Sreekarym, Thiruvananthapuram.

Photo
Rachel Mathew
Co-author

Department of Pharmaceutical Chemistry, Mar Dioscorus College of Pharmacy, Alathara, Sreekarym, Thiruvananthapuram.

Photo
Vani V.
Co-author

Department of Pharmaceutical Chemistry, Mar Dioscorus College of Pharmacy, Alathara, Sreekarym, Thiruvananthapuram.

Rachel Mathew, Vani. V., Snuja Maria Saji*, Anchu Raj, The Chemistry and Applications of Quinoline: A Comprehensive Review, Int. J. of Pharm. Sci., 2025, Vol 3, Issue 7, 2719-2726. https://doi.org/10.5281/zenodo.16152275

More related articles
Anti –Oxidant Activity of Methanolic Extract of ...
Vijaya Lakshmi Nandikatti, Pravalika Amanik, Sravani G., ...
Artificial Intelligence In Healthcare: A Review...
Greeshma Ramachandran, Krishnananda Kamath, A R Shabaraya, ...
Significance of Pharmacoepidemiology and Economics...
Singamsetty Naga Lakshmi Malleswari, Veeragandam Satyanarayana, L...
Formulation And Evaluation of Gel Containing Zinc Oxide Nanoparticle of Ketocona...
Vasudev Jitendra Sharma, Mayur Gokul Jayswal, Raza Khan, Dr. Mohd. Rehan Deshmukh, Prof. (Dr.) G. J....
A Review on The Role of Jamun, Syzygium Cumini Skeels In Treatment of Diabetes ...
Shubhangi Jadhav , Tejaswini Bhadake, Dr. Gajanan Sanap, ...
UV Method Of Development For Estimation Of Losartan In Bulk & Marketed Formulati...
Pardeshi Jyotshana Gokul, Sonawane Kalyani Amol, Dashpute Sanket Narendra, Wagh Sheetal Vilas , ...
Related Articles
Exploring the Hypoglycaemic Effects of herbal plant: A Potential Remedy for Diab...
Sonali Akshay Wagh, Ganesh Anil Vitukade, Kanish Mehta, ...
Development and Evaluation of Poly Herbal Orodispersible Films...
Sushmita K., Greeshma V., Akshmitha A., Hansika Reddy V., Rajeshwari P., Harshith B., Vineeth Nayak ...
Mucoadhesive Hydrogel-Based Delivery of Timolol Maleate: A Sustained Release App...
Vivek Sinha, Dr. Deepesh Lall, Dr. Ritesh Jain, Syed Saif Ullah, ...
Anti –Oxidant Activity of Methanolic Extract of Azadirachta Indica Flowers...
Vijaya Lakshmi Nandikatti, Pravalika Amanik, Sravani G., ...
More related articles
Anti –Oxidant Activity of Methanolic Extract of Azadirachta Indica Flowers...
Vijaya Lakshmi Nandikatti, Pravalika Amanik, Sravani G., ...
Artificial Intelligence In Healthcare: A Review...
Greeshma Ramachandran, Krishnananda Kamath, A R Shabaraya, ...
Significance of Pharmacoepidemiology and Economics ...
Singamsetty Naga Lakshmi Malleswari, Veeragandam Satyanarayana, Lakkakula Sai Sathvika, Bhukya Sriva...
Anti –Oxidant Activity of Methanolic Extract of Azadirachta Indica Flowers...
Vijaya Lakshmi Nandikatti, Pravalika Amanik, Sravani G., ...
Artificial Intelligence In Healthcare: A Review...
Greeshma Ramachandran, Krishnananda Kamath, A R Shabaraya, ...
Significance of Pharmacoepidemiology and Economics ...
Singamsetty Naga Lakshmi Malleswari, Veeragandam Satyanarayana, Lakkakula Sai Sathvika, Bhukya Sriva...