View Article

Abstract

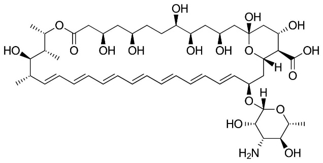
Amphotericin B (AmB), a polyene antifungal agent, exhibits poor aqueous solubility and systemic toxicity, limiting its therapeutic utility in topical fungal infections. This research aimed to develop a nanogel-based drug delivery system to enhance solubility, improve drug release, and reduce toxicity. Nanogels were prepared using the emulsion solvent diffusion method, employing Carbopol 940 and Sodium alginate as gelling and co-polymers, respectively, with DMSO as a solvent. Five formulations (F1–F5) were developed and evaluated based on physical appearance, pH, viscosity, spreadability, percentage drug content, in vitro diffusion, drug release kinetics, production yield, skin irritation potential, particle size, and zeta potential. Among the batches, formulation F4 demonstrated the highest drug content (94.83%), optimal viscosity (4700 cP), and favourable spreadability (8.003 ± 0.041 g.cm/sec). The percentage production yield of the optimized batch F4 was found to be 90.4%. In vitro drug release and diffusion studies for the optimized formulation (F4) demonstrated a cumulative drug release of 97.62% over 8 hours, exhibiting sustained release characteristics. The release kinetics best fitted the Korsmeyer-Peppas model (R² = 0.9895, n = 0.9017), indicating a diffusion-controlled mechanism with anomalous (non-Fickian) transport. The particle size of F4 averaged 195.33 nm with a zeta potential of -23.8 mV, indicating good colloidal stability. Skin irritation study confirmed the formulation as non-irritant. The 1:1 ratio of Carbopol 940 to sodium alginate in formulation F4 was found to be optimal for achieving desirable nanogel characteristics.

Keywords

Amphotericin B, Nanogel, Emulsion solvent diffusion method, Sustained release, Diffusion-controlled kinetics, Korsmeyer-Peppas model, Particle size, Zeta potential.

Introduction

The escalating prevalence of fungal infections, compounded by rising antifungal resistance, underscores an urgent need for innovative therapeutic strategies. Amphotericin B (AmB), a polyene antifungal, exhibits potent activity against a broad spectrum of pathogens, including resistant strains. However, its clinical application is constrained by inherent challenges: extreme hydrophobicity (~1 µg/mL aqueous solubility), negligible skin permeability, and systemic toxicity, particularly nephrotoxicity. To overcome these limitations, novel drug delivery systems (DDS) such as nanogels have emerged as a promising solution, offering enhanced stability, controlled release, and targeted delivery of AmB to the site of infection. [1,2]

Nanogels, characterized by their three-dimensional network structure and high water content, offer significant advantages in drug delivery, including biocompatibility, tunable drug release profiles, and the ability to encapsulate both hydrophilic and lipophilic drugs. [3] Recent studies highlight their potential in topical antifungal therapy, with formulations such as chitosan-based nanogels and cyclodextrin-modified systems demonstrating improved solubility and targeted delivery. [4,5] Despite these advances, optimizing AmB-loaded nanogels for topical use remains underexplored, particularly in balancing polymer compatibility, stability, and patient-centric attributes such as spreadability and non-irritancy. This study addresses these gaps by developing a novel Amphotericin B nanogel using a dual-polymer matrix of Carbopol 940 and sodium alginate, fabricated via the emulsion-solvent diffusion method. [6]

AIM AND OBJECTIVES OF THE STUDY

AIM:

Development and Characterization of Amphotericin B Nanogel based Drug Delivery System for Topical Application

OBJECTIVES:

  1. To develop a novel formulation of nanogel for topical application.
  2. To characterize the physicochemical properties of the nanogel (particle size, zeta potential, viscosity)
  3. To increase the solubility and permeability of AmB gel by nanonization.
  4. To assess the safety through skin irritation studies and stability of the nanogel formulation under accelerated (40°C/75% RH) and ambient (25°C/60% RH) storage conditions.
  5. To increase patient compliance.

By integrating sodium alginate’s bioadhesive properties with Carbopol’s gel-forming capacity, this work aims to establish a robust, patient-friendly formulation that enhances AmB’s topical efficacy while mitigating systemic risks, thereby contributing to the global effort against antifungal resistance. 

DRUG PROFILE [7]

1. AMPHOTERICIN B

  • Generic name: Amphotericin B (Deoxycholate)
  • Category of drug: Antifungal
  • BCS Class: Class -IV
  • Molecular weight: 924.08 g/mol
  • Molecular formula: C47H73NO17
  • Physical state: Solid (crystalline or amorphous powder)
  • Melting point: >170°C
  • Description: It is pale yellow to orange needle crystal or powder
  • Solubility: It is insoluble in water, ethanol, but soluble in acidic DMF, DMSO, and slightly soluble in DMF, acidic or alkaline water-containing lower alcohol.
  • Maximum absorption wavelength: 405- 415 nm
  • Dose: Intravenous (IV) Formulations

Conventional Amphotericin B (Deoxycholate): 0.25–1 mg/kg/day

  • Pharmacokinetics

? Absorption: Bioavailability is 100% for intravenous infusion.

? Distribution: The volume of distribution (Vd) of Amphotericin B is very large, typically Around 4 L/kg (range: 0.5–4 L/kg), indicating extensive tissue distribution.

? Metabolism: Renal

? Excretion: 40% found in urine after single cumulated over several days biliary Excretion also important.

? Bioavailability: 0.3 % following oral administration due to poor absorption.

? Protein binding: Highly bound (>90%) to plasma proteins.

? Plasma half life: An elimination half life of approximately 15 days follows an initial plasma half life of about 24 hours.

  • Indication and usage: Amphotericin B is a potent antifungal agent used to treat severe, life-threatening systemic fungal infections, including:

1. Invasive candidiasis (e.g., bloodstream infections).

2. Cryptococcal meningitis (often in HIV/AIDS patients).

3. Aspergillosis (invasive pulmonary or disseminated forms).

4. Mucormycosis (e.g., rhinocerebral or pulmonary infections).

5. Empirical therapy in febrile neutropenic patients unresponsive to antibiotics.

EXCIPENT PROFILE [8]

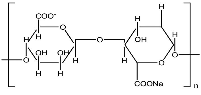
1. SODIUM ALGINATE

  • Chemical Name: Sodium alginate
  • Empirical Formula: (C6H7NaO6)n
  • Molecular Weight: 32,000 to 400,000 Da (Daltons)
  • Functional Category: Stabilizing agent; suspending agent; tablet and capsule Disintegrant; tablet binder; viscosity increasing agent.
  • Description: Sodium alginate occurs as an odourless and tasteless, white to pale yellowish-brown coloured powder
  • Applications: It aids in microencapsulation, nanoparticle formation, and mucoadhesive systems. Applications include gels, buccal tablets, in-situ Gelling, protein/peptide delivery, and wound care.

2. CARBOPOL (Polyacrylic Acid) 940

  • Chemical name: Poly(acrylic acid), poly(1-carboxyethylene)
  • Empirical formula: (C3H4O2)n
  • Molecular weight: 180.20 g/mol
  • Functional category: Rheology Modifier
  • Description: Carbomers are white-coloured, ‘fluffy’, acidic, hygroscopic powders with characteristic slight odour. A granular carbomer is also available (Carbopol 71G).
  • Applications: The neutralized polyacrylic acid gels are suitable biocompatible matrices for medical applications such as gels for skin care products. PAA films can be deposited on Orthopaedic implants to protect them from corrosion.

3. DIMETHYL SULFOXIDE (DMSO)

  • Chemical Name: Sulfinylbismethane
  • Empirical Formula: C2H6OS
  • Molecular Weight: 78.13 g/mol
  • Functional Category: Suspending agent; Penetration agent; solvent.
  • Description: Dimethyl sulfoxide occurs as a colourless, viscous liquid, or as colourless crystals that are miscible with water, alcohol, and ether.
  • Applications: Dimethyl sulfoxide (DMSO) is a highly polar substance that is aprotic solvent with excellent solubilizing capabilities for both organic and inorganic substances

4. POLYETHYLENE GLYCOL 400

  • Chemical Name: α-Hydro-ω-hydroxypoly(oxy-1,2-ethanediyl)
  • Empirical Formula: HOCH2(CH2OCH2)mCH2OH
  • Molecular Weight: 380-420 g/mol
  • Functional Category: Ointment base; plasticizer; solvent; suppository base.
  • Description: PEG 200–600 are clear, viscous liquids with a mild odour and bitter taste.
  • Applications: Polyethylene glycols (PEGs) are widely used in pharmaceutical formulations, including oral, topical, ophthalmic, rectal, and parenteral products.

MATERIALS AND METHODS

1. MATERIALS

Amphotericin B (AmB) was procured from Genetek Lifesciences Pvt. Ltd. (Wardha, India). Polymers: Carbopol 940, Sodium alginate were sourced from Prayogina Laboratories (India). Dimethyl sulfoxide (DMSO), Triethanolamine, Methyl paraben, and Propyl paraben were obtained from Loba Chemicals Pvt. Ltd. And Oxford Lab Fine Chemicals LLP. Phosphate-buffered saline (PBS, pH 7.4) was prepared in-house using potassium dihydrogen phosphate and sodium hydroxide. All chemicals were of analytical grade.

2. METHODS

Preformulation study

  1. Physical characterization of API sample

The API sample was observed visually and viewed under microscope for the determination of its nature and then the result was compared with the official book and Indian Pharmacopoeia 2018. Then sample was evaluated for its colour, nature and odour. Melting point of Amphotericin B sample was determined by using DSC method using a DuPont 2100 thermal analyser system. The moisture content of Amphotericin B was assessed by Karl Fischer titration to ensure minimal water uptake, considering the drug’s potential hygroscopic nature. Solubility studies were conducted in various media including distilled water, DMF, methanol, DMSO, and phosphate buffer (pH 6.8) and phosphate buffer, (pH 7.4) to determine the most suitable solvent system for nanogel formulation.

  1. Analytical Characterization of API Amphotericin B: Drug Identification

A solution of 5µg/ml concentration containing Amphotericin B was prepared in Phosphate Buffer of pH 7.4 and was scanned between 300 to 400 nm for getting the absorbance.

  1. Calibration curve of Amphotericin B in Phosphate buffer of pH 7.4

25 mg drug Amphotericin B was dissolved in phosphate buffer of pH 7.4 with the help of 1.5 ml of DMSO solvent and volume was made up to 25 ml with phosphate buffer pH 7.4 to make stock solution of concentration 1000 µg/ml. Then 0.5 ml of stock solution was taken and diluted up to 100 ml with the buffer of pH 7.4 to get concentration of 5 µg/ml and in similar way dilutions were made as 5, 10, 15, 20, 25 µg/ml respectively and absorbance was measured at 384 nm by UV visible spectrophotometer. The absorbance values were plotted against concentration (µg/ml) to obtain the standard calibration curve.

  1. FTIR Spectroscopy

It’s important to check any kind of interaction between drug candidate and polymer. Polymers intended for incorporation into the formulation should be compatible with the drug.  Pure AmB and individual polymers (Carbopol 940, Sodium alginate) were analysed alongside physical drug-polymer mixtures in combination. Samples (1–2 mg) were triturated with potassium bromide (KBr, 100–150 mg) using an agate mortar, compressed into transparent pellets via hydraulic press, and scanned (Shimadzu DRS-8000A) across 4000–400 cm?¹. The resulting spectra were analysed for the presence of characteristic peaks corresponding to functional groups of Amphotericin B, and further compared with spectra of formulations or physical mixtures to assess any possible drug–excipient interactions.

  1. PREPARATION OF AMPHOTERICIN B NANOGEL

The Amphotericin B nanogel was prepared using the Emulsion Solvent Diffusion method. A 0.1% w/w nanogel formulation was targeted, with a total batch size of 100 ml. Amphotericin B (100 mg) was first dissolved in a minimal quantity of DMSO (5 ml) to ensure complete solubilization. Separately, Carbopol 940 (600-1000 mg) and Sodium alginate (500-700 mg) were dispersed in 100 ml of distilled water under constant stirring to obtain a homogenous gel base.

The drug solution in DMSO was slowly added to the aqueous polymer dispersion under continuous stirring, followed by high-speed homogenization at 6000 rpm for 30 minutes. This process led to the formation of a uniform nanoscale dispersion of the drug within the aqueous polymer matrix. Further homogenization was carried out at 15000 rpm for 1 hour to reduce droplet size and improve uniformity. The pH of the final formulation was adjusted to near-neutral (pH 5.5–6.5) using triethanolamine to optimize gel consistency and stability.

Table No. 1: Formulation table of different batches of Amphotericin B Nanogel

Ingredients (mg/ml)

F1

F2

F3

F4

F5

Amphotericin B (mg)

100

100

100

100

100

Sodium alginate (mg)

500

500

500

700

500

Carbopol 940 (mg)

1000

900

800

700

600

Dimethyl sulfoxide (ml)

5

5

5

5

5

PEG 400 (ml)

-

5

-

-

-

Methyl Parabens (mg)

100

100

100

100

100

Propyl Paraben (mg)

30

30

30

30

30

Triethanolamine (ml)

q.s

q.s

q.s

q.s

q.s

Distilled water (ml)

100

100

100

100

100

EVALUATION OF AMPHOTERICIN B NANOGEL

1. Physical Examination

The nanogels were assessed for organoleptic (colour, appearance) and physical properties (homogeneity, consistency), including smoothness, uniformity, and absence of grittiness, phase separation, or air bubbles. Acceptable nanogels exhibited a smooth, uniform, and aesthetically pleasing texture, suitable for topical application. [9,10]

2. Skin Irritation Study

The skin irritation potential of the final Amphotericin B nanogel was evaluated on human volunteers with informed consent. Approximately 1 g of the formulation was applied to a sensitive area of the skin, such as the inner wrist. The application site was observed for signs of irritation, erythema, or edema at regular intervals. Absence of any visible reaction indicated the formulation is non-irritant and suitable for topical use. [11]

3. Spreadability test

The nanogel’s spreadability was assessed using a sliding plate method. A 1 g sample of nanogel was compressed between glass slides under 1000 g for 5 min to standardize thickness. A 125 g weight was then attached to the upper slide, while the lower slide was anchored to a fixed apparatus. The time (T) required for the upper slide to move a specified distance (L) and separate from the lower slide was recorded in seconds. A shorter separation time indicates better spreadability, which is desirable for enhanced topical application and drug delivery. The spreadability (S) was calculated using the formula: [12]

S = M×L/ T

Where:

S = Spreadability (g·cm/sec)

M = Weight tied to the upper slide (g)

L = Length moved by the slide (cm)

T = Time taken to separate the slides (sec)

4. Drug content

1 gm of Amphotericin B nanogel was accurately weighed and transferred into a 10 ml volumetric flask containing 1 ml DMSO for extraction of drug, followed by sonication for 15-20 minutes to ensure complete extraction and volume was made up to 10 ml with phosphate buffer 7.4 pH. From the above solution, 1 ml was further diluted with 10 ml phosphate buffer to get 10 μg/ml. The resultant solution was filtered through Whatman filter paper and absorbance of the solution was measured at 384 nm using UV spectrophotometer. The drug content of the formulation was determined using the following equation [13]

Drug content (%) = (Actual drug content / Theoretical drug content) × 100

5. Determination of pH

The pH of the Amphotericin B nanogel was determined using a digital pH meter. Approximately 1 g of the gel was dispersed in 100 ml of distilled water in a beaker and allowed to stand for 2 hours at room temperature to equilibrate. The pH electrode was immersed into the dispersion, and the reading was recorded. The measurement was performed in triplicate, and the average pH value was calculated to ensure accuracy and reproducibility. [14]

6. In-Vitro Diffusion study

In vitro drug diffusion of Amphotericin B nanogel was assessed using a modified diffusion cell equipped with a dialysis membrane (flat width: 28.46 mm), which was pre-soaked in pH 7.4 phosphate buffer for 12 h. The nanogel (1 g) was uniformly applied to the membrane, and the receptor compartment was filled with 25 ml phosphate buffer pH 7.4.  The donor compartment was placed in direct contact with the receptor compartment, and the entire assembly was mounted on a magnetic stirrer. The receptor solution was continuously stirred using a magnetic bead, while the temperature was maintained at 37 ± 5°C. Samples (3 ml) were withdrawn at predetermined intervals, replaced with fresh buffer to maintain sink conditions, and analysed via UV-Vis spectrophotometry at 384 nm. Cumulative drug release (%) was calculated over time. [15]

7. Kinetics of In-Vitro Drug Release

The results obtained from in-vitro drug release studies were analysed using various kinetic models to determine the mechanism of drug release. The data were fitted into the following mathematical models: [16]

1. Zero Order Kinetics

2. First Order Kinetics

3. Higuchi Model

4. Hixon-Crowell Model

5. Korsmeyer–Peppas Model

8. Viscosity Determination

The measurement of viscosity of the prepared Amphotericin B nanogel was completed by using Brookfield Viscometer. The Amphotericin B nanogel was rotated at 10 to100 rpm using spindle no. 64. at each speed and the corresponding dial reading was noted. [17]

9. Determination of Percentage production yield

To calculate the percentage production yield of the nanogel formulations, the theoretical mass was determined by summing the total quantities of all excipients and the active pharmaceutical ingredient (API) used in each batch. After formulation, the entire amount of nanogel obtained was carefully collected and accurately weighed to determine the actual mass. The percentage production yield was calculated using the following formula:

Percentage production yield %=Practical weight of NanogelTheoretical weight of ingredientsX 100

10. Particle size measurement

The particle size of nanogel formulations (F1 to F5) was measured using Dynamic Light Scattering (DLS) with a Litesizer at room temperature. Samples were diluted with distilled water and sonicated to prevent aggregation. Mean particle size (Z-average) and PDI were Recorded in triplicate, and average values were reported to ensure accuracy.

11. Determination of Zeta potential

Zeta potential is a measure of the surface charge of colloidal particles and is a critical parameter for evaluating the stability of nanogel formulations. The surface charge, expressed as electrophoretic mobility, was determined using a Zetasizer (Malvern Instruments) equipped with zeta cells-polycarbonate cells with gold-plated electrodes. The measurement was conducted using water as the dispersion medium, and the sample was suitably diluted before analysis. This technique is essential for assessing the electrostatic interactions and predicting the colloidal stability of the formulated Amphotericin B nanogel, as higher magnitude zeta potential values indicate better stability by preventing particle aggregation.

12. Stability study

Stability testing plays a crucial role in the drug development process. The purpose of stability testing is to provide evidence on how the quality of drug product varies with time under the influence of different environmental factors, such as temperature, humidity, and light in order to establish the product’s shelf life and recommended storage conditions. Stability studies were carried out on the optimized formulation according to ICH guidelines. The Amphotericin B nanogel formulation was subjected to 25 ± 2?/60% ± 5% RH and accelerated stability testing 40°C ± 2°C/75% ± 5% RH for two months. At two months’ interval, parameter such as appearance, pH, drug content, in-vitro drug release was evaluated as per the ICH guidelines Q1C.

RESULTS AND DISCUSSION

1. Active pharmaceutical ingredient characterization

Table No. 2: Result of characterization of Amphotericin B

Sr. no.

Evaluation Parameters

Method Used

Observed Result

1

Colour

Visual inspection

Pale yellow to deep

2

State of matter

Optical microscopy

Amorphous powder

3

Odour

Olfactory assessment

Odourless

4

Melting Point

DSC

170-174°C

5

Water content

Karl Fishcher Titration

<8.0 %w/w

2. Solubility studies

Table No. 3: Solubility of Amphotericin B at 25°C in different media

Sr. No.

Media

Solubility (mg/ml)

Remarks

1

Water

0.001

Practically insoluble

2

DMSO

20

Highly soluble

3

DMF

8.25

Sparingly soluble

4

Methanol

2.5

Slightly soluble

5

Phosphate buffer pH 6.8

0.5

Very low soluble

6

Phosphate buffer pH 7.4

0.2

Very low soluble

Conclusion: Amphotericin B shows poor aqueous solubility, with highest solubility in DMSO (20 mg/ml). It is practically insoluble in water and poorly soluble in phosphate buffers, indicating the need for solubility enhancement in formulations.

Fig. 1: Solubility of Amphotericin B in different media

3. Determination of λ max of Amphotericin B by UV- Spectrophotometer

Scanning of Amphotericin B in Phosphate buffer pH 7.4

The absorption maxima of Amphotericin B was determined by scanning the sample drug solution concentration in double beam UV spectrophotometer for range of 384 nm and standard specification given in Indian pharmacopoeia or literature.

4. Standard Calibration curve of Amphotericin B in Phosphate buffer pH 7.4

The absorbance of the solution was measured at 384 nm, using UV spectrophotometer. A graph of absorbance versus concentration was plotted and found to be linear with equation y =0.0163x +0.0012 and R²= 0.9994 which indicate its compliance with Beers-Lambert’s law in concentration range as shown in fig. 2

Table No. 4: Absorbance of Amphotericin B in Phosphate buffer pH 7.4

Sr. no.

Concentration (µg/ml)

Absorbance at 384 nm

1

5

0.079

2

10

0.171

3

15

0.248

4

20

0.326

5

25

0.408

Fig. 2: Standard calibration curve of Amphotericin B in PBS pH 7.4 at 384 nm

5. FTIR of Amphotericin B

Compatibility studies were done by comparing the peaks of pure drug FTIR spectra with that of the peaks of drug-excipient combination spectra. There was no significant change in the peaks of these two spectra which indicated that the drug was compatible with the polymers used in the formulation.

Fig. 3: FTIR spectrum of pure API Amphotericin B

Table No. 5: IR interpretation of Amphotericin B

Sr. No.

Functional group

Peak observed in IR (cm-1)

1

-OH/–NH stretching

3313.38

2

N–H bending/ C-N stretching

1546.43

3

C–H bending

1375.39

4

C–O–C / C–O stretching

1065.96

5

C–O–C / C–O stretching

1001.79

6

C–H out-of-plane bending

845.54

6. FTIR of physical mixture of Amphotericin B with Excipients.

Fig. 4: FTIR Spectrum of Physical Mixture of Amphotericin B with Excipients

Table No. 6: IR interpretation of Physical Mixture of Amphotericin B with Excipients

Sr. No.

Peak observed in IR

(cm-1)

Functional group

Belongs to

1

854.47

C–H out-of-plane bending

Amphotericin B

2

1008.77

C–O–C / C–O stretching

Amphotericin B

3

1065.57

C–O–C / C–O stretching

Amphotericin B

4

1541.12

C=C stretching or C-N stretching

Sodium Alginate and Amphotericin B

5

2929.87

C–H stretching

Sodium Alginate

6

2351.23

C≡N stretching

Carbopol 940

7

3523.95

-OH/–NH stretching

Carbopol 940 and Sodium Alginate

8

1340.53

–CH3 / –CH2 bending

Amphotericin B and Carbopol 940

Discussion: Based on the FTIR spectral analysis of pure Amphotericin B and its physical mixture with all excipients (Sodium alginate, Carbopol 940), no significant peak shifts, new interactions, or degradation of products were observed.

Conclusion: Thus, Amphotericin B is COMPATIBLE with the selected excipients based on FTIR analysis, confirming its stability in the proposed formulation.

7. Characterization and Evaluation of Amphotericin B Nanogel (F1-F5)

The prepared nanogels were visually evaluated for clarity, colour, homogeneity, presence of particulate matter, and grittiness. Smears of the gel were prepared on glass slides and observed under a microscope to detect any particulate matter.

  1. Physical characterization of Amphotericin B Nanogel Formulation

Table No. 7:  Physical characteristics of the Nanogel formulation F1-F5

Formulation code

Colour

Texture

Consistency

Homogeneity

F1

Yellow ochre

Smooth

Excellent

Homogeneous

F2

Yellow ochre

Smooth

Good

Homogeneous

F3

Yellow ochre

Smooth

Excellent

Homogeneous

F4

Yellow ochre

Smooth

Excellent

Homogeneous

F5

Yellow ochre

Smooth

Good

Homogeneous

Table No. 8:  Organoleptic evaluation of the Nanogel formulation F1-F5

Formulation code

Odour

Washability

Grittiness

Physical instability signs

F1 -F5

Mild garlic like (fades over time)

Washable

Absent

None

Conclusion: All nanogel formulations (F1–F5) exhibited a uniform yellow ochre colour, smooth texture, and homogeneous appearance. F1, F3, and F4 showed excellent consistency, while F2 and F5 were rated as good. The formulations had a mild garlic-like odour that faded over time, were easily washable, non-gritty, and physically stable, indicating their suitability for topical application.

Table No. 9:  Physical evaluation of the Nanogel formulation F1-F5

Formulation code

pH

Viscosity (cP)

Spreadability (g.cm/sec)

F1

6.5±0.04

4200

8.342 ± 0.052

F2

6.3±0.05

4300

8.015 ± 0.047

F3

6.1 ± 0.03

4600

7.842 ± 0.038

F4

5.8±0.02

4700

8.003 ± 0.041

F5

6.7±0.06

4100

8.512 ± 0.056

Conclusion: The formulation exhibited acceptable pH within skin-compatible range, optimal viscosity for gel consistency, and good spreadability, indicating suitability for topical application

Table No. 10: Drug content of F1 –F5

Sr. No.

Formulation

Drug content (%)

1

F1

52.68 %

2

F2

73.97%

3

F3

72.25%

4

F4

94.83%

5

F5

76.43%

Conclusion: The drug content in formulations F1 to F5 ranged from 52.68% to 94.83% showing uniform distribution of Amphotericin B within the nanogels and confirming dose consistency across batches.

  1. In-Vitro Drug Diffusion Study

Among the batches, F4 exhibited the highest drug release (97.62%), followed by F3 (95.64%), F5 (85.02%), F2 (82.49%), and F1 (79.58%). The enhanced performance of F4 is attributed to its balanced polymer ratio 1:1(700 mg sodium alginate and 700 mg Carbopol 940), which formed an optimized gel matrix for controlled diffusion. Hence, the objective of improving the solubility, diffusion, and controlled release of Amphotericin-B through the nanogel drug delivery system was successfully achieved.

Table No. 11: In-Vitro diffusion of batch F1- F5

Time

F1

F2

F3

F4

F5

1hr

12.24%

12.70%

15.43%

15.02%

14.23%

2 hr

23.48%

25.38%

29.41%

30.05%

27.46%

3 hr

36.73%

38.08%

45.11%

44.10%

43.69%

4 hr

47.97%

50.76%

58.85%

60.08%

57.95%

5 hr

55.09%

57.11%

64.19%

67.56%

64.05%

6 hr

64.30%

66.64%

78.23%

78.82%

75.09%

7 hr

73.46%

76.14%

88.26%

90.10%

81.85%

8 hr

79.58%

82.49%

95.64%

97.62%

85.02%

Fig. 5: In-vitro drug release profile of batch F1, F2, F3, F4, F5 in release media Phosphate buffer pH 7.4

Conclusion: Formulation F4 exhibited the highest cumulative drug release (97.62% at 8 hours), indicating superior diffusion compared to other formulations. This indicates F4 as the most effective formulation for sustained and enhanced drug delivery.

Table No. 12: Drug release Kinetics

Formulation code

Zero Order

(R2)

First

Order

(R2)

Higuchi

(R2)

Korsmeyer Peppas (R2)

Hixon crowel

(R2)

Best

Fit

Model

N

F1

0.9897

0.9837

0.9490

0.9895

0.9080

0.9966

Hixon crowel

F2

0.9880

0.9792

0.9517

0.9895

0.9003

0.9954

Hixon crowel

F3

0.9873

0.9007

0.9521

0.9895

0.8801

0.9705

Korsmeyer Peppas

F4

0.9887

0.8585

0.9505

0.9895

0.9017

0.9590

Korsmeyer Peppas

F5

0.9691

0.9894

0.9572

0.9895

0.8807

0.9956

Hixon crowel

Conclusion: Most formulations followed diffusion-based release. F1, F2, and F5 fit the Hixson-Crowell model, while F3 and F4 showed non-Fickian d Korsmeyer peppas fit the best for F4.

Fig. 6: First order release kinetics profile of optimized formulation F4

Fig.7: Zero order release kinetics profile of optimized formulation F4

Fig. 8: Higuchi release kinetics profile of optimized formulation F4

Fig. 9: Peppas release kinetics profile of optimized formulation F4

Fig. 10: Hixon crowel release kinetics profile of optimized formulation F4

Conclusion: The release kinetics analysis of the optimized formulation F4 demonstrated that the Korsmeyer-Peppas model provided the best fit, as evidenced by the highest correlation coefficient (R² = 0.9895).

Table No.13: Percentage production yield

Formulation code

Production yield

F1

90.0%

F2

89.3%

F3

89.5%

F4

90.4%

F5

87.5%

Conclusion: All formulations showed good production yield, ranging from 89.3% to 90.4%, indicating efficient formulation

  1. Particle size measurement

The particle size analysis of the Amphotericin-B nanogel formulation (F4) revealed an average size of 195.33 nm with a polydispersity index (PDI) of 1.086, ensuring a moderately uniform distribution. The diffusion coefficient was measured at 2.5 µm²/s, while intensity-based size distribution showed D10, D50, and D90 values of 84.63 nm, 102.28 nm, and 127.43 nm, respectively. These findings confirm the formulation’s suitability for drug delivery by optimizing stability and bioavailability.

Table No. 14: Particle size of optimized batch F4

 

 

 

Size (r.nm):

%Intensity

Width(r.nm)

Z-Average (r.nm)

195.33

Peak 1

102.28

100.0

42.80

Pdl

1.086

Peak 2

0.000

0.0

0.000

Intercept

0.9769

Peak 3

0.000

0.0

0.000

Fig. 11: Particle size distribution of Amphotericin B nanogel (F4)

  1. Determination of Zeta potential

The Amphotericin B nanogel showed a zeta potential of -23.8 ± 0.4 mV, with a peak at -25.6 mV, indicating good electrostatic stability. Electrophoretic mobility was -1.8580 µm·cm/Vs, confirming the negative surface charge. Additional parameters such as mean intensity (983.9 kc/s), conductivity (0.195 mS/cm), and transmittance (64.9%) support the formation of a stable, well-dispersed nanogel suitable for drug delivery.

 

 

 

Mean (mV)

Area (%)

Intensity kc/s)

Zeta Potential (mV)

-23.8

Peak 1

-25.6

100.0

983.9

Zeta Deviation

0.4

Peak 2

0.00

0.0

0.00

(mV)

0.195

Peak 3

0.00

0.0

0.00

Table No. 15: Zeta potential of optimized batch of F4

Fig. 12: Zeta size distribution of Amphotericin B nanogel (F4)

  1. Skin Irritation study

F4 BATCH

HUMAN VOLOUNTEER

A

B

C

D

Time

And

Score

 

1 hr

NI

NI

NI

NI

2 hr

NI

NI

NI

NI

3 hr

NI

MI

NI

NI

4 hr

NI

NI

NI

NI

5 hr

NI

NI

NI

NI

Table No. 16: Skin irritation study of Amphotericin B F4 Nanogel

NI= No Irritation                                                          

MI= Mild Irritation

ME= Mild erythema, no oedema                                    

SI= Severe Irritation

Conclusion: The F4 batch of Amphotericin B nanogel exhibited good dermal tolerability. Only one subject (Volunteer B) showed mild irritation at 3 hr, resolving by 4 hr. No persistent irritation observed up to 24 hours in any subject. The above data supports F4 nanogel’s biocompatibility and safety for topical use

STABILITY STUDIES

Stability studies of the optimized F4 batch of Amphotericin B nanogel were conducted as per ICH guidelines under room temperature (25°C ± 2°C/60% RH), and accelerated (40°C ± 2°C/75% RH) conditions. Parameters such as physical appearance, drug content, pH, and viscosity were evaluated over a period of 30 to 60 days to determine the formulation’s stability.

Table No. 17: Stability study data of optimized formulation (F04) at 25°C/ 60% RH for 2 months

Time interval

Colour

Odour

Physical Appearance

Signs of physical instability

Viscosity (cP)

Initial

Yellow ochre

Odourless

Clear, uniform

None

4700

30 days

Yellow ochre

Odourless

Clear, uniform

None

4660

60 days

Yellow ochre

Odourless

Clear, uniform

None

4600

 

Time interval

Initial

After 30 days

After 60 days

Drug content (%)

94.83%

94.40%

93.90%

pH

5.8±0.02

5.7±0.05

5.7±0.03

Time (Hr)

Cumulative percent drug release

Cumulative percent drug release

Cumulative percent drug release

1

15.02%

14.65%

13.50%

2

30.05%

29.20%

28.62%

3

44.10%

42.80%

43.05%

4

60.08%

58.12%

57.20%

5

67.56%

66.05%

64.53%

6

78.82%

76.45%

75.21%

7

90.10%

87.92%

86.10%

8

97.62%

95.30%

93.85%

Conclusion: From table no. 17 it is observed that at 25°C/ 60% RH there is no changes in

physical properties of nanogel and the drug content remained within acceptable limit but slightly reduction in drug release than initial.

Table No. 18: Stability study data of optimized formulation (F04) at 40°C/ 75% RH For 2 months

Time interval

Colour

Odour

Physical Appearance

Signs of physical instability

Viscosity (cP)

Initial

Yellow ochre

Odourless

Clear, uniform

None

4700

30 days

Yellow ochre

Odourless

Clear, uniform

None

4500

60 days

Yellow ochre

Odourless

Clear, uniform

None

4400

 

Time interval

Initial

After 30 days

After 60 days

Drug content (%)

94.83%

92.50%

91.20%

pH

5.8±0.02

5.6±0.05

5.5±0.08

Time (Hr)

Cumulative percent drug release

Cumulative percent drug release

Cumulative percent drug release

1

15.02%

13.95%

12.80%

2

30.05%

27.68%

25.93%

3

44.10%

40.62%

38.74%

4

60.08%

55.73%

52.42%

5

67.56%

62.91%

59.38%

6

78.82%

71.84%

68.75%

7

90.10%

82.26%

79.16%

8

97.62%

93.05%

90.27%

Conclusion: From table no.18 it is observed that at 40°C/ 75% RH there is no changes in physical properties of nanogel and the drug content remained within acceptable limit but slightly reduction in drug release than initial

Fig. 13: Comparison of % CDD before and after stability studies at 25°C/60%RH

Fig. 14: Comparison of % CDD before and after stability studies at 40°C/75% RH

SUMMARY AND CONCLUSION

The present research work, titled “Development and Characterization of Amphotericin B Nanogel Based Drug Delivery System for Topical Application” was designed with the primary objective of developing a nanogel formulation to enhance the topical delivery of Amphotericin B. However, its clinical application is restricted by its poor aqueous solubility, permeability and high systemic toxicity, especially nephrotoxicity. To overcome these drawbacks, the formulation of a nanogel drug delivery system was considered as a viable alternative for localized, targeted therapy with minimal systemic exposure.

Goal: The goal of this research was to enhance the solubility, bioavailability, and topical efficacy of Amphotericin B through the development of a nanogel formulation, enabling controlled release and reduced side effects.

Method of preparation

The emulsion-solvent diffusion method was employed to formulate five nanogel batches (F1–F5). The gelling matrix was composed of Carbopol 940 (1% w/w) and sodium alginate (0.5% w/w), with DMSO used as a solubilizer for Amphotericin B. Each formulation varied slightly in drug concentration and solvent proportions to evaluate their impact on drug content and release behaviour. After formulation, each batch was characterized for its physicochemical properties, drug content, in-vitro drug release, and colloidal stability parameters such as particle size, polydispersity index (PDI), and zeta potential.

RESULTS

  1. Formulation and Physical Characterization
  • All batches exhibited yellowish ochre colour, smooth texture, and homogeneous consistency, making them suitable for topical application.
  • The pH of the formulations ranged from 5.8 to 6.7, compatible with skin pH, ensuring minimal irritation.
  • Viscosity and spreadability measurements confirmed pseudoplastic behaviour, with lower viscosity formulations (F2, F2) and (F1, F5) showing higher spreadability.
  1. Drug Content and In-Vitro Release

In-vitro release studies indicated a sustained drug release profile, with F4 releasing approximately 97.62% of drug over the study period, followed by F3 (95.64%) and F5 (85.02%), While maximum drug content was found to be F4 (94.83%). These results confirmed that F4 achieved prolonged and controlled drug release suitable for topical antifungal therapy.

  1. Particle size and Zeta potential

The particle size of F4 was 195.33 nm, with a PDI of 1.086, indicating moderate uniformity. The zeta potential was -23.8 mV, suggesting good physical stability of the nanogel dispersion due to electrostatic repulsion.

  1. Optimized Batch: F4

F4 was selected as the optimized formulation based on its maximum drug content 94.83 %, highest in-vitro release percentage (97.62%), and balanced physicochemical properties. The combination of Carbopol 940 and sodium alginate in the ratio (1:1) in this batch likely contributed to improved drug entrapment and diffusion through the gel matrix, while maintaining ideal rheological behaviour and colloidal stability.

  1. Stability Studies

Stability studies of the optimized F4 batch were conducted under room temperature (25°C ± 2°C/60% RH) and accelerated (40°C ± 2°C/75% RH) conditions over 60 days. F4 maintained its colour, pH, consistency, and drug content under all conditions, with minimal degradation observed, suggesting good short-term stability. However, long-term studies are needed to confirm shelf-life.

CONCLUSION

This study successfully developed a topical Amphotericin B nanogel with enhanced solubility, sustained drug release, and good physical stability. The optimized batch (F4) demonstrated significant improvements in drug entrapment, release kinetics, and application characteristics, making it a promising candidate for treating cutaneous fungal infections. Future work should focus on in-vivo antifungal efficacy, skin permeation studies, and extended stability testing to fully validate the therapeutic potential and commercial viability of the formulation.

REFERENCES

  1. Patil A, Kontamwar P. Formulation and evaluation of antifungal nanogel for topical drug delivery system. Asian J Pharm Clinical Res. 2021;14(10)
  2. Kaoud RM, Heikal EJ, Jaafar LM. Nanogel as a drug delivery system: a review. World J Pharm Med Res. 2021;7(11)
  3. Zarekar NS, Lingayat VJ, Pande VV. Nanogel as a novel platform for smart drug delivery system. Nanoscience and Nanotechnology Res. 2017;4(1):25–31. doi:10.12691/nnr-4-1-4
  4. Pasupuleti C, Ragineedi GK, Sneha P, Pooja P, Sai Ram N, Ali S, Kumbham HR. Formulation and evaluation of Amphotericin B loaded nanosponges for topical delivery. EPRA Int J Res Dev. 2024;9(4):52–9. Doi:10.36713/epra16413
  5. Ghatuary SK, Prasad S, Shende R, Bharne S. Formulation development of chitosan nanoparticles of amphotericin B for effective treatment of fungal disease. J Adv Sci Res. 2021;12(3 Suppl 1):188–93
  6. Priyadharshini A, Sujitha M, Sundaramoorthy K. A review on formulation and evaluation of nanogel. World J Pharm Res. 2024;13(3):1167–89. Doi:10.20959/wjpr20243-31017
  7. British Pharmacopoeia. London: British Pharmacopoeia Commission; 2007.Clarke EGC. Clarke’s Analysis of Drugs and Poisons. 3rd ed. London: Pharmaceutical Press; 2005
  8. Rowe RC, Sheskey PJ, Quinn ME. Handbook of Pharmaceutical Excipients. 6th ed. London: Pharmaceutical Press; 2009.
  9. Karthikeyan B, Alagumanivasagam G. A review on nanogels. Int J Trend Sci Res Dev. 2023;7(3):863–72. Available from: www.ijtsrd.com/papers/ijtsrd57514.pdf
  10. Muniraj SN, Yogananda R, Nagaraja TS, Bharathi DR. Preparation and characterization of nanogel drug delivery system containing clotrimazole an anti-fungal drug. Indo Am J Pharm Res. 2020. Doi:10.5281/zenodo.3970394
  11. Aparna C, Manisha B, Kalva S. Formulation and evaluation of Etoricoxib nanogel. Int J Pharm Sci Rev Res. 2023;78(1):Article No. 19. Doi:10.47583/ijpsrr.2023.v78i01.019
  12. Mendake RA, Hatwar PR, Bakal RL, Amalkar SV. Review on nanogel as a novel platform for smart drug delivery system. J Drug Deliv Ther. 2024;14(8):161–74. Doi:10.22270/jddt.v14i8.6704
  13. Kapadi S, Gadhel L, Talele S, Chaudhari G. Recent trend in nanopharmaceuticals: An overview. World J Pharm Res. 2015;4(3):553–66.
  14. Chopade S, Khabade S, Patil A, Powar S. Formulation development and evaluation of anti-inflammatory potential of topical tenoxicam nanogel on animal model. Int J Recent Sci Res. 2018;9(12):29951–7. Doi:10.24327/ijrsr.2018.0912.2967
  15. Aparna C, Manisha B, Kalva S. Formulation and evaluation of Etoricoxib nanogel. Int J Pharm Sci Rev Res. 2023;78(1):Article No. 19. Doi:10.47583/ijpsrr.2023.v78i01.019
  16. Potulwar AP, Tiwari SS. Formulation and evaluation of topical itraconazole nanogel. Int J Pharm Sci Res. 2023;14(4):1954–61.
  17. Bindu AU, Pachpute TS. Development, characterization, and evaluation of anti-fungal activity of nystatin-loaded nanogel prepared from biodegradable polymer. J Survey Fish Sci. 2023;10(3):249–57.

Reference

  1. Patil A, Kontamwar P. Formulation and evaluation of antifungal nanogel for topical drug delivery system. Asian J Pharm Clinical Res. 2021;14(10)
  2. Kaoud RM, Heikal EJ, Jaafar LM. Nanogel as a drug delivery system: a review. World J Pharm Med Res. 2021;7(11)
  3. Zarekar NS, Lingayat VJ, Pande VV. Nanogel as a novel platform for smart drug delivery system. Nanoscience and Nanotechnology Res. 2017;4(1):25–31. doi:10.12691/nnr-4-1-4
  4. Pasupuleti C, Ragineedi GK, Sneha P, Pooja P, Sai Ram N, Ali S, Kumbham HR. Formulation and evaluation of Amphotericin B loaded nanosponges for topical delivery. EPRA Int J Res Dev. 2024;9(4):52–9. Doi:10.36713/epra16413
  5. Ghatuary SK, Prasad S, Shende R, Bharne S. Formulation development of chitosan nanoparticles of amphotericin B for effective treatment of fungal disease. J Adv Sci Res. 2021;12(3 Suppl 1):188–93
  6. Priyadharshini A, Sujitha M, Sundaramoorthy K. A review on formulation and evaluation of nanogel. World J Pharm Res. 2024;13(3):1167–89. Doi:10.20959/wjpr20243-31017
  7. British Pharmacopoeia. London: British Pharmacopoeia Commission; 2007.Clarke EGC. Clarke’s Analysis of Drugs and Poisons. 3rd ed. London: Pharmaceutical Press; 2005
  8. Rowe RC, Sheskey PJ, Quinn ME. Handbook of Pharmaceutical Excipients. 6th ed. London: Pharmaceutical Press; 2009.
  9. Karthikeyan B, Alagumanivasagam G. A review on nanogels. Int J Trend Sci Res Dev. 2023;7(3):863–72. Available from: www.ijtsrd.com/papers/ijtsrd57514.pdf
  10. Muniraj SN, Yogananda R, Nagaraja TS, Bharathi DR. Preparation and characterization of nanogel drug delivery system containing clotrimazole an anti-fungal drug. Indo Am J Pharm Res. 2020. Doi:10.5281/zenodo.3970394
  11. Aparna C, Manisha B, Kalva S. Formulation and evaluation of Etoricoxib nanogel. Int J Pharm Sci Rev Res. 2023;78(1):Article No. 19. Doi:10.47583/ijpsrr.2023.v78i01.019
  12. Mendake RA, Hatwar PR, Bakal RL, Amalkar SV. Review on nanogel as a novel platform for smart drug delivery system. J Drug Deliv Ther. 2024;14(8):161–74. Doi:10.22270/jddt.v14i8.6704
  13. Kapadi S, Gadhel L, Talele S, Chaudhari G. Recent trend in nanopharmaceuticals: An overview. World J Pharm Res. 2015;4(3):553–66.
  14. Chopade S, Khabade S, Patil A, Powar S. Formulation development and evaluation of anti-inflammatory potential of topical tenoxicam nanogel on animal model. Int J Recent Sci Res. 2018;9(12):29951–7. Doi:10.24327/ijrsr.2018.0912.2967
  15. Aparna C, Manisha B, Kalva S. Formulation and evaluation of Etoricoxib nanogel. Int J Pharm Sci Rev Res. 2023;78(1):Article No. 19. Doi:10.47583/ijpsrr.2023.v78i01.019
  16. Potulwar AP, Tiwari SS. Formulation and evaluation of topical itraconazole nanogel. Int J Pharm Sci Res. 2023;14(4):1954–61.
  17. Bindu AU, Pachpute TS. Development, characterization, and evaluation of anti-fungal activity of nystatin-loaded nanogel prepared from biodegradable polymer. J Survey Fish Sci. 2023;10(3):249–57.

Photo
Prajwal Mankar
Corresponding author

Research Scholar, Department of pharmaceutics, P. Wadhwani College of Pharmacy, Yavatmal, Maharashtra 445001.

Photo
Dr. M. D. Kshirsagar
Co-author

Professor, Department of pharmaceutics, P. Wadhwani College of Pharmacy, Yavatmal, Maharashtra 445001.

Photo
Dr. A. V. Chandewar
Co-author

Professor, Department of pharmaceutics, P. Wadhwani College of Pharmacy, Yavatmal, Maharashtra 445001.

Photo
Gaurav Magar
Co-author

Research Scholar, Department of pharmaceutics, P. Wadhwani College of Pharmacy, Yavatmal, Maharashtra 445001.

vPrajwal Mankar*, Dr. M. D. Kshirsagar, Dr. A. V. Chandewar, Gaurav Magar, Development and Characterization of Amphotericin B Nanogel Based Drug Delivery System for Topical Application, Int. J. of Pharm. Sci., 2025, Vol 3, Issue 5, 2840-2858. https://doi.org/10.5281/zenodo.15449457

More related articles
Pharmacognostic and Pharmacological Profile of Aca...
Jeevan Chaugule, L. D. Khochage, Dr. Nilesh Chougule, ...
Fragrance Forensics: Decoding the Chemistry of Per...
Sahil kadam, Dr. Sadhana Shahi, Shital Patil , Shahaji kumbhar , ...
Comparative Study Of Vildagliptin Branded And Gene...
Shivani S. Pangarekar, Tanaya S. Pawar, Sakshi S. Rashinkar, Gane...
Related Articles
A Review on Physico-Chemical and Biopharmaceutical Aspects of Self-Micro Emulsif...
Nagaveni Pommala, Pranuth Atthoti, Saravanakumar kasimedu, Swetha Meeniga, Mounika Gandham, ...
Community Pharmacist Knowledge and Practices on Antibiotics (Otc): An Observati...
R. Kalidasan, Dr. Jayaprakash Shanmugam, Dr. S. K. Senthil kumar Kulanthaivel, S. Arunkumar, S. Bhuv...
A Short Review On Premature Ejaculation (PE): Symptoms, Causes, And Prevention...
Abdul Nazer Ali, Krishnalekha Bandyopadhyay, Anil Kumar, Vishal Pathak, Mohammad Rizwan, Uriti Sri ...
Recent Advances In Oral Solid Dosage Form Formulation And Development...
Ankita Anil walunj , Wagh Snehal A., Kale Megha K., Dhage Shubhangi S, Awari Monika S, Bhalekar S. M...
Pharmacognostic and Pharmacological Profile of Acacia nilotica: A Review on its ...
Jeevan Chaugule, L. D. Khochage, Dr. Nilesh Chougule, ...
More related articles
Pharmacognostic and Pharmacological Profile of Acacia nilotica: A Review on its ...
Jeevan Chaugule, L. D. Khochage, Dr. Nilesh Chougule, ...
Fragrance Forensics: Decoding the Chemistry of Perfume!...
Sahil kadam, Dr. Sadhana Shahi, Shital Patil , Shahaji kumbhar , ...
Comparative Study Of Vildagliptin Branded And Generic Marketed Antidiabetics Tab...
Shivani S. Pangarekar, Tanaya S. Pawar, Sakshi S. Rashinkar, Ganesh V. Taware, ...
Pharmacognostic and Pharmacological Profile of Acacia nilotica: A Review on its ...
Jeevan Chaugule, L. D. Khochage, Dr. Nilesh Chougule, ...
Fragrance Forensics: Decoding the Chemistry of Perfume!...
Sahil kadam, Dr. Sadhana Shahi, Shital Patil , Shahaji kumbhar , ...
Comparative Study Of Vildagliptin Branded And Generic Marketed Antidiabetics Tab...
Shivani S. Pangarekar, Tanaya S. Pawar, Sakshi S. Rashinkar, Ganesh V. Taware, ...