View Article

Abstract

Vitamin deficiencies represent a major global and national health problem particularly in India, where deficiencies of vitamin A, B, C, D, E, and K are highly prevalent. Where the vitamins A, D, E, and K are oil soluble and vitamins B and C are water soluble.These deficiencies contribute to xerophthalmia, dementia, neurodevelopmental disorders, impaired growth, weakened immunity, cognitive decline, anemia, rickets, and other chronic disorders. Conventional formulations of vitamins (such as tablets, capsules, syrups, powders, gummies, and fortified foods) are widely available and provide supplementation. However, their effectiveness is often limited by poor solubility and low bioavailability, instability under environmental conditions, variable absorption, non specific target release and uncontrolled target release. To overcome these limitations, nanoformulations have emerged as a promising alternative. Nanocarriers such as liposomes, nanoemulsions, micelles, dendrimers, solid lipid nanoparticles, and nanostructured lipid carriers improve solubility, protect vitamins from degradation, and allow for controlled and targeted delivery. By enhancing solubility, stability, bioavailability, absorption, and therapeutic efficacy, nanoformulations significantly improve the nutritional and clinical management of vitamin deficiencies compared to conventional systems.

Keywords

Nanocarriers, Multivitamin Delivery, Vitamins Deficiency, Nutraceutical Delivery, Nanoencapsulation, Vitamins Sources, Liposomal Delivery.

Introduction

1.1. William Fletcher, an Englishman, discovered a few years earlier than a century, i.e. in 1905, that Beriberi - a disease that afflicted many - could be prevented by   eating unpolished rice. He suspected that the rice husk may have contained "special, life-sustaining nutrients". The nutrients were eventually identified as vitamins.

The term "vitamin" was first used in 1911 and was coined by Polish scientist Casimir Funk from the term "vitamine". Funk introduced the term "vitamine", because (he) considered in turn all compounds which were essential for life contained a nitrogenated component (amine). When we found out later that not all vitamins contain nitrogen we dropped the "e" and it evolved into the word we now use today, "vitamin".  As stated by the Food Safety and Standards Authority of India (FSSAI), preventable micronutrient deficiencies are now emerging public health priorities in India. The major emerging public health priority is that there is limited national prevalence data. This study aims to estimate the pooled age-wise prevalence of six preventable micronutrient deficiencies (Vitamin A, Vitamin B12, Vitamin D, iron, iodine, and folic acid) in India.(1)

1.2. Nanoparticles are the major element of nanotechnology they are solid particles or dispersions from 10-1000 nm. APIs can be delivered via nanoparticle-based drug delivery, including, but not limited to, therapeutic drugs, vaccines, aptamers, and cationic pharmaceutical agents. They are significant in drug delivery because of the established capabilities of rendering drug delivery efficacious. Nanomedicine applications include drug delivery in gene therapy, cancer therapy, AIDS therapy, and radiation therapy. Nanoparticles can be vesicles for protein, peptide and vaccines that can actually cross the blood-brain barrier (2,3).

In designing nanoparticles in a particular drug delivery model, goals are to create a size, surface properties and API release that will pharmacologically effect the right rate in the therapy for the target area. Protein nanoparticles have drug delivery capacity advantages for biodegradability, stability, biologically inert properties, reduced immunogenicity properties, decreased phagocytosis effects and decreased renal clearance effects create/extend drug half-life. Additionally, there are advantages in modifying the surface property, ease of controlled particle size ranges, and recognition of traditional delivery systems with controlled toxicity properties, and lower risk of cytotoxicity compared to nanosystems. In other words, it is paramount to utilize nanoparticle systems over traditional sealed (hemiL)  systems to substitute concern of cytotoxicity. from traditional sealers can be reduced by using nanoparticle formulations such as calcium methacrylate sealers.(4,5)

1.3. Nanoparticles can be categorized along a variety of dimensions such as shape, nature, and dimension.

According to shape and nature: Nanoparticles have a plethora of shapes including spherical, cylindrical, conical, hollow-core, spiral, flat, needle-like, star-shaped, cluster, hexagonal, or pentagonal. They can either occur as crystalline forms that are packed in an ordered structure, or amorphous forms that are arranged randomly, which has implications on the physicochemical properties of the drug.(6,7)

According to dimension: Nanoparticles may also be further classified in accordance with the length, breadth and height of the nanoparticles. The dimensions of the nanoparticles play an important role in the biological activity of the nanoparticles.(8,9)

1.4. Benefits of Nanoparticles

  • Provide a sustained and extended treatment response by prolonging the time in the circulation (longer half-life and higher receptor specificity).
  • Enable controlled release and targeted degradation when selecting appropriate matrix materials.
  • Enable targeting to sites of action through surface functionalization with ligands.

Table 1:- Advantages of nanoformulation delivery over conventional delivery.

Feature

Conventional Delivery

Nanoformulation Delivery

Solubility & Bioavailability

Low compared to nanoformulation methods

Higher due to improved solubility and absorption

Targeting

Non-specific

Passive or active targeting possible

Drug Release

Uncontrolled, often rapid

Controlled and sustained release

Safety

Higher systemic toxicity

Reduced systemic toxicity

2. SOURCES OF VITAMINS:-

2.1. Vitamin A:-

Vitamins are very important for cellular functions and linked to start of or the prevention of certain malignant diseases in humans.

Preformed vitamin A is found in animal-source foods (i.e., meat, fish, poultry, dairy) and provitamin A are found in plant-based foods (i.e., fruits and vegetables), which the body will convert into vitamin A.(19)

Table 2 :- Sources of Vitamin A.

Feature

Provitamin A

Preformed Vitamin A

Sources

Dark leafy vegetables, algae, red and yellow vegetables and tubers, red and orange fruits, flowers and juices, red palm oil (19)

Milk and milk products, eggs, fish and associated oils, shellfish, liver and organ meats, chicken (19)

Figure 1:- Retinol.

2.2. Vitamin B:-

Table 3 :- Sources and structures of Vitamin B

Types of Vitamin B

Sources

Structure

Vitamin B1 (Thiamine)

Thiamine is abundant in many foods, but is particularly high in whole grains, pork, fish and yeast. Because much of its content is lost during food processing, many common food items such as cereals, bread, some dairy products, and infant formulas are fortified with thiamine to compensate for its loss.(21)

Vitamin B2 (Riboflavin)

Animal- and plant-based foods contain niacin such as soy, nuts, seeds, legumes, and grains. Many grains, including bread and cereals and infant formulas, are fortified with niacin.(21)

Vitamin B3 (Niacin)

Animal- and plant-based foods contain niacin such as soy, nuts, seeds, legumes, and grains. Many grains, including bread and cereals and infant formulas, are fortified with niacin.(21)

Vitamin B5 (Pantothenic Acid)

Pantothenic acid occurs in small amounts in almost all food, although more substantial amounts are in fortified cereals, infant formulas, dried food, mushrooms, egg, fish, avocado, chicken, beef, pork, sunflower seed, sweet potatoes, and lentils.(21)

Vitamin B6 (Pyridoxine)

Pyridoxine is found in beef, poultry, starchy vegetables, noncitrus fruits, and fortified cereals.(21)

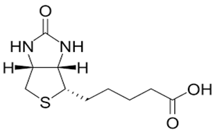
Vitamin B7 (Biotin)

Biotin is found naturally in organ meats, eggs, fish, seeds, soybeans, and nuts but is also available through supplementation.(21)

Vitamin B9 (Folate)

Folate is present in plenty of foods, with the highest levels in dark green leafy vegetables, nuts, beans, dairy products, meat, poultry, grains, and brussels sprouts. (21)

2.3.Vitamin C:-

Vitamin C exists in various plant foods, commonly found in the range of 10–100 mg per 100 g; however, other foods have been found to have much greater concentrations. Plants, some algae, and fungi, as well as most animals, are able to biosynthesize vitamin C from sugar. In our bodies vitamin C has several roles -- it helps enzymes catalyze reactions, it is a powerful antioxidant, and it helps balance electron transfer. Fruits and vegetables are the primary sources. Some of the richest fruits are kakadu plum, camu-camu, acerola, rose hips, and sea buckthorn. More frequently eaten and commonly found sources are guava, black currant, kiwi, strawberries, peppers, broccoli, and kale. Sauerkraut and fresh herbs like parsley and coriander contribute to intake as well. Potatoes, although not very rich in vitamin C, provide a reasonably good amount of vitamin C for some parts of Europe, as it is simply eaten so frequently. The vitamin C content in foods can vary tremendously based on plant type, agricultural practice, harvest timing, and post-harvest processing and storage practices. It is also fragile -- easily destroyed by oxygen, heat, contact with metals, and long storage. Cooking methods are also important: boiling in plenty of water results in the greatest loss, while steaming, frying, or boiling in small amounts of water retains more. Freezing is the preferred method for long-term storage.

Regarding supplements, vitamin C is normally made from glucose (made in the older Reichstein process or more recently made from microbial fermentation). Although even synthetic and natural vitamin C is equally effective and utilized by the body, many people still appreciate the notion of getting it from plants.(25)

Figure 2:-Ascorbic Acid

2.4.Vitamin D :-

There are two primary forms of Vitamin D: D3, which derives from animal sources, and D2, which we receive from fungi, and plants. The human body's active form of vitamin D is the 25(OH)D3 form, and it will be the form that is most effective in maintaining and achieving optimal health status, although it is not always listed as part of the food data.

The major natural sources of vitamin D are actually quite limited: Wild fatty fish, egg yolks, organ meats, and ultraviolet-exposed mushrooms are among the best sources. Wild and free-range animals will typically provide more Vitamin D than their conventional counterparts. The amount of vitamin D in animals is reliant on feeding, composition of the fat, ultraviolet exposure, and farming methods.

Since many people are not getting enough vitamin D, many foods are "fortified," or enriched, with vitamin D2 or D3. Dairy, plant beverages, cereals, margarine, and even orange juice can be fortified with vitamin D. Fortification can also take place by increasing the natural production of vitamin D in animals or fungi. Some countries mandate fortification of many mass-produced items, including Finland, Canada, and the US, while other countries, such as the UK and Australia, allow fortification if desired.

Studies demonstrate that fortified foods increase vitamin D levels in people of all ages, perhaps even more than supplements. Food composition database entries could be improved to more accurately account for foods with vitamin D, especially those containing 25(OH)D3, a form of vitamin D. In summary, fortifying foods is among the simplest and least expensive strategies for combating vitamin D deficiency across the globe. (26)

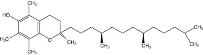
Figure 3 :- Cholecalciferol.

2.5.Vitamin E:-

Vitamin E is present in a wide variety of foods - especially nuts, seeds, and vegetable oils, which are the standout vitamin E-rich foods. Green leafy vegetables do provide good amounts of vitamin E as do fortified cereals. There are no definitive official recommendations on the optimal intake of vitamin E, nor is there yet an established recommended supplementation amount. Obtaining vitamin E from food consumption is regarded as completely safe and there are no documented adverse effects. The only evidence for concern is with supplements and there are only concerns about excessive supplementation, typically in doses greater than 1,000 mg per day. (27)

Figure 4:- Alpha -Tocopherol

2.6.Vitamin K:-

2.6.1.Vitamin K1 (Phylloquinone):

Most of the vitamin K1 we consume comes from green plant products, such as leafy vegetables, algae, and herbs. In plants, K1 is chemically linked to photosynthesis, occurring in chloroplasts, although it is found in smaller quantities in other locations within the plant cell. Vitamin K1 comprises approximately 75% or more of our dietary vitamin K intake, but we do not readily absorb it.

The best food sources of K1 are green vegetables like kale, broccoli, cabbage, Brussels sprouts, spinach, parsley, lettuces, and wild game greens, such as nettles or dandelion leaves. Cooking herbs, such as mint and marjoram, contribute to the K1 as well. Amounts of vitamin K1 in foods vary depending on the plant species, cultivation method (e.g., hydroponic or not), and harvest time. For example, kale and spinach can vary between approximately 250 and 1200 micrograms (µg) of K1 per 100 grams of the vegetable.

K1 is not significantly affected in cooking, whereas vegetable oils, such as soybean oil, canola oil, and olive oil, are also good sources of K1. K1 is also relatively stable when heated, but it breaks down quickly upon exposure to light, which confirms why oils should be stored in coloured, dark bottles. K1 is a common source of vitamin K in dietary supplements and medications when it is synthesized; K1 may also be produced sustainably in the future using organisms such as microalgae.

2.6.2.Vitamin K2 (Menaquinones):

Vitamin K2 is somewhat unique in that it is made by bacteria and exists in a number of forms (MK-4 through MK-13). Of the K2 forms, MK-4 is unique in that it is not made by bacteria; instead, our bodies (and animals) convert vitamin K1 to MK-4. Food sources of K2 come from fermented products (cheese, sauerkraut, and natto [a soybean dish]), organ meats (liver), and fish (e.g. eel). In many diets, cheese is the primary source of K2, which typically comprises MK-8 and MK-9 compared to other foods. Additionally, just to highlight, natto is very high in K2 with up to 900 µg of MK-7 per 100 g serving, making it likely the richest source of vitamin K2. Low-fat cheeses have less K2 than regular varieties. Fermented alcoholic foods such as beer or wine contribute negligible K2.

In Europe, most of the K2 sources have been MK-4, MK-8, and MK-9. Most recommendations note a target intake of about 1 µg of K2 per kg of bodyweight per day and most achieve that with typical diets (70-300 µg), meaning supplements are likely not needed. Older adults sometimes need more vitamin K, but studies remain inconclusive.(28)

Figure 5 :- Phylloquinone

3. VITAMIN DEFICIENCY STATISTICS IN INDIA:-

Table 4:-.Vitamin deficiency statistics in India.

Micronutrient Deficiency

Overall Prevalence

Prevalence by Age Group

Vitamin B12

53%

57% (<18 years), 48% (>18 years), 68% (non-specific AGE) (70).

Vitamin A

19%

19% (<18 years), 13% (>18 years), 28% (non-specific age)(70).

Vitamin D

61%

60% (<18 years), 60% (>18 years), 63% (non-specific age)(70).

Figure1:- 1-Micronutrient deficiency prevalence by age group

4. DEFICIENCY AND USES:-

4.1. Vitamin A

Vitamin A refers to a group of organic compounds that include retinol, retinoic acid, retinal, and provitamin A carotenoids.(10)

One of the significant functions of this vitamin is to aid in the process of vision; for instance, it is an important component of the pigment rhodopsin in the retina which provides sight and also prevents blindness. In addition to vision, vitamin A plays a role in the gut microbiota as well as  retinol levels in plasma, RORA (retinoic acid receptor related orphan receptor alpha) mRNA and CD38 (Cluster of differentiation 38).(11)

 Too little vitamin A can have an impact on the central nervous system as demonstrated by less development, lower Childhood Autism Rating Scale (CARS) scores and higher serum 5-hydroxytryptamine (5-HT) levels. Vitamin A is vital in maintaining healthy epithelium and supporting cellular differentiation, red blood cell production, and reinforcing the body's immune system against infection. Severe Vitamin A deficiency can cause serious ocular issues, for example xerophthalmia, while moderate deficiency has also been shown to negatively affect responses of certain vaccines.(10)

4.2. Vitamin B:-

The B vitamin family consists of B1 (thiamine), B2 (riboflavin), B3 (niacin), B4 (choline), B5 (pantothenic acid), B6 (pyridoxine), B8 (biotin), B9 (folate), and B12 (cobalamin). (12) Mammals cannot make B vitamins on their own, so they need to obtain sufficient amounts of these vitamins through enough food or microbes such as the gut microbiota. While B vitamins are produced primarily by plants, yeasts, and bacteria, animal foods (such as eggs, meat, and dairy) contain B vitamins because animals obtain them by eating plants. (13) Main dietary sources  of vitamins B include bananas, broccoli, potatoes, dates, spinach, asparagus, nuts, figs, and dairy products. (14) Interestingly, plants cannot produce vitamin B12—it is produced by bacteria in the foregut of ruminants, or in the colon of humans. (15) The WHO explains that vitamin B12 deficiency is likely to emerge as one of the most wide-spread types of malnutrition in future.(16)

B vitamins are involved in digestion, aid in boosting the immune system, and metabolism, and help to repair cells.(14) They act as cofactors for enzymes in virtually all tissues throughout the body, leading to a myriad of different biochemical processes. B vitamins are involved in optimizing both nervous and immune system function,(17) metabolism regulation, and contributing to cell growth and division. Only niacin can be synthesized from tryptophan, so all other B vitamins must come from food.

Deficiencies of B vitamins are common in older adults, children, pregnant women, vegetarians, and those with GI disorders.(16) A deficiency has been linked to mood and behavioural disorders, as well as increased levels of homocysteine and risk of coronary heart disease.(18) Vitamin B9, B12, and B6 are particularly important in removing homocysteine from the body, as it is involved in dementia through vascular and neurotoxic pathways.(1) Sufficient levels of folic acid, B12, and B6 are needed for normal brain function. These vitamins supply essential methyl groups required for making lipids, proteins, nucleic acids, hormones, and neurotransmitters. A deficiency of these may result in dementia, neurodevelopmental disorders, and other psychiatric conditions. Absorption, metabolism, or functioning of these vitamins can also be affected by genetic polymorphisms which further increase the risk for cognitive disorders and decline.(19)

4.3. Vitamin C:-

Vitamin C or ascorbate is vital vitamin that can be found in nearly all tissues in the body. It is found in large amounts in fruits and vegetables, as well as in animal livers. It exists in two forms in the tissue: the reduced form, ascorbic acid, and the oxidized form, dehydroascorbic acid.

Vitamin C plays a key role in the nervous system, protecting the body from oxidative stress by reducing lipid peroxidation, scavenging free radicals, and limiting cellular damage. Vitamin C is also involved in non-oxidative processes, such as cholesterol production and production of collagen, carnitine, amino acids, catecholamines, and a number of hormones. (20)

One of the most important functions of vitamin C is supporting redox couples for two dioxygenase enzymes necessary for carnitine biosynthesis, which transports long-chain fatty acids into the mitochondria to be oxidized for energy via beta-oxidation. (21,22) Vitamin C is also involved in many biochemical reactions catalysed by monooxygenases, dioxygenases, and mixed-function oxygenase.

When levels of vitamin C are low, enzyme activity is affected, which may lead to scurvy in humans. (22)

4.4.Vitamin D:-

There are two primary forms of vitamin D: ergocalciferol (vitamin D2) and cholecalciferol (vitamin D3). These forms differ in their molecular structures, physicochemical properties, and biological effects. (26) Vitamin D3 is primarily found in foods from animal sources, while ergocalciferol is mainly found in specific wild mushrooms where it is produced from the provitamin ergosterol. Although some plant foods contain ergosterol, it will not in and of itself create vitamin D2. (24)

In addition to its role in bone health, vitamin D has important effects on the brain. Vitamin D supports brain development, mood regulation, dopamine pathways, axonal connectivity, neuronal differentiation, immune modulation, and regulates the transcription of a wide array of genes. Furthermore, vitamin D protects neurons from the damaging effects of inflammation by facilitating the clearance of amyloid β protein that has accumulated in the brain.  (25,26)

Deficient levels of vitamin D are related to the emergence of psychiatric conditions, including depression and autism spectrum disorder. (23)

4.5.Vitamin E

Vitamin E is a fat-soluble vitamin that contains tocopherols and tocotrienols, is present in all cell membranes, and in plasma lipoproteins, with particularly high concentrations in human red blood cells. Its principal role in humans is to protect DNA, fatty acids, and low-density lipoproteins from oxidative damage, although it also plays a role in haemoglobin synthesis, membrane stabilization, and immune regulation. Foods rich in vitamin E include vegetable oils, oil seeds, nuts, cheese, egg yolk, margarine, soybeans, oatmeal, wheat germ, avocados, and green-leafy vegetables. Deficiency is rare in humans unless infants are premature or individuals suffer from chronic fat malabsorption. Deficiency has also been associated with mild anaemia and ataxia (27).

4.6.Vitamin K

There are two main natural forms of vitamin K. Vitamin K1 (also known as phylloquinone) is found in leafy green vegetables (e.g., lettuce, cabbage, and spinach). The other natural form, vitamin K2 (menaquinone), is primarily obtained from microbial sources. It is typically located in fermented foods such as natto and cheese but can also be synthesized in the intestinal tract via various bacteria like Escherichia coli, Mycobacterium phlei, and Bacillus subtilis. Additionally, a synthetic form of vitamin K, Vitamin K3 (menadione), exists. Vitamin K is an important co-factor to support bone formation as well as its importance in regulating blood coagulability.  A deficiency of vitamin K can lead to haemorrhagic disease in infants and as adult disorders such as muscle hematomas, operative bleeding, or intracranial haemorrhaging. Good dietary sources of vitamin K include animal liver, meat, egg yolk, whole grains, Brussels sprouts, parsley, celery, iceberg lettuce, cabbage, peas, asparagus, broccoli, cucumbers, and soybeans. (28)

5. CAUSES OF DEFICIENCY

Micronutrients play a very vital role in biochemical processes; their deficiencies are crucially observed as a public health problem globally (32). WHO is frequently quoted as almost 2billion people of all ages and especially pregnant women and children younger than 5 are at risk of micronutrient deficiencies (28). The Comprehensive National Nutrition Survey (CNNS) in India indicated a high prevalence of anaemia (24–41%), iron deficiency (17–32%), folate deficiency (23–37%) and vitamin B12 deficiency (14–31%) (4). This is widespread among children and low and middle income countries (LMICs) (31).

As micronutrients are essential for the body's metabolism and tissue function their excessive intake can cause adverse health outcomes so it is important to meet healthy dietary consumption and supplementations. Vitamin A, folate, iodine, iron, and zinc are the most common micronutrient deficiencies worldwide. Poor diet, inadequate intake of nutrient rich (leafy vegetables, animal products, eggs, whole grains, nuts, fortified foods) and over-reliance on regular staple foods (rice wheat, maize, potatoes, millet)can cause deficiency.  Vitamin D can be best obtained from sun exposure but because of lifestyle changes it can cause deficiency as it can be obtained through diet, mostly from fatty fish and fortified foods (such as D2, ergocalciferol, and D3, cholecalciferol). Most of them have relatively low vitamin DRe content, so supplementation with vitamin D may be warranted at different life stages (29). Social economic barriers, chronic illness further increases the risk. The effects of them are mostly seen in children and adolescents, heightening their susceptibility to nutritional demands and fast growth. Poor and restrictive diets, especially vegetarian and vegan lifestyle results in lack of vitamin B12. Pregnant women and residents in areas with iodine deficient soil suffer from iodine deficiency. Infants (preterm and low birth weight) adolescent girls and heavy menstrual bleeding leads to iron deficiency.(30)

6. OVERCOME

The strategies used to prevent micronutrient malnutrition among children under-five in LMICs, including single and multiple micronutrient (MMN) supplementation, lipid-based nutrient supplementation (LNS), targeted and large-scale fortification, and point-of-use-fortification with micronutrient powders (MNPs) (31). To start with providing improved diets through appropriate agriculture and horticulture, nutrition education, home gardens, small livestock holdings, and food availability and accessibility, including storage and cooking methods. Followed by fortification and biofortification in affluent countries as well as LMICs lastly to take in consideration deficiencies with diseases associated with poor living conditions and public health measures. Food based approaches such as consuming nutrient rich foods, using home gardens and improving micro-nutrient intake. Supplementation, particularly multivitamin supplements are very helpful during pregnancy and early childhood which effectively reduces deficiencies and adverse health outcomes. The large-scale fortification of staple foods has been recommended by the WHO and promoted by others, such as the Micronutrient Initiative (now Nutrition International), the Global Alliance for Improved Nutrition, and other civil society organizations. Other methods of delivery is point-of-use fortification powders, such as Sprinkles; the more recent biofortification of sweet potatoes in Southeast Africa was seen and elsewhere; and less successfully because of consumer and/or donor resistance;  genetically modified plant fortifications, such as the development of “golden rice”.  Integrating these will ensure sustainable improvement in vitamins deficiency status. (32)(33)

7. CLASSIFICATION OF NANOFORMULATIONS:-

Table 5:-Classification of nanoformulation

CLASSIFICATION OF NANOFORMULATIONS

Sr. No.

CATEGORY

TYPES

PREPARATION METHODS

KEY USES

EXAMPLES

REF

1

Nanoemulsions

Oil in water

Water in oil

Bicontinous /multiple emulsion

High-pressure homogenization

Ultrasonication

Phase Inversion Temperature

Emulsion Inversion Point

Bubble Bursting Method

They are used to wrap and pack anti-tumour drugs, essential oils, and nutrients.

They are also used in healthcare and cosmetics due to its high surface area and better skin penetration.

Anti-tumor drugs:

Paclitaxel

Polynetaxel

Curcumin

Retinoic Acid.

Essential oils

Antioxidant

Enzymes

Antimicrobials

Anti-browning agents

34, 35, 40.

2

Microemulsions

-

Titration Method

Oil and Water as immiscible liquid pairs

They are used for solubilization and improving the bioavailability of nutraceuticals and vitamin derivatives.

Neoral®, coenzymeQ10, lutein, carotenoids.

35

3

SLNs

(Solid Lipid Nanoparticles)

-

Melt Homogenization

Cold Homogenization/ Melt micro-emulsification

They are used in Oral drug delivery as Aqueous dispersions and in Solid dosage forms like capsules, tablets, and pellets, and it effectively encapsulates antitumor and poorly water-soluble drugs due to its high lipid content.

Triglycerides,

Glyceryl monostearate,  Glyceryl behenate, Glyceryl palmitostearate,

Fatty acids,

Waxes,

Biowaxes,

Cholesterol, and Steroids

34, 35, 40.

4

NLCs

(Nanostructured Lipid Carriers)

To use structurally different lipids to construct NLC

To use amorphous lipids to construct NLC

High Pressure Homogenization

Solvent Evaporation

Solvent Diffusion

Multiple Emulsion

NLCs are second generation lipid nanoparticles, they are used as carriers to increase the bioavailability of water insoluble nutrients such as coenzyme Q10.

They also have stronger encapsulation stability for drugs than SLCs.

vitaminE,

Vitamin D3.

34, 35, 40.

5

SEDDS (Self-Emulsifying Drug Delivery Systems )

Self-nanoemulsifying drug delivery system (SNEDDs)

Self-microemulsifying drug delivery system (SMEDDs)

Solvent Displacement

Low-energy Emulsification

Phase Inversion Composition

They have unique ability of self-assembly in the GI fluid which makes the drug or nutrient available as nano-sized oil droplets, And the high interfacial surface area improves the dissolution in the GI environment

VitaminE, D-α-tocopheryl polyethylene glycol succinate (TPGS)

35

6

Polymeric nanoparticles

Nanospheres (matrix type)

Nano microcapsules (respiratory type)

Solvent evaporation

Nanoprecipitation

Emulsification/ solvent diffusion

Supercritical fluid technology (SCF)

They are used to enhance physical stability and biocompatibility.

 

 

Lipid polymer hybrid nanoparticles (LPNs).

34, 39.

7

Liposomes

Unilamellar

Multiamellar

PEGylated

Ligand-targeted

Encapsulate lipophilic drugs in lipid bilayer

They have good ability to carry both hydrophilic and hydrophobic drugs in the aqueous lumen and lipid bilayer, respectively.

They also have good biocompatibility and can promote drug diffusion across the plasma membrane.

Doxil R

Other liposome formulations for hydrophilic/ hydrophobic drugs.

 

34

8

Dendrimers

-

Divergent method

Convergent method

Dendrites have been reported to improve the solubility of refractory anticancer drugs through ionic interactions, hydrogen bonding and hydrophobic interactions.

PAMAM (Polyamidoamine)

PPI (Polypropyleneimine

34, 37, 38.

9

Miscelles

Polymer stabilized

Non polymer stabilized

Encapsulate hydrophobic drugs in hydrophobic core

Self-assembly of amphiphilic block copolymers in aqueous solution

They are used to reduce rapid drug clearance via strengthening of the micellar structure and increase in the available drug amount in plasma, thus broadening pharmaceutical applications of micelles.

Paclitaxel micelles,

DNA-loaded micelles

34.

8. MULTIVITAMIN FORMULATION

Despite the easy access of energy-rich and nutrient-rich foods nutritional deficiencies are quite common, especially after covid 19 pandemic. Certain medications such as oral contraceptives are a major reason for depletion of micronutrients. In such cases dietary supplementations are often the solution for inadequate diet. (43)

Micronutrients including minerals and vitamins are essential for functioning of enzymes and proteins to help maintain and balance the body's homeostasis and physiological processes respectively. Vitamins not only perform metabolic support but also functions determined by their  chemical reactivity and distribution within the tissues. (41)

Alongside vitamins bioactive compounds such as carotenoids, polyunsaturated fatty acids and polyphenols are nutraceuticals which are essential for human health yet they are rarely targeted towards foods but rather encapsulated, powdered or solid forms that enhance bioavailability, stability and ease of handling, (42)

Multivitamin supplements tablets, capsules in particular capture a major part of 20th century  nutrition research and become one of the most widely used and available health products. On the contrary, they are dismissed and are taken for granted  by suggesting to maintain a balanced diet even when they are easily available. (44)

However, excessive use without any  diagnosed deficiency can pose risks, With differences in bioavailability  and discrepancies between labelled content and actual nutrients highlights the need for more strict surveillance and quality controls in multivitamin supplement production. (45)

Table 6: MULTIVITAMIN FORMULATIONS FEATURES COMPARISON .

Features

Capsules

Tablets

Gummies

Powders

Bioavailability

High

Variable

Moderate

Variable

Taste Masking

Masked

Acceptable

Pleasant

Poor

Cost Efficiency

Moderate

Variable

High

Low

Formulation Flexibility

Moderate

High

Moderate

Low

Nutrient Retention

Good

Variable

Variable

Low

Dose Accuracy

Fixed

Fixed

Fixed

Bulk

9. CHALLENGES

Multivitamin formulations often possess challenges depending on their chemical nature.

  1. Water-soluble vitamins: Vitamin B1 (thiamine), vitamin B2 (riboflavin), vitamin B3 (niacin), vitamin B5 (pantothenic acid), vitamin B6 (pyridoxine), vitamin B7 (biotin), vitamin B9 (folate), vitamin B12 (cyanocobalamin), vitamin C (ascorbic acid) are  highly sensitive to oxidation, hydrolysis, light, temperature, and pH variations. They often face issues with taste masking and discolourations.
  2.  Fat-soluble vitamins: Vitamin A (retinol, retinyl esters, retinal, retinoic acid), carotenoids, vitamin D (ergocalciferol, cholecalciferol), vitamin E (α-tocopherol, tocotrienol), vitamin K (phylloquinone, menaquinone) have similar stability concerns but have poor solubility issues and variable bioavailability making them more complex when incorporating into supplements.
  3. Polyunsaturated fatty acids (PUFAs): e.g. omega-3 fatty acids such as docosahexaenoic acid (DHA) are extremely prone to oxidation and if not protected effectively can cause taste and odour issues.
  4. Polyphenols: e.g. epigallocatechin gallate (EGCG), resveratrol are extremely unstable under (temperature, oxygen, light, pH)  and limited bioavailability, sensory (taste) challenges.
  5. Minerals: e.g. iron, zinc, calcium, and magnesium possess taste-related issues during  formulation.
  6. Plant extracts: Depending on their composition, they face combined challenges of chemical instability and sensory issues. (42)

10. CASE STUDIES OF VITAMIN A

10.1. Microfluidization emulsion (Banasaz et al., 2022)

Author Banasaz et al. (2022), This study used Vitamin A and developed an oil-in-water emulsion to address the oxidative degradation and droplet instability typically observed in Vitamin A dispersions with the help of high-pressure microfluidization.

An emulsion was prepared with corn oil as the carrier (purchased from Sigma Aldrich Milano, Italy), Whey protein isolate as the emulsifier (purchased from Fonterra Coöperatie U.A), and Phosphate buffer as the aqueous medium. All the reagents used were of chemical grade. The emulsion was prepared by homogenizing 10% (w/w) oil phase with 90% (w/w) aqueous phase at ambient temperature (25 °C). It is first passed through Homogenizer Ultra-Turrax (Model T25 digital, IKA, Königswinter, Germany) and followed by high-pressure microfluidizer (Model 101, Microfluidics, Newton, MA) and then stored at 40°C. The vitamin A content during the accelerated storage test was determined by HPLC with some modifications, the detection was performed at 326nm. Colloidal stability of the emulsions was evaluated using multiple light scattering measurements and TSI (Turbiscan stability index). The particle size distribution of the prepared emulsions was determined by a light scattering technique while Zeta potential analysis provided information on surface charge distribution and oxidative degradation was measured using a colourimeter where color change is a typical indicator as the intensity of color increases, degradation will also be more.

The study further demonstrated the vitamin A degradation decrease was progressively as pressure increased from 10-100MPa; however pressure above 100MPa (up-to 200MPa) did not provide any additional support. Thus, at 100MPa the emulsion exhibited best physical stability and vitamin A retention over a 4 week storage at 40 c making it most suitable for encapsulation.  (46)

10.2. Electrosprayed carbohydrate microcapsules (2023)

Fallahasghari et al.(2023), In this study, the encapsulation of vitamin A palmitate (AP) using a co-axial electrospray approach was used where a core–shell carbohydrate matrix was employed to enhance and overcome oxidative stability issues. It consisted of a shell made of octenyl succinic anhydride (OSA) modified corn starch, with maltose (Hi-Cap), and a core of ethyl cellulose along with vitamin A palmitate (AP)

The common challenges faced was high susceptibility of AP to oxidative degradation triggered by oxygen, light, heat, and reactive agents. To evaluate the same isothermal and non-isothermal differential scanning calorimetry (DSC) and Raman and Attenuated Total Reflectance–Fourier Transform Infrared (ATR-FTIR) spectroscopy methods were performed. The study revealed that the core–shell microcapsule design effectively reduced the AP at the particle surface, limiting oxidation. Casein hydrolysate and lecithin established in the core formed hydrophobic and hydrogen bonds with AP minimizing its chemical reactivity. Ethyl cellulose and soy protein hydrolysate further enhances stabilization via hydrogen bonding, while maltodextrin acts as a filler and barrier, improving oxidative resistance.

This formulation demonstrated that the combination of functional excipients provides robust strategy to protect lipophilic active compounds such as Vitamin A against oxidative degradation while the carbohydrate core–shell microcapsule prepared by co-axial electrospray with addition of oxidation protective compounds enhances the oxidative stability of the encapsulated AP. (47)

10.3. Microencapsulation of Vitamin A by spray-drying

Ribeiro et al. (2020) investigated the microencapsulation of Vitamin A using spray-drying with binary and ternary blends of gum arabic, starch, and maltodextrin. The active ingredient used here is vitamin A and the excipients used are different blends of gum arabic, maltodextrin and starch. The main challenges faced during this study of vitamin A are its sensitivity to certain adverse conditions as well as its insolubility in water making it infeasible for its direct application into functional products. The ternary blends of these three encapsulating agents produced microcapsules with smaller particle size, higher encapsulation efficiency  (88–98%). and improved oxidative stability compared to single or binary blends. The study concluded with formation of microencapsules with optimized excipients providing a robust method for future formulations of functional products (48)

11. CASE STUDIES ON VITAMIN B

11.1. Vitamin B2 (Riboflavin)

Sathiensathaporn et al. (2025) explored the nanoencapsulation of Vitamin B? (riboflavin) by employing chitosan-coated PLGA (CS-PLGA) nanoparticles. As Vitamin B2 is sensitive to light, has poor water solubility, and gastrointestinal barriers limit its storage, delivery, and absorption so selecting suitable nanomaterials becomes an essential part to overcome the same. The excipients incorporated in this formulation are PLGA as biodegradable polymer carrier, Chitosan as surface-stabilizing agent, PVA during nanoparticle formulation, Trehalose as a cryoprotectant for preserving integrity post freeze-dry, and Ethyl acetate. Along with vitamin B2 which is the active content. One of the key challenges was the stability issues vitamin B2 was facing against UV degradation and its limited gastrointestinal retention. The study showed that CS-PLGA nanoparticles exhibited a positive surface charge, and improved its stability, provided superior protection of vitamin B2 against UV-induced degradation compared to non-encapsulated PLGA NPs. CS?PLGA and PLGA NPs were successfully synthesized using single emulsion solvent evaporation. CS?PLGA NPs demonstrated stronger binding to mucin, indicating prolonged GI retention time and enhanced absorption into intestinal cells. The study concluded with the potential of CS?PLGA NPs for delivering vitamin B2 in food, nutraceutical, and pharmaceutical applications. (49)

11.2. Vitamin B1 (Thiamine)

Juhász et al. (2021), In this work a thiamine hydrochloride (vitamin B1)-loaded asolectin-based liposomes was prepared using simple encapsulation method and size regulation was optimized using sonication-stirring method. Additionally, average hydrodynamic diameter of ca. 225 at physiological and 245 nm at acidic conditions were used. Asolectin as the lipid carrier were optimized for entrapment efficiency by adjusting lipid and drug concentrations. One of the key advantage of colloidal carriers over the traditional formulations was their cellular effect which allows nearly 100% of the active ingredients to enter the cell and hence, increasing the bioavailability significantly. The authors main aim was to optimize encapsulation protocols of thiamine hydrochloride in different medias to enhance absorption and preserve its stability. The key challenge, addressed was the rapid dissolution and loss of vitamin B? under varying pH conditions in the gastrointestinal (GI) tract. The evaluation thus showed 4.5-fold higher drug retention in physiological pH and 1.5-fold retention in acidic (gastric) conditions compared to unencapsulated vitamins. Both liposomal and tablet delivered forms were best described by application of second-order kinetic release model with correlation coefficients above 0.98. To conclude, the study demonstrated that the asolectin based liposomal encapsulation significantly enhanced the pH-dependent control and retention of Vitamin B1 and the liposomal formulations of Vitamin B shows promising future to develop vitamin-based nanocarriers. (50)

11.3. Vitamin B complex group (B1, B2, B3, B12)

Sánchez-Osorno et al. (2024), This research demonstrated encapsulation of Vitamin B complex groups (thiamine B1, riboflavin B2, niacin B3, and cobalamin B12) within bacterial nanocellulose by spray drying technique. BNC acts as both the carrier and excipient, exhibiting properties such as thermal stability, high adsorption capacity, and biocompatibility. Few challenges faced were degradation caused by heat of the vitamin B complex that significantly reduces its nutritional value during food processing. Use of adsorption isotherms mainly by means of the BET, GAB and TSS models and facilitates affinity adsorption in mono- and multilayers.BNC showed great potential to adsorb vitamins B1, B2, B3 and B12 due to its hydroxyl groups which are responsible for its water or vitamin sorption, as confirmed by FTIR and adsorption modelling. BNC improved the maximum temperature degradation for each vitamin (B1: 207 °C to 340 °C; B2: 309 °C to 334 °C; B3: 249 °C to 360 °C; and B12: 275 °C to 329 °C).The study concluded highlighting that BNC is an promising encapsulating agent in the food industry and its nutritional contribution as dietary fiber, making it highly relevant for food fortification strategies. (51)

11.4. Vitamin B9 (Folic acid)

Hong et al. (2021), This study they designed folic acid receptor targeted β-cyclodextrin nanoparticle formulation for the delivery of curcumin. A nanodrug system was developed using folic acid β-CD, and ε-caprolactone (ε-CL) to enhance curcumin delivery to cervical cancer tissues that overexpress folic receptors (FRs), enabling controllable release both in vitro and in vivo. Folic acid was used as the targeting ligand to specifically bind to FRs, while β-CD provided the primary encapsulation framework and ε-CL was used to modify the same while Folic acid was used to adjust the hydrophilic and lipophilic properties for controlling drug release and achieving target delivery in tumors, respectively. While curcumin exhibits a wide range of pharmacological activities, its poor aqueous solubility, rapid decomposition, and lack of specific targeting of curcumin under physiological conditions limited its clinical application. To overcome these barriers this study applied nanotechnology targeting molecule-conjugated nanocarriers. β-CD-CL copolymer was synthesized and conjugated with folate, which was then formulated as nanoparticles by emulsion solvent evaporation. This markedly improved curcumin’s bioavailability, stability, targeting ability, high drug loading capacity with a curcumin loading rate of (20.27±0.92%) and EE of (95.64 ±0.92%) and facilitated enhanced cellular uptake in folate receptor overexpressing cancer cells, and demonstrated superior therapeutic efficacy compared to uncapsulated curcumin. To conclude, The study highlights that folic acid receptor conjugated β-cyclodextrin nanoparticles offer a promising potential for targeted cancer therapy. (52)

11.5. Vitamin B12 (Niacin)

Shabnam Karbalaei-Saleh et al. (2023), In this study Spontaneous emulsification technique is utilized for optimization of vitamin B12 nanoemulsion and encapsulation. Vitamin B12 aka cobalamin is the core active content used which is also a crucial water soluble vitamin, it is highly light sensitive, rapidly degrades under light, heat, acidic and alkaline conditions, gastrointestinal system, and other environmental circumstances. Alongside, Tween 80, alginate, and ethyl alcohol, distilled and deionized water was used for the preparation of all solutions and emulsions. All other chemicals used in this study were of analytical grade. By incorporating this system vitamin B12 shows strong potential for enhancing oral bioavailability and stability. The use of low energy methods resulted in protection of bioactive compounds and enhancement of its stability and delivery . The results indicated that the quadratic model was the most fitting model for experimental data. Optimization revealed that the optimal formulation contained 6.5% sunflower oil, 9.6% Tween 80, and 13% vitamin B12, resulting in maximum efficiency, viscosity, and vitamin B12 content, as well as minimum pH, turbidity, p-Anisidine index, particle size, and polydispersity index (PDI). Under optimal conditions, pH, viscosity, turbidity, efficiency, vitamin B12, p-Anisidine index, PDI, and particle size were 7.24, 17.0024 cp, 2.19, 51.98%, 5.54 ppm, 0.01, 0.34, and 322 nm, respectively. Overall, the study concluded that spontaneous emulsification offers a simple yet effective approach for developing vitamin B12 nano formulations with better drug delivery potential. (53)

11.6. Vitamin B3

Mapfumo et al. (2024) developed a new polymer derived from niacin (Vitamin B?) for nanodelivery application increased metabolic activity, introducing poly(2-(acryloyloxy)ethyl nicotinate) (PAEN), poly(2-acrylamidoethyl nicotinate) (PAAEN), and poly(N-(2-acrylamidoethyl)nicotinamide) (PAAENA). The formulations were designed to vary in backbone hydrophilicity. The main challenge faced during formulation was creating nutrient based polymeric nanocarriers having both efficient encapsulation and high biocompatibility and cellular uptake. Polymeric nanoparticles (NPs) with integrated dual delivery systems generally provide controlled release of bioactive molecules and drugs. The main requirement for NPs development is low toxicity with high efficacy. In this study, a direct polymerization technique with modified monomers approach was implemented. The results showed that more hydrophobic variants formed homogenous spherical nanoparticle diameters below 150 nm, they are confirmed by scanning electron microscopy and dynamic light scattering. Encapsulation efficiencies ranging from approx 46% (acrylate backbone) to 96% (acrylamide backbone) using a model compound, neutral lipid orange (NLO). Biocompatibility assays revealed that PAEN and PAAEN were non-toxic up to 300 µg/mL, and they exhibit enhanced cellular uptake and stimulated metabolic activity.Lastly, using fluorescent NLO as a drug model, the efficient uptake of NLO-encapsulated NPs highlighted the potential of P(AEN) and P(AAEN) as drug delivery candidates. The study demonstrated the underlying potential of niacin-derived polymers as pro-nutrient and nano carrier system.(54)

11.7. Vitamin B5 (pantothenic acid)

Ota A, Isteni? K, Skrt M, Šegatin N, Žnidarši? N, Kogej K, et al. (2018) investigated the encapsulation of pantothenic acid (Vitamin B?) into liposomes with mixture of  alginate or alginate–pectin microparticles. This was prepared using Phospholipon 90G (phosphatidylcholine-rich lipid), while microparticles incorporated Calcium pantothenate and alginic acid (sodium salt), calcium chloride dihydrate (as crosslinker), trifluoroacetic acid, acetonitrile and apple pectin. Additionally, excipients such as citric acid monohydrate, and potassium sorbate and sodium benzoate as preservatives were incorporated. The main challenge faced during this formulation was enhancing the stability of pantothenic acid in aqueous conditions and to enable controlled release. With liposomes, an encapsulation efficiency of 0.75 ± 0.02 was achieved, and for alginate microparticles, 0.60 ± 0.02. It was seen that the liposomes achieved higher initial EE while alginate-pectin microparticles offered controlled sustain release along with long term stability. Release studies revealed that pantothenic acid from liposomes and alginate–pectin microparticles followed first-order kinetics, whereas alginate microparticles loaded with liposomes followed Higuchi kinetics, indicating a diffusion-controlled release mechanism. The study concluded that combining liposomal encapsulation with polymer based microparticles is an effective delivery approach to enhance pantothenic acid stability and bioavailability. (55)

11.8. Vitamin B6 (pyridoxine hydrochloride)

Wanying Li et al. (2020), developed a supramolecular nanocapsule  of vitamin B6 by using Macrocyclic Nanocontainer Cucurbit[7] uril. It is a pharmaceutically and biologically relevant molecule where the pyridoxine hydrochloride (vitamin B6), was encapsulated inside the cavity of a molecular container, cucurbit[7]uril (CB[7]), in an aqueous solution. In this formulation, the excipients and materials used to encapsulate are Glycoluril, Paraformulaldehyde, conc, HCl, water, methanol and glycerol. Cucurbit[7]uril (CB[7]) acts as the main excipient and  Vitamin B6 (pyridoxine hydrochloride) is the active content. The main challenge to address was to enhance stability and oral bioavailability of Vitamin B6. The results have demonstrated that vitamin B6 forms a stable host-guest complex within CB[7] in 1:1 stoichiometry, with a binding affinity of (4.0±0.5) × 103M−1 leading to enhanced stability, sustained controlled release. This study was investigated for the first time, via 1H NMR and UV-visible spectroscopic titrations and it concluded with CB[7]-based encapsulation offering a promising nanodelivery system for Vitamin B6 supplementation, with potential in stabilization and sensing for vitamin B6 with improved biocompatibility profile. (56)

11.9. Vitamin B7 (Biotin)

Nosrati et al. (2019) designed biotin conjugated copolymeric PEG-PCL micelles as a tumour targeted nanocarrier for the delivery of artemisinin. Biotin-PEG-PCL polymers have been used for targeted drug delivery to cancer, as well as to improve the pharmacokinetic profile of the drug and minimize its sdie effects. PEG (polyethylene glycol), PCL (from ε-caprolactone), and Biotin are the main excipients in the nanocarrier. A key challenge to resolve was to enhance its poor water solubility and bioavailability. MCF-7 and normal HFF2 cells are used for toxicity testing with the help of prepared artemisinin loaded micelles. The results showed EE of artemisinin in nanoparticles was 45.5 ± 0.41%. The results of artemisinin cell culture on human breast cancer cells showed that biotin-PEG-PCL nanoparticles had an inhibitory effect on MCF-7 cells and had no toxic effects on HFF2 cells. The study concluded that these micelles provide a promising system for the delivery of ART delivery to breast cancer cells. (57)

12.VITAMIN C:-

12.1 Case study 1 :-

In their research, Amiri et al. constructed a nanoliposome complex to incorporate vitamin C, addressing the issues of instability and poor retention. They used milk phospholipids as the main bilayer material, with cholesterol or phytosterol (campesterol) as possible supplementary materials, and achieved different particle sizes with sonication times. The aim of this study included decreasing particle size, increasing encapsulation efficiency, stability, and controlled release of vitamin C. Their findings resulted in decreased particle size and increased encapsulation with longer sonication times and the phospholipid-to-phytosterol ratio. A bilayer ratio of 75:25 phospholipid to campesterol with 35-40 minutes of sonication provided the overall best outcome in terms of encapsulation efficiency and stability over 20 days and control of vitamin C release. In conclusion, nanoliposomes are a favorable system for delivery, providing vitamin C with a stable and efficient “protective bubble,” while also being able to control the release of vitamin C over time. The authors also noted the study of an anhydrous formulation with nanoliposomes adding to overall stability.(58)

12.2. Case study 2 :-

This team of researchers - Caterina Funaro, Fabriano Ferrini, and Federica Giatti from IMA Active - undertook to remove the most common malfunction of a tablet formulation using vitamin C. Given that ascorbic acid (vitamin C) is very sensitive to moisture and has a very simple degradation pathway, they decided to make the tablets effervescent by direct compression rather than using wet processing. In order to make the formulations effervescent, they mixed the ascorbic acid with interesting excipients: Effer-Soda, a surface-modified sodium bicarbonate, is resistant to moisture; EMDEX® (a functionalised glucose) and some dextrose (also used like EMDEX (as filler) also helped with flow and compression) and a small amount of magnesium stearate, used externally, to make sure the tablet did not stick to the punches and did not degrade with use.

The challenge was making a tablet that would be stable, did not degrade too quickly, and dissolved in water quickly after being dropped. Standard fillers like sugar and sorbitol did not provide the desired shelf life stability when used in the formulation. After testing numerous blends, they determined that the expansion and lubricants of EMDEX with external lubrication produced a compressible tablet. The compressed tablets had consistent weights and strengths, were free from capping, and would prescribe effervescent action. To note, the optimized and refined formula not only helped to stabilize the vitamin C and reduce degradation, but also helped streamline manufacturing to produce over 129,000 tablets per hour through the machines used in the manufacturing process.

Ultimately, their results were apparent: with appropriate excipients chosen, direct compression would produce high-quality effervescent vitamin C tablets when lubrication is applied correctly.(59)

12.3.Case study 3 :-

They chose and mixed different gentle surfactants and co-surfactants to stabilize the system and ensure it was desirable for the skin. The overall aim was to protect and shield the vitamin from oxidizing and separating during stress (i.e., heat or centrifugation) of any type. When they tested the system and put it through its paces, the system performed beautiful: the vitamin was protected; and instead of releasing all at once, only around 14% of the vitamin was delivered over the first four hours, which is a slow method of delivery that is extremely effective for topical skin care applications.

Ultimately, their takeaway was quite clear, that this O/W/O emulsion is an ingenious method of retaining the vitamin C without instability while still giving the skin gradual gratification, and could provide real promise in protocol for cosmetic and dermatological applications. (60)

13. CASE STUDIES OF VITAMIN D :-

13.1.Case study 1 :-

Vitamin D? (Cholecalciferol):-

Vitamin C is water-soluble and is easily broken down, while Vitamin D? is fat-soluble and poorly distributed in the body "on its own". The idea was to "encapsulate" both vitamins in liposomes or tiny fat bubbles that would protect the vitamins and transport them.

To keep everything safe, easy, and commercially viable, they used food-grade ingredients: sunflower lecithin, a small amount of glycerin, water and olive oil for vitamin D?. When they looked under the microscope, all of the liposomes looked just as they expected: uniformly small and round. The vitamin C liposomes were slightly larger, at approximately 200 nm; the vitamin D? liposomes were slightly smaller, at about 100 nm. Both sizes are small enough to easily help with cell entry.

When they measured to see how much vitamin was actually encapsulated and kept in the liposome, they found that vitamin D? performed really well - over 90% of the vitamin D? remained encapsulated in the liposome. Vitamin C was slightly lower, around 47%. The good news was that the liposome solutions remained homogeneous, not separating, up to three months in storage at both fridge and room temperature, and the vitamins remained stable.

These beneficial liposome "bubbles," created from wholesome, natural ingredients, can keep the vitamin C and D? protected, stable, and ready for the body to absorb. This is a powerful first step toward improved supplements and perhaps even medicine in the future. (61)

13.2.Case study 2 :-

Vitamin D3:-

As a result, four researchers, Jie Chen, Leila Dehabadi, Yuan-Chun Ma, and Lee D. Wilson, opted to experiment with how to enhance the delivery of two extremely different vitamins: vitamin C, which is hydrophilic but readily oxidizes or degrades in solution, and vitamin D? which is hydrophobic but doesn't distribute well in the body. Their approach was to encapsulate both hydrophilic and hydrophobic vitamins in liposomes, which are tiny vesicles that resemble bubbles and are made with standard food-grade components (sunflower lecithin, glycerin, and nothing exotic or harsh). They created two different lipid-based formulations (using one for each vitamin) and performed a battery of characterization tests as follows. When they visualized the liposomes under transmission electron microscopy (TEM), they appeared clear and congruent: unilamellar vesicles, approximately 200 nm in diameter for vitamin C and 100 nm for vitamin D?—the optimal size for cellular absorption. They also analyzed the zeta potential (surface charge) for the liposome formulations to ensure the particles wouldn't aggregate, and they didn't. They then analyzed the formulations via ultrahigh-pressure liquid chromatography (UHPLC) to quantify the amount of vitamin encapsulated within the vesicles. They measured about 47% encapsulation efficiency for vitamin C, while vitamin D? encapsulated over 90%—not surprising since D? is such a happy traveler in a fat environment. The two mixtures were uniform throughout, with top and bottom concentrations matching closely for consistency so there was no unwanted phase separation.

They even conducted shelf testing: after 90 days at both 4 °C and 25 °C, the liposomes were still holding nearly everything in vitamin stability, which is evidence that they are stable enough for real world use. (62)

13.3.Case study 3 :-

Vitamin D3:-

They created a lipid nanoparticle formulation of vitamin D? to overcome its instability and low skin permeation. They used lipid ingredients, including caprylic/capric triglyceride, glyceryl monostearate, and ethoxylated oleyl alcohol, which were stabilized by PVP K30, before blending them into a topical azulene cream. The challenge they faced was the natural lipophilic nature of vitamin D? that impaired its solubility and light and heat caused its degradation, leading to poor delivery through the skin barrier with the conventional cream. After systematically optimizing the lipid nanoparticle formulation, the nanoparticles were around 154 nm in size with a narrow size distribution that exhibited high stability while encapsulating about 97% of the vitamin D?. When compared with free vitamin D?, their lipid nanoparticle formulation prevented light damage on the vitamin, improved skin permeation and skin retention, and reduced oxidative stress without significant skin cell toxicity. In summary, the findings in this study indicate lipid nanoparticle-based creams may provide a protective carrier acting to improve stability and delivery of vitamin D? into deeper layers of the skin, and be useful as cosmetics in dermatological therapies.(63)

14.CASE STUDIES OF VITAMIN E :-

14.1. Case Study 1:-

Vitamin E is known to improve health; however, it has one major fault: it is water-sensitive. Therefore, much of vitamin E is lost before your body can utilize it. So, researchers sought a solution. They attempted to pair vitamin E (more specifically tocotrienols) with cyclodextrin, a sugar-like ring, capable of encapsulating oil molecules. It was like putting a water-compatible jacket on vitamin E. In animal studies, this was very successful; when tocotrienol was administered with cyclodextrin, the intended vitamin E levels in the blood were significantly higher than osseous tocotrienol without cyclodextrin. The researchers did not stop there. They created nanoparticles (solid lipid nanoparticles, or SLNs), which are fat-based carriers that are smaller than 100 nm, that could encapsulate vitamin E. These small fat capsules could physically contain vitamin E while also protecting it through the gastrointestinal process. These nano-bubbles crossed into the bloodstream similar to a standard capsule containing vitamin E. Their results suggested that vitamin E was more than 10 times more permeable and without failure, increased levels of vitamin E in the blood when compared to administer vitamin E without cyclodextrin or SLNs. Overall, vitamin E was easily 10 times more absorbed when administered with cyclodextrin or nanoparticles. The conclusion is that cyclodextrins and nanoparticles can significantly improve vitamin E's stability, solubility, and absorption. Instead of having it wasted, the body can utilize a lot more of this important vitamin with these smart delivery formulations. (64)

14.2. Case Study 2:-

Vitamin E is a powerful antioxidant, but it has one setback it is unstable, can easily be degraded by light and oxygen, and when consumed orally, the bioavailability of vitamin E is poor, particularly for the tocotrienol forms. To make matters worse, our liver offers α-tocopherol preferential treatment while other vitamin E forms get left behind.

To tackle this drawback, researchers have developed and tested nanoformulations breaking vitamin E down into tiny particle nano-emulsions, lipid nanoparticles, liposomes, and polymeric carriers. These coatings can act as a protective capsule that stops the instability of vitamin E from the environment, improves dissolvability of vitamin E itself, and helps sneak vitamin E into the bloodstream and cells.

In many studies, these nano-carriers have proven beneficial. They enhanced stability, improved absorption, and retention of antioxidant capacity for vitamin E. In some cases, carriers improved tissue distribution when compared to regular Vitamin E supplementation.(66)

14.3. Case Study 3:-

 In this study we are focusing on  the Vitamin E derivative TPGS (tocopheryl polyethylene glycol succinate) in nanomedicine. Instead of reporting on a single study, the authors take several approaches to organizing the various types of nanoformulation (such as micelles, polymeric nanoparticles, hybrid systems and nanotheranostics). 

TPGS serves as both the functional molecule and excipient. As an excipient, TPGS has demonstrated the ability to solubilize, stabilize, surfactant, and act as a P-glycoprotein inhibitor, essentially preventing drugs from being extruded from the cell. The excipients and materials frequently used along with TPGS include polymers such as PLGA-TPGS, PEG chains, and targeting ligands.

Challenges such as poor solubility of hydrophobic drugs, drug resistance via efflux pumps, stability of nanoparticles, and the distance between research and clinical practice.

From the cohesive studies reviewed in the article, authors report that TPGS-based nanoformulations can improve drug solubility, improve uptake of drugs within the cell, and improve overall drug action, while also introducing various applications in theranostics (therapy + diagnostics).(67)

15. CASE STUDIES OF VITAMIN K :-

15.1. Case Study 1:-

Vitamin K is a crucial nutrient, but it has one major issue: it is hydrophobic and will degrade in acidic environments, such as in the stomach. This is particularly problematic for neonates who suffer from liver disease (cholestasis) and already have difficulty in absorbing fat-soluble vitamins. The traditional formulation, Konakion MM, was ineffective because the micelles would clump together and degrade in the acidic stomach, leading to little vitamin k absorption. That is when the researchers Feilong Sun and his colleagues decided to develop a new protective formulation for vitamin K.  They formulated tiny micelles out of egg phosphatidylcholines, glycocholic acid, and a special PEGylated lipid (i.e., DSPE-PEG 2000). These micelles were about 7-11 nanometers in size and acted like tiny bubbles to protect vitamin K through the stomach. The biggest challenge with the new formulation was ensuring the stability of the micelles in acidic environments. The previous formulation failed to prove stable, but the PEGylated micelles did not clump or degrade across pHs. Additionally, the micelles were safe in gut-cell model experiments and delivered considerable amounts of vitamin K typical of therapeutic doses.

The researchers demonstrated that vitamin K can be encapsulated in a protective bubble suit that keeps it stable in the stomach and readily available for absorption. This method could make taking oral vitamin K much more reliable, especially for small or premature infants who need vitamin K the most.(65)

15.2. Case Study 2 :-

In this case study vitamin K? is essential for health, but on the other hand, it is poorly soluble in water and easily degraded in the stomach. The solution was to create solid lipid nanoparticles (SLNs) tiny particle carriers based on fat that could help protect and better deliver vitamin K?.

They started with a lipid called Precirol ATO 5, then they also used surfactants Myverol 18-04K and Pluronic F68 to stabilize the particles. Through design-adjustments, they optimized the surfactant to lipid ratio of the SLNs until they produced stable nanoparticles that were an ideal size and could capture a substantial load of vitamin K?.

The primary concern was balancing. If the particles were too large, they could reduce efficiency, but if the particles attempted to load too high a concentration of vitamin K?, the stability would be sacrificed. Fortunately, the investigation yielded nanoparticles around 125 nanometers in diameter with an efficient, yet impressive,85–98% vitamin K? retention and stability for months. The SLNs also released a substantial amount of the vitamin when examined in simulated incubation conditions, each time releasing from 20%–60% of the loaded vitamin K? in a controlled manner up to 28 days instead of all at once.(68)

15.3. Case Study 3:-

In this case study, measure vitamin K when it is contained in small lipid carriers (i.e., nanoemulsions and solid lipid nanoparticles) Current methods in the Korean food code method were not sensitive enough to measure vitamin K, and they also struggle with extraction under the best circumstances, because it is present in such small amounts.

In response, they developed a better method involving dispersive liquid–liquid microextraction (DLLME) combined with LC–MS/MS analysis. This method, in simple terms, removes vitamin K from its nutrient fatty carrier and employs a high-fidelity instrument to measure the vitamin K content in the final mixture.

The method performed well in experiments with vitamin K1 and vitamin K2, yielding very high accuracy (recoveries >90%), excellent reproducibility across concentrations, and significantly better sensitivity relative to the Korean Food Code method. Finally, the random samples of vitamin K nanoformulations achieved a smooth performance and captured the tiniest amounts of the vitamin, which would have been missed by previous methods.(69)

16. DISCUSSION AND CONCLUSION

Vitamin nanoformulations stand at the frontier of nutritional science industry, Nanoformulations commercially available in the market such as liposomal vitamin C and D3 supplements, SLN-based vitamin E systems, and micellar vitamin K solutions combat the barriers of poor solubility, low bioavailability and instability observed in conventional systems. Nanocarriers such as liposomes, solid lipid nanoparticles (SLNs), nanostructured lipid carriers (NLCs), nanoemulsions, polymeric nanoparticles, micelles, and dendrimers each possess its unique advantage enabling targeted, sustained release, improving absorption. They are integrated into fortified foods and food industry ensuring even distribution of vitamins without altering its texture and taste and enhancing its stability. This bridges the gap between nutrition and technology combating global micronutrient deficiencies. Some nanocarriers like, lipid-based systems like SLNs and NLCs protect fat soluble vitamins from oxidative degradation and they have high encapsulation efficiency, polymeric nanoparticles and micelles enhance bioavailability and have control over release kinetics. Incorporating encapsulation techniques not only allow sensitive vitamins into functional drink, food items but without compromising its taste and stability. In conclusion, nanoformulations have revolutionised the delivery of vitamins transforming how essential nutrients are absorbed, delivered, and sustained in the human body making them safer, efficient and easily accessible health innovations.

REFERENCES

  1. Menon A, Narula A, Mathur A. Multivitamins : Use or Misuse? Medical Journal Armed Forces India. 2008 Jul;64(3):263–7.
  2. Mohanraj VJ, Chen Y. Nanoparticles - A review. Tropical Journal of Pharmaceutical Research. 2007 Jul 31;5(1).
  3. 3.Lin W. Introduction: Nanoparticles in Medicine. Chemical Reviews. 2015 Oct 14;115(19):10407–9.
  4. Özdemir O, Kopac T. Cytotoxicity and biocompatibility of root canal sealers: A review on recent studies. Journal of Applied Biomaterials & Functional Materials. 2022 Jan;20:228080002210763.
  5. Özdemir O, Kopac T. Recent Progress on the Applications of Nanomaterials and Nano-Characterization Techniques in Endodontics: A Review. Materials. 2022 Jul 22;15(15):5109.
  6. Pandhurnekar HC, Pandhurnekar CP, Sharma N. Recent advances in the energy harvesting device technology using hetero-atom doped carbon nanotubes. Materials Today: Proceedings [Internet]. 2022 Sep 16;73:41–9. Available from: https://www.sciencedirect.com/science/article/abs/pii/S2214785322058941
  7. Gatoo MA, Naseem S, Arfat MY, Dar AM, Qasim K, Zubair S. Physicochemical Properties of nanomaterials: Implication in Associated Toxic Manifestations. BioMed Research International. 2014;2014:498420.
  8. Anu Mary Ealia S, Saravanakumar MP. A review on the classification, characterisation, synthesis of nanoparticles and their application. IOP Conference Series: Materials Science and Engineering. 2017 Nov;263(3):032019.
  9. Fischer NO, McIntosh CM, Simard JM, Rotello VM. Inhibition of chymotrypsin through surface binding using nanoparticle-based receptors. Proceedings of the National Academy of Sciences. 2002 Apr 2;99(8):5018–23.
  10. Gutierrez Gossweiler A, Martinez-Mier E  Angeles. Chapter 6: Vitamins and Oral Health. Monographs in Oral Science. 2019 Nov 7;28:59–67.
  11. Tardy AL, Pouteau E, Marquez D, Yilmaz C, Scholey A. Vitamins and minerals for energy, fatigue and cognition: A narrative review of the biochemical and clinical evidence. Nutrients [Internet]. 2020 Jan 16;12(1):228. Available from: https://pmc.ncbi.nlm.nih.gov/articles/PMC7019700/
  12. Calderón?Ospina CA, Nava?Mesa MO. B Vitamins in the nervous system: Current knowledge of the biochemical modes of action and synergies of thiamine, pyridoxine, and cobalamin. CNS Neuroscience & Therapeutics [Internet]. 2019 Sep 6;26(1):5–13. Available from: https://www.ncbi.nlm.nih.gov/pmc/articles/PMC6930825/
  13. Yoshii K, Hosomi K, Sawane K, Kunisawa J. Metabolism of Dietary and Microbial Vitamin B Family in the Regulation of Host Immunity. Frontiers in Nutrition. 2019 Apr 17;6(48).
  14. Kumar PS, Joshiba GJ. Separation and Purification of Vitamins: Vitamins B1, B2, B6, C and K1. Applications of Ion Exchange Materials in Biomedical Industries. 2019;177–87.
  15. Kennedy D. B Vitamins and the Brain: Mechanisms, Dose and Efficacy—A Review. Nutrients. 2016;8(2):68.
  16. OUP accepted manuscript. The Journal of Nutrition [Internet]. 2018; Available from: https://academic.oup.com/jn/article/148/suppl_4/1995S/5219149
  17. Hosomi K, Kunisawa J. The Specific Roles of Vitamins in the Regulation of Immunosurveillance and Maintenance of Immunologic Homeostasis in the Gut. Immune Network. 2017;17(1):13.
  18. Fluegge K. Propionic acid metabolism, ASD, and vitamin B12: Is there a role for environmental nitrous oxide? International Journal of Developmental Neuroscience. 2017 Apr;57:21–3.
  19. Carazo A, Macáková K, Matoušová K, Kr?mová LK, Protti M, Mlad?nka P. Vitamin A Update: Forms, Sources, Kinetics, Detection, Function, Deficiency, Therapeutic Use and Toxicity. Nutrients. 2021 May 18;13(5):1703.
  20. Zhao X, Zhang M, Li C, Jiang X, Su Y, Zhang Y. Benefits of Vitamins in the Treatment of Parkinson’s Disease. Oxidative Medicine and Cellular Longevity. 2019 Feb 20;2019:1–14.
  21. Hanna M, Jaqua E, Nguyen V, Clay J. B Vitamins: Functions and Uses in Medicine. The Permanente Journal [Internet]. 2022 Jun;26(2):89–97. Available from: https://www.ncbi.nlm.nih.gov/pmc/articles/PMC9662251/
  22. Dosed?l M, Jirkovský E, Macáková K, Kr?mová LK, Javorská L, Pourová J, et al. Vitamin C—Sources, Physiological Role, Kinetics, Deficiency, Use, Toxicity, and Determination. Nutrients. 2021 Feb 13;13(2).
  23. Benedik E. Sources of vitamin D for humans. International Journal for Vitamin and Nutrition Research. 2021 Oct 18;92(2):118–25.
  24. Moeller H, Martin D, Schrader K, Hoffmann W, Lorenzen PChr. Spray- or freeze-drying of casein micelles loaded with Vitamin D2: Studies on storage stability and in vitro digestibility. LWT. 2018 Nov;97:87–93.
  25. Impact of an indigestible oil phase (mineral oil) on the bioaccessibility of vitamin D3 encapsulated in whey protein-stabilized nanoemulsions. Food Research International [Internet]. 2019 Jun 1 [cited 2021 May 19];120:264–74. Available from: https://www.sciencedirect.com/science/article/pii/S0963996919301188
  26. Zai K, Hirota M, Yamada T, Ishihara N, Mori T, Akihiro Kishimura, et al. Therapeutic effect of vitamin D3-containing nanostructured lipid carriers on inflammatory bowel disease. Journal of Controlled Release [Internet]. 2018 Jul 13 [cited 2025 Sep 24];286:94–102. Available from: https://www.sciencedirect.com/science/article/abs/pii/S0168365918304139?via%3Dihub
  27. Rizvi S, Raza ST, Ahmed F, Ahmad A, Abbas S, Mahdi F. The Role of Vitamin E in Human Health and Some Diseases. Sultan Qaboos University Medical Journal [Internet]. 2014 Apr 7;14(2):e157. Available from: https://pmc.ncbi.nlm.nih.gov/articles/PMC3997530/
  28. Mlad?nka P, Macáková K, Kujovská Kr?mová L, Javorská L, Mrštná K, Carazo A, et al. Vitamin K – sources, physiological role, kinetics, deficiency, detection, therapeutic use, and toxicity. Nutrition Reviews. 2021 Sep 2;80(4).
  29. Espinosa-Salas S, Gonzalez-Arias M. Nutrition: Micronutrient Intake, Imbalances, and Interventions. In: StatPearls [Internet]. Treasure Island (FL): StatPearls Publishing; 2025 Jan. Available from: https://www.ncbi.nlm.nih.gov/books/NBK597352/.
  30. Hong S. Essential micronutrients in children and adolescents with a focus on growth and development: a narrative review. J Yeungnam Med Sci. 2025;42:25. doi:10.12701/jyms.2025.42.25.
  31. Tam E, Keats EC, Rind F, Das JK, Bhutta ZA. Micronutrient supplementation and fortification interventions on health and development outcomes among children under-five in low- and middle-income countries: a systematic review and meta-analysis. Nutrients. 2020;12(2):289. doi:10.3390/nu12020289.
  32. Haridas S, Ramaswamy J, Natarajan T, Nedungadi P. Micronutrient interventions among vulnerable populations over a decade: a systematic review on the Indian perspective. Health Promot Perspect. 2022;12(2):151–62. doi:10.34172/hpp.2022.19.
  33. Darnton-Hill I. Public health aspects in the prevention and control of vitamin deficiencies. Curr Dev Nutr. 2019;3(9):nzz075. doi:10.1093/cdn/nzz075.
  34. Lu H, Zhang S, Wang J and Chen Q (2021) A Review on Polymer and Lipid-Based Nanocarriers and Its Application to Nano-Pharmaceutical and Food-Based Systems. Front. Nutr. 8:783831. doi: 10.3389/fnut.2021.783831 (1-2)
  35. Hsu C-Y, Wang P-W, Alalaiwe A, Lin Z-C, Fang J-Y. Use of lipid nanocarriers to improve oral delivery of vitamins. Nutrients. 2019;11(1):68. https://doi.org/10.3390/nu11010068
  36. Jaison Jeevanandam, Yen San Chan, Michael K. Danquah, Nano-formulations of drugs: Recent developments, impact and challenges, Biochimie, Volumes 128–129, 2016, Pages 99-112, ISSN 0300-9084,
  37. Kesharwani P, Jain K, Jain NK. Dendrimer as nanocarrier for drug delivery. Prog Polym Sci. 2014;39(2):268–307. doi:10.1016/j.progpolymsci.2013.07.005
  38. Chauhan AS. Dendrimers for drug delivery. Molecules. 2018;23(4):938. doi:10.3390/molecules23040938
  39. Nagavarma BVN, Yadav HKS, Ayaz A, Vasudha LS, Shivakumar HG. Different techniques for preparation of polymeric nanoparticles: A review. Asian J Pharm Clin Res. 2012;5(Suppl 3):16-23
  40. Mohammadi MA, Farshi P, Ahmadi P, Ahmadi A, Yousefi M, Ghorbani M, Hosseini SM. Encapsulation of vitamins using nanoliposome: Recent advances and perspectives. Advanced Pharmaceutical Bulletin. 2021 Oct 10;13(1):48.
  41. Sánchez MC, Herráiz A, Ciudad MJ, Arias M, Alonso R, Doblas C, et al. Metabolomics and biochemical benefits of multivitamin and multimineral supplementation in healthy individuals: a pilot study. Foods. 2024;13(14):2207. doi:10.3390/foods13142207.
  42. Teleki A, Hitzfeld A, Eggersdorfer M. 100 years of vitamins: the science of formulation is the key to functionality. KONA Powder Part J. 2013;30:144-63. doi:10.14356/kona.2013015.
  43. Nenseth HZ, Sahu A, Saatcioglu F, Osguthorpe S. A nutraceutical formula is effective in raising the circulating vitamin and mineral levels in healthy subjects: a randomized trial. Front Nutr. 2021;8:703394. doi:10.3389/fnut.2021.703394.
  44. Dwivedi S, Jain A, Chaudhury A, Leonson L. Multivitamin supplements: a market analysis. Int J Pharm Res. 2024;16:7-11. doi:10.31838/ijpr/2024.16.04.002.
  45. Patel H. Comparative analysis of nutritional supplement dosage forms. J Glob Econ Bus Financ. 2024;6:39-45. doi:10.53469/jgebf.2024.06(12).08.
  46. Banasaz S, Morozova K, Ferrentino G, Scampicchio M. The effect of microfluidization pressure on the physical stability of vitamin A in oil-in-water emulsions. Eur Food Res Technol. 2022;248:2969-75. doi:10.1007/s00217-022-04104-w.
  47. Fallahasghari EZ, Højgaard Lynge M, Espholin Gudnason E, Munkerup K, Mendes AC, Chronakis IS. Carbohydrate core-shell electrosprayed microcapsules for enhanced oxidative stability of vitamin A palmitate. Pharmaceutics. 2023 Nov 16;15(11):2633. doi:10.3390/pharmaceutics15112633. PMID: 38004611; PMCID: PMC10675355.
  48. Ribeiro AM, Shahgol M, Estevinho BN, Rocha F. Microencapsulation of Vitamin A by spray-drying, using binary and ternary blends of gum arabic, starch and maltodextrin. Food Bioprocess Technol. 2020;13:915–928. doi:10.1007/s11947-020-02495-2.
  49. Sathiensathaporn S, Solé-Porta A, Baowan D, Pissuwan D, Wongtrakoongate P, Roig A, et al. Nanoencapsulation of vitamin B2 using chitosan-modified poly(lactic-co-glycolic acid) nanoparticles: Synthesis, characterization, and in vitro studies on simulated gastrointestinal stability and delivery. J Food Sci. 2025;90(1):e17631. doi:10.1111/1750-3841.17631.
  50. Juhász Á, Ungor DA, Várkonyi EZ, Varga N, Csapó E. The pH-Dependent Controlled Release of Encapsulated Vitamin B? from Liposomal Nanocarrier. Int J Mol Sci. 2021;22(18):9851. doi:10.3390/ijms22189851.
  51. Sánchez-Osorno DM, Amaya-Bustos SL, Molina-Ramírez C, López-Jaramillo MC, Martínez-Galán JP. Vitamin B Complex Encapsulation in Bacterial Nanocellulose: A Novel System for Heat and Chemical Stabilization in Food Products. Polymers. 2024;16(21):2961. doi:10.3390/polym16212961. Pmid:39518170.
  52. Hong W, Guo F, Yu N, Ying S, Lou B, Wu J, Gao Y, Ji X, Wang H, Li A, Wang G, Yang G. A Novel Folic Acid Receptor-Targeted Drug Delivery System Based on Curcumin-Loaded β-Cyclodextrin Nanoparticles for Cancer Treatment. Drug Des Devel Ther. 2021;15:2843–55. doi:10.2147/DDDT.S320119.
  53. Karbalaei-Saleh S, Yousefi S, Honarvar M. Optimization of vitamin B12 nano-emulsification and encapsulation using spontaneous emulsification. Food Sci Biotechnol. 2023 Jul;32(7):891-902. doi:10.1007/s10068-023-01355-1.
  54. Mapfumo PP, Solomun JI, Becker F, Moek E, Leiske MN, Rudolph LK, Brendel JC, Traeger A. Vitamin B? Containing Polymers for Nanodelivery. Macromolecular Bioscience. 2024 Jul;24(7):e2400002. doi:10.1002/mabi.202400002.
  55. Ota A, Isteni? K, Skrt M, Šegatin N, Žnidarši? N, Kogej K, Poklar Ulrih N. Encapsulation of pantothenic acid into liposomes and into alginate or alginate–pectin microparticles loaded with liposomes. J Food Eng. 2018;229:21–31. doi:10.1016/j.jfoodeng.2017.06.036.
  56. Li W, Li S, Wyman IW, Macartney DH, Zhang Q, Zheng Y, Wang R. Supramolecular encapsulation of vitamin B6 by macrocyclic nanocontainer Cucurbit[7]uril. J Nanomaterials. 2015;2015:Article ID 574013. doi:10.1155/2015/574013.
  57. Nosrati H, Barzegari P, Danafar H, Kheiri Manjili H. Biotin-functionalized copolymeric PEG-PCL micelles for in vivo tumour-targeted delivery of artemisinin. Artif Cells Nanomed Biotechnol. 2019 Dec;47(1):104–14. doi:10.1080/21691401.2018.1543199.
  58. Amiri S, Rezazadeh-Bari M, Alizadeh-Khaledabad M, Amiri S. New formulation of vitamin C encapsulation by nanoliposomes: production and evaluation of particle size, stability and control release. Food science and biotechnology [Internet]. 2018 Autumn;28(2):423–32. Available from: https://pubmed.ncbi.nlm.nih.gov/30956854/
  59. Caterina Funaro (IMA Active) [Internet]. European Pharmaceutical Review. 2025 [cited 2025 Sep 24]. Available from: https://www.europeanpharmaceuticalreview.com/content_author/caterina-funaro-ima-active/
  60. Farahmand S, Tajerzadeh H, Farboud ES. Formulation and Evaluation of a Vitamin C Multiple Emulsion. Pharmaceutical Development and Technology. 2006 Jan;11(2):255–61.
  61. Chen J, Dehabadi L, Ma YC, Wilson LD. Development of Novel Lipid-Based Formulations for Water-Soluble Vitamin C versus Fat-Soluble Vitamin D3. Bioengineering. 2022 Dec 19;9(12):819.
  62. Du M, Chang C, Zhang X, Zhang Y, Radford MJ, Gahler RJ, et al. Designing Vitamin D3 Formulations: An In Vitro Investigation Using a Novel Micellar Delivery System. Nutraceuticals. 2023 Jun 20;3(2):290–305.
  63. Khadeejeh AL-Smadi, Imran M, Ayyah Abdoh, Liu D, Phan K, Filho NA, et al. Vitamin D-loaded lipid nanoparticles: antioxidant properties, preparation, optimization, and in vitro characterization. Drug Delivery and Translational Research. 2025 Aug 23;
  64. Mohd Zaffarin AS, Ng SF, Ng MH, Hassan H, Alias E. Pharmacology and Pharmacokinetics of Vitamin E: Nanoformulations to Enhance Bioavailability. International Journal of Nanomedicine. 2020 Dec;Volume 15:9961–74.
  65. Sun F, Tessa, Peter, Hennink WE, Nostrum van. A Mixed Micelle Formulation for Oral Delivery of Vitamin K. Pharmaceutical Research. 2016 May 31;33(9):2168–79.
  66. Mohd Zaffarin AS, Ng SF, Ng MH, Hassan H, Alias E. Pharmacology and Pharmacokinetics of Vitamin E: Nanoformulations to Enhance Bioavailability. International Journal of Nanomedicine. 2020 Dec;Volume 15:9961–74.
  67. Abhishesh Kumar Mehata, Aseem Setia, Vikas, Ankit Kumar Malik, Hassani R, Hamad Ghaleb Dailah, et al. Vitamin E TPGS-Based Nanomedicine, Nanotheranostics, and Targeted Drug Delivery: Past, Present, and Future. Pharmaceutics. 2023 Feb 21;15(3):722–2.
  68. Liu CH, Wu CT, Fang JY. Characterization and formulation optimization of solid lipid nanoparticles in vitamin K1 delivery. Drug Development and Industrial Pharmacy. 2010 Feb 6;36(7):751–61.
  69. Yoo G, Kim T, Lee MH, Kim B, Jang HW. Determination of vitamin K encapsulated into lipid nanocarriers by dispersive liquid–liquid microextraction combined with liquid chromatography–atmospheric pressure chemical ionization–tandem mass spectrometry. Food Science & Nutrition [Internet]. 2022 Oct 17 [cited 2025 Sep 28];11(2):688–95. Available from: https://pmc.ncbi.nlm.nih.gov/articles/PMC9922116/?utm_source=chatgpt.com
  70. Venkatesh U, Sharma A, Ananthan VA, Subbiah P, Durga R. Micronutrient’s deficiency in India: a systematic review and meta-analysis. Journal of Nutritional Science. 2021;10.

Reference

  1. Menon A, Narula A, Mathur A. Multivitamins : Use or Misuse? Medical Journal Armed Forces India. 2008 Jul;64(3):263–7.
  2. Mohanraj VJ, Chen Y. Nanoparticles - A review. Tropical Journal of Pharmaceutical Research. 2007 Jul 31;5(1).
  3. 3.Lin W. Introduction: Nanoparticles in Medicine. Chemical Reviews. 2015 Oct 14;115(19):10407–9.
  4. Özdemir O, Kopac T. Cytotoxicity and biocompatibility of root canal sealers: A review on recent studies. Journal of Applied Biomaterials & Functional Materials. 2022 Jan;20:228080002210763.
  5. Özdemir O, Kopac T. Recent Progress on the Applications of Nanomaterials and Nano-Characterization Techniques in Endodontics: A Review. Materials. 2022 Jul 22;15(15):5109.
  6. Pandhurnekar HC, Pandhurnekar CP, Sharma N. Recent advances in the energy harvesting device technology using hetero-atom doped carbon nanotubes. Materials Today: Proceedings [Internet]. 2022 Sep 16;73:41–9. Available from: https://www.sciencedirect.com/science/article/abs/pii/S2214785322058941
  7. Gatoo MA, Naseem S, Arfat MY, Dar AM, Qasim K, Zubair S. Physicochemical Properties of nanomaterials: Implication in Associated Toxic Manifestations. BioMed Research International. 2014;2014:498420.
  8. Anu Mary Ealia S, Saravanakumar MP. A review on the classification, characterisation, synthesis of nanoparticles and their application. IOP Conference Series: Materials Science and Engineering. 2017 Nov;263(3):032019.
  9. Fischer NO, McIntosh CM, Simard JM, Rotello VM. Inhibition of chymotrypsin through surface binding using nanoparticle-based receptors. Proceedings of the National Academy of Sciences. 2002 Apr 2;99(8):5018–23.
  10. Gutierrez Gossweiler A, Martinez-Mier E  Angeles. Chapter 6: Vitamins and Oral Health. Monographs in Oral Science. 2019 Nov 7;28:59–67.
  11. Tardy AL, Pouteau E, Marquez D, Yilmaz C, Scholey A. Vitamins and minerals for energy, fatigue and cognition: A narrative review of the biochemical and clinical evidence. Nutrients [Internet]. 2020 Jan 16;12(1):228. Available from: https://pmc.ncbi.nlm.nih.gov/articles/PMC7019700/
  12. Calderón?Ospina CA, Nava?Mesa MO. B Vitamins in the nervous system: Current knowledge of the biochemical modes of action and synergies of thiamine, pyridoxine, and cobalamin. CNS Neuroscience & Therapeutics [Internet]. 2019 Sep 6;26(1):5–13. Available from: https://www.ncbi.nlm.nih.gov/pmc/articles/PMC6930825/
  13. Yoshii K, Hosomi K, Sawane K, Kunisawa J. Metabolism of Dietary and Microbial Vitamin B Family in the Regulation of Host Immunity. Frontiers in Nutrition. 2019 Apr 17;6(48).
  14. Kumar PS, Joshiba GJ. Separation and Purification of Vitamins: Vitamins B1, B2, B6, C and K1. Applications of Ion Exchange Materials in Biomedical Industries. 2019;177–87.
  15. Kennedy D. B Vitamins and the Brain: Mechanisms, Dose and Efficacy—A Review. Nutrients. 2016;8(2):68.
  16. OUP accepted manuscript. The Journal of Nutrition [Internet]. 2018; Available from: https://academic.oup.com/jn/article/148/suppl_4/1995S/5219149
  17. Hosomi K, Kunisawa J. The Specific Roles of Vitamins in the Regulation of Immunosurveillance and Maintenance of Immunologic Homeostasis in the Gut. Immune Network. 2017;17(1):13.
  18. Fluegge K. Propionic acid metabolism, ASD, and vitamin B12: Is there a role for environmental nitrous oxide? International Journal of Developmental Neuroscience. 2017 Apr;57:21–3.
  19. Carazo A, Macáková K, Matoušová K, Kr?mová LK, Protti M, Mlad?nka P. Vitamin A Update: Forms, Sources, Kinetics, Detection, Function, Deficiency, Therapeutic Use and Toxicity. Nutrients. 2021 May 18;13(5):1703.
  20. Zhao X, Zhang M, Li C, Jiang X, Su Y, Zhang Y. Benefits of Vitamins in the Treatment of Parkinson’s Disease. Oxidative Medicine and Cellular Longevity. 2019 Feb 20;2019:1–14.
  21. Hanna M, Jaqua E, Nguyen V, Clay J. B Vitamins: Functions and Uses in Medicine. The Permanente Journal [Internet]. 2022 Jun;26(2):89–97. Available from: https://www.ncbi.nlm.nih.gov/pmc/articles/PMC9662251/
  22. Dosed?l M, Jirkovský E, Macáková K, Kr?mová LK, Javorská L, Pourová J, et al. Vitamin C—Sources, Physiological Role, Kinetics, Deficiency, Use, Toxicity, and Determination. Nutrients. 2021 Feb 13;13(2).
  23. Benedik E. Sources of vitamin D for humans. International Journal for Vitamin and Nutrition Research. 2021 Oct 18;92(2):118–25.
  24. Moeller H, Martin D, Schrader K, Hoffmann W, Lorenzen PChr. Spray- or freeze-drying of casein micelles loaded with Vitamin D2: Studies on storage stability and in vitro digestibility. LWT. 2018 Nov;97:87–93.
  25. Impact of an indigestible oil phase (mineral oil) on the bioaccessibility of vitamin D3 encapsulated in whey protein-stabilized nanoemulsions. Food Research International [Internet]. 2019 Jun 1 [cited 2021 May 19];120:264–74. Available from: https://www.sciencedirect.com/science/article/pii/S0963996919301188
  26. Zai K, Hirota M, Yamada T, Ishihara N, Mori T, Akihiro Kishimura, et al. Therapeutic effect of vitamin D3-containing nanostructured lipid carriers on inflammatory bowel disease. Journal of Controlled Release [Internet]. 2018 Jul 13 [cited 2025 Sep 24];286:94–102. Available from: https://www.sciencedirect.com/science/article/abs/pii/S0168365918304139?via%3Dihub
  27. Rizvi S, Raza ST, Ahmed F, Ahmad A, Abbas S, Mahdi F. The Role of Vitamin E in Human Health and Some Diseases. Sultan Qaboos University Medical Journal [Internet]. 2014 Apr 7;14(2):e157. Available from: https://pmc.ncbi.nlm.nih.gov/articles/PMC3997530/
  28. Mlad?nka P, Macáková K, Kujovská Kr?mová L, Javorská L, Mrštná K, Carazo A, et al. Vitamin K – sources, physiological role, kinetics, deficiency, detection, therapeutic use, and toxicity. Nutrition Reviews. 2021 Sep 2;80(4).
  29. Espinosa-Salas S, Gonzalez-Arias M. Nutrition: Micronutrient Intake, Imbalances, and Interventions. In: StatPearls [Internet]. Treasure Island (FL): StatPearls Publishing; 2025 Jan. Available from: https://www.ncbi.nlm.nih.gov/books/NBK597352/.
  30. Hong S. Essential micronutrients in children and adolescents with a focus on growth and development: a narrative review. J Yeungnam Med Sci. 2025;42:25. doi:10.12701/jyms.2025.42.25.
  31. Tam E, Keats EC, Rind F, Das JK, Bhutta ZA. Micronutrient supplementation and fortification interventions on health and development outcomes among children under-five in low- and middle-income countries: a systematic review and meta-analysis. Nutrients. 2020;12(2):289. doi:10.3390/nu12020289.
  32. Haridas S, Ramaswamy J, Natarajan T, Nedungadi P. Micronutrient interventions among vulnerable populations over a decade: a systematic review on the Indian perspective. Health Promot Perspect. 2022;12(2):151–62. doi:10.34172/hpp.2022.19.
  33. Darnton-Hill I. Public health aspects in the prevention and control of vitamin deficiencies. Curr Dev Nutr. 2019;3(9):nzz075. doi:10.1093/cdn/nzz075.
  34. Lu H, Zhang S, Wang J and Chen Q (2021) A Review on Polymer and Lipid-Based Nanocarriers and Its Application to Nano-Pharmaceutical and Food-Based Systems. Front. Nutr. 8:783831. doi: 10.3389/fnut.2021.783831 (1-2)
  35. Hsu C-Y, Wang P-W, Alalaiwe A, Lin Z-C, Fang J-Y. Use of lipid nanocarriers to improve oral delivery of vitamins. Nutrients. 2019;11(1):68. https://doi.org/10.3390/nu11010068
  36. Jaison Jeevanandam, Yen San Chan, Michael K. Danquah, Nano-formulations of drugs: Recent developments, impact and challenges, Biochimie, Volumes 128–129, 2016, Pages 99-112, ISSN 0300-9084,
  37. Kesharwani P, Jain K, Jain NK. Dendrimer as nanocarrier for drug delivery. Prog Polym Sci. 2014;39(2):268–307. doi:10.1016/j.progpolymsci.2013.07.005
  38. Chauhan AS. Dendrimers for drug delivery. Molecules. 2018;23(4):938. doi:10.3390/molecules23040938
  39. Nagavarma BVN, Yadav HKS, Ayaz A, Vasudha LS, Shivakumar HG. Different techniques for preparation of polymeric nanoparticles: A review. Asian J Pharm Clin Res. 2012;5(Suppl 3):16-23
  40. Mohammadi MA, Farshi P, Ahmadi P, Ahmadi A, Yousefi M, Ghorbani M, Hosseini SM. Encapsulation of vitamins using nanoliposome: Recent advances and perspectives. Advanced Pharmaceutical Bulletin. 2021 Oct 10;13(1):48.
  41. Sánchez MC, Herráiz A, Ciudad MJ, Arias M, Alonso R, Doblas C, et al. Metabolomics and biochemical benefits of multivitamin and multimineral supplementation in healthy individuals: a pilot study. Foods. 2024;13(14):2207. doi:10.3390/foods13142207.
  42. Teleki A, Hitzfeld A, Eggersdorfer M. 100 years of vitamins: the science of formulation is the key to functionality. KONA Powder Part J. 2013;30:144-63. doi:10.14356/kona.2013015.
  43. Nenseth HZ, Sahu A, Saatcioglu F, Osguthorpe S. A nutraceutical formula is effective in raising the circulating vitamin and mineral levels in healthy subjects: a randomized trial. Front Nutr. 2021;8:703394. doi:10.3389/fnut.2021.703394.
  44. Dwivedi S, Jain A, Chaudhury A, Leonson L. Multivitamin supplements: a market analysis. Int J Pharm Res. 2024;16:7-11. doi:10.31838/ijpr/2024.16.04.002.
  45. Patel H. Comparative analysis of nutritional supplement dosage forms. J Glob Econ Bus Financ. 2024;6:39-45. doi:10.53469/jgebf.2024.06(12).08.
  46. Banasaz S, Morozova K, Ferrentino G, Scampicchio M. The effect of microfluidization pressure on the physical stability of vitamin A in oil-in-water emulsions. Eur Food Res Technol. 2022;248:2969-75. doi:10.1007/s00217-022-04104-w.
  47. Fallahasghari EZ, Højgaard Lynge M, Espholin Gudnason E, Munkerup K, Mendes AC, Chronakis IS. Carbohydrate core-shell electrosprayed microcapsules for enhanced oxidative stability of vitamin A palmitate. Pharmaceutics. 2023 Nov 16;15(11):2633. doi:10.3390/pharmaceutics15112633. PMID: 38004611; PMCID: PMC10675355.
  48. Ribeiro AM, Shahgol M, Estevinho BN, Rocha F. Microencapsulation of Vitamin A by spray-drying, using binary and ternary blends of gum arabic, starch and maltodextrin. Food Bioprocess Technol. 2020;13:915–928. doi:10.1007/s11947-020-02495-2.
  49. Sathiensathaporn S, Solé-Porta A, Baowan D, Pissuwan D, Wongtrakoongate P, Roig A, et al. Nanoencapsulation of vitamin B2 using chitosan-modified poly(lactic-co-glycolic acid) nanoparticles: Synthesis, characterization, and in vitro studies on simulated gastrointestinal stability and delivery. J Food Sci. 2025;90(1):e17631. doi:10.1111/1750-3841.17631.
  50. Juhász Á, Ungor DA, Várkonyi EZ, Varga N, Csapó E. The pH-Dependent Controlled Release of Encapsulated Vitamin B? from Liposomal Nanocarrier. Int J Mol Sci. 2021;22(18):9851. doi:10.3390/ijms22189851.
  51. Sánchez-Osorno DM, Amaya-Bustos SL, Molina-Ramírez C, López-Jaramillo MC, Martínez-Galán JP. Vitamin B Complex Encapsulation in Bacterial Nanocellulose: A Novel System for Heat and Chemical Stabilization in Food Products. Polymers. 2024;16(21):2961. doi:10.3390/polym16212961. Pmid:39518170.
  52. Hong W, Guo F, Yu N, Ying S, Lou B, Wu J, Gao Y, Ji X, Wang H, Li A, Wang G, Yang G. A Novel Folic Acid Receptor-Targeted Drug Delivery System Based on Curcumin-Loaded β-Cyclodextrin Nanoparticles for Cancer Treatment. Drug Des Devel Ther. 2021;15:2843–55. doi:10.2147/DDDT.S320119.
  53. Karbalaei-Saleh S, Yousefi S, Honarvar M. Optimization of vitamin B12 nano-emulsification and encapsulation using spontaneous emulsification. Food Sci Biotechnol. 2023 Jul;32(7):891-902. doi:10.1007/s10068-023-01355-1.
  54. Mapfumo PP, Solomun JI, Becker F, Moek E, Leiske MN, Rudolph LK, Brendel JC, Traeger A. Vitamin B? Containing Polymers for Nanodelivery. Macromolecular Bioscience. 2024 Jul;24(7):e2400002. doi:10.1002/mabi.202400002.
  55. Ota A, Isteni? K, Skrt M, Šegatin N, Žnidarši? N, Kogej K, Poklar Ulrih N. Encapsulation of pantothenic acid into liposomes and into alginate or alginate–pectin microparticles loaded with liposomes. J Food Eng. 2018;229:21–31. doi:10.1016/j.jfoodeng.2017.06.036.
  56. Li W, Li S, Wyman IW, Macartney DH, Zhang Q, Zheng Y, Wang R. Supramolecular encapsulation of vitamin B6 by macrocyclic nanocontainer Cucurbit[7]uril. J Nanomaterials. 2015;2015:Article ID 574013. doi:10.1155/2015/574013.
  57. Nosrati H, Barzegari P, Danafar H, Kheiri Manjili H. Biotin-functionalized copolymeric PEG-PCL micelles for in vivo tumour-targeted delivery of artemisinin. Artif Cells Nanomed Biotechnol. 2019 Dec;47(1):104–14. doi:10.1080/21691401.2018.1543199.
  58. Amiri S, Rezazadeh-Bari M, Alizadeh-Khaledabad M, Amiri S. New formulation of vitamin C encapsulation by nanoliposomes: production and evaluation of particle size, stability and control release. Food science and biotechnology [Internet]. 2018 Autumn;28(2):423–32. Available from: https://pubmed.ncbi.nlm.nih.gov/30956854/
  59. Caterina Funaro (IMA Active) [Internet]. European Pharmaceutical Review. 2025 [cited 2025 Sep 24]. Available from: https://www.europeanpharmaceuticalreview.com/content_author/caterina-funaro-ima-active/
  60. Farahmand S, Tajerzadeh H, Farboud ES. Formulation and Evaluation of a Vitamin C Multiple Emulsion. Pharmaceutical Development and Technology. 2006 Jan;11(2):255–61.
  61. Chen J, Dehabadi L, Ma YC, Wilson LD. Development of Novel Lipid-Based Formulations for Water-Soluble Vitamin C versus Fat-Soluble Vitamin D3. Bioengineering. 2022 Dec 19;9(12):819.
  62. Du M, Chang C, Zhang X, Zhang Y, Radford MJ, Gahler RJ, et al. Designing Vitamin D3 Formulations: An In Vitro Investigation Using a Novel Micellar Delivery System. Nutraceuticals. 2023 Jun 20;3(2):290–305.
  63. Khadeejeh AL-Smadi, Imran M, Ayyah Abdoh, Liu D, Phan K, Filho NA, et al. Vitamin D-loaded lipid nanoparticles: antioxidant properties, preparation, optimization, and in vitro characterization. Drug Delivery and Translational Research. 2025 Aug 23;
  64. Mohd Zaffarin AS, Ng SF, Ng MH, Hassan H, Alias E. Pharmacology and Pharmacokinetics of Vitamin E: Nanoformulations to Enhance Bioavailability. International Journal of Nanomedicine. 2020 Dec;Volume 15:9961–74.
  65. Sun F, Tessa, Peter, Hennink WE, Nostrum van. A Mixed Micelle Formulation for Oral Delivery of Vitamin K. Pharmaceutical Research. 2016 May 31;33(9):2168–79.
  66. Mohd Zaffarin AS, Ng SF, Ng MH, Hassan H, Alias E. Pharmacology and Pharmacokinetics of Vitamin E: Nanoformulations to Enhance Bioavailability. International Journal of Nanomedicine. 2020 Dec;Volume 15:9961–74.
  67. Abhishesh Kumar Mehata, Aseem Setia, Vikas, Ankit Kumar Malik, Hassani R, Hamad Ghaleb Dailah, et al. Vitamin E TPGS-Based Nanomedicine, Nanotheranostics, and Targeted Drug Delivery: Past, Present, and Future. Pharmaceutics. 2023 Feb 21;15(3):722–2.
  68. Liu CH, Wu CT, Fang JY. Characterization and formulation optimization of solid lipid nanoparticles in vitamin K1 delivery. Drug Development and Industrial Pharmacy. 2010 Feb 6;36(7):751–61.
  69. Yoo G, Kim T, Lee MH, Kim B, Jang HW. Determination of vitamin K encapsulated into lipid nanocarriers by dispersive liquid–liquid microextraction combined with liquid chromatography–atmospheric pressure chemical ionization–tandem mass spectrometry. Food Science & Nutrition [Internet]. 2022 Oct 17 [cited 2025 Sep 28];11(2):688–95. Available from: https://pmc.ncbi.nlm.nih.gov/articles/PMC9922116/?utm_source=chatgpt.com
  70. Venkatesh U, Sharma A, Ananthan VA, Subbiah P, Durga R. Micronutrient’s deficiency in India: a systematic review and meta-analysis. Journal of Nutritional Science. 2021;10.

Photo
Muddassir Solkar
Corresponding author

Department of Pharmaceutics, D.Y. Patil University, School of Pharmacy, Sector 7, Nerul, Navi Mumbai, Maharashtra, India 400706

Photo
Sakshi Vani
Co-author

Department of Pharmaceutics, D.Y. Patil University, School of Pharmacy, Sector 7, Nerul, Navi Mumbai, Maharashtra, India 400706

Photo
Dr. Geeta Bhagwat
Co-author

Department of Pharmaceutics, D.Y. Patil University, School of Pharmacy, Sector 7, Nerul, Navi Mumbai, Maharashtra, India 400706

Sakshi Vani, Muddassir Solkar, Dr. Geeta Bhagwat, Exploring Nanocarriers as Emerging Systems for Vitamin Delivery, Int. J. of Pharm. Sci., 2026, Vol 4, Issue 3, 4165-4193. https://doi.org/10.5281/zenodo.19363090

More related articles
Taste Masking of a Certain Bitter Drugs...
Hezam Saleh Mohammed Dhaifallah , ...
Nanotechnology-Based Diagnosis and Treatment of Fu...
Priyanka Kachave, Anuja Pharne , Vedanti Dawange , ...
Phytopharmaceutical Formulations: Advances in Herb...
Shital Shinde, Chaitali Sonawane, Vaishnavi Sutar, Dr. Nitin Wagh...
Formulation And Evaluation of Face Serum...
Harshada Dhangar, Pooja Surve, Harsh Jadhav, Siddhi Jadhav, Shubhangi Kedar, Chaitali Karande, Mehta...
Related Articles
Plumbago Zeylanica: A Valuable Resource for Natural Health Products ...
Punem Vani NagaSree, Dr. Priyanka Shankar , Dr. Anu Ram Kailsah Mishra , Prashant Sagar, ...
Formulation and Evaluation of Anti-inflammatory Cream by Using Moringa Oleifera ...
Jadhav Ashvini , Jadhav Ritesh, Dr. Vaishali Kate, Dr. Santosh Payghan, ...
Advances in Herbal Nanoemulgels for Acne Treatment: Formulation, Evaluation, and...
Shireen Naz S. Sheikh, Dimpal Lonhari, Trunali Bhongade, Aman Parekh, Mayuri Pimpalkar, ...
Understanding the Impact of HIV-AIDS Awareness Classes on Secondary School Stude...
Ansu Sarah Koruthu, Christeena Mariam Thomas, V S Anjana, Anagha Sreekumar, S Aswathy, V V Visakh, ...
Taste Masking of a Certain Bitter Drugs...
Hezam Saleh Mohammed Dhaifallah , ...
More related articles
Taste Masking of a Certain Bitter Drugs...
Hezam Saleh Mohammed Dhaifallah , ...
Nanotechnology-Based Diagnosis and Treatment of Fungal Infections ...
Priyanka Kachave, Anuja Pharne , Vedanti Dawange , ...
Phytopharmaceutical Formulations: Advances in Herbal Drug Delivery and Therapeut...
Shital Shinde, Chaitali Sonawane, Vaishnavi Sutar, Dr. Nitin Waghmode, ...
Taste Masking of a Certain Bitter Drugs...
Hezam Saleh Mohammed Dhaifallah , ...
Nanotechnology-Based Diagnosis and Treatment of Fungal Infections ...
Priyanka Kachave, Anuja Pharne , Vedanti Dawange , ...
Phytopharmaceutical Formulations: Advances in Herbal Drug Delivery and Therapeut...
Shital Shinde, Chaitali Sonawane, Vaishnavi Sutar, Dr. Nitin Waghmode, ...