View Article

Abstract

Hibiscus sabdariffa Linn., commonly known as roselle, is a widely cultivated medicinal and edible plant belonging to the family Malvaceae. Traditionally, it has been used across tropical and subtropical regions for the management of hypertension, liver disorders, fever, inflammation, microbial infections, and metabolic ailments. The plant is primarily valued for its red calyces, which are rich in bioactive compounds such as anthocyanins, flavonoids, phenolic acids, organic acids, and vitamins. These phytochemicals contribute to its potent antioxidant and free radical scavenging activity, providing protection against oxidative stress-related disorders. Extensive pharmacological studies, including in vitro, in vivo, and clinical investigations, have demonstrated that H. sabdariffa exhibits antihypertensive, antihyperlipidemic, hepatoprotective, nephroprotective, anti-inflammatory, antidiabetic, antimicrobial, and neuroprotective properties. The combination of its nutritional value, safety profile, and broad-spectrum therapeutic effects has prompted increasing interest in its potential application as a functional food, nutraceutical, and source for drug development. This review comprehensively summarizes the botanical features, phytochemical composition, pharmacological activities, and recent research advances related to H. sabdariffa, highlighting its role as a promising natural therapeutic agent. Further studies are needed to explore its molecular mechanisms, bioavailability, standardized dosage, and long-term safety for potential clinical applications.

Keywords

Hibiscus sabdariffa, Roselle, phytochemistry, pharmacological activities, antioxidant, anti-inflammatory, neuroprotective, medicinal plant

Introduction

Medicinal plants continue to serve as an important source of novel therapeutic agents due to their rich phytochemical diversity and long history of traditional use. In recent decades, growing interest in plant-based medicines has been driven by their potential efficacy, safety, and cost-effectiveness in managing chronic diseases. Among these medicinal plants, Hibiscus sabdariffa Linn. A member of the family Malvaceae, has attracted significant scientific attention owing to its wide range of pharmacological activities and nutritional value. [1, 2]

Hibiscus sabdariffa, commonly known as roselle, is widely cultivated in tropical and subtropical regions including India, Africa, Southeast Asia, and Central America. The plant is particularly valued for its red calyces, which are traditionally used in beverages, food products, and herbal remedies. In folk medicine, H. sabdariffa has been used for the treatment of hypertension, liver disorders, fever, inflammation, microbial infections, and metabolic disorders. [3]

Phytochemical investigations of Hibiscus sabdariffa have revealed the presence of numerous bioactive constituents such as anthocyanins (delphinidin-3-sambubioside and cyanidin-3-sambubioside), flavonoids, phenolic acids, organic acids, polysaccharides, and vitamins. These compounds are largely responsible for the plant’s potent antioxidant and free radical scavenging properties.[4,5]  Oxidative stress is a key contributor to the pathogenesis of cardiovascular, metabolic, and neurodegenerative diseases, and antioxidants derived from natural sources play a crucial role in mitigating such conditions.

Experimental and clinical studies have demonstrated that Hibiscus sabdariffa possesses a broad spectrum of pharmacological activities, including antioxidant, anti-inflammatory, antihypertensive, antihyperlipidemic, antidiabetic, hepatoprotective, nephroprotective, antimicrobial, and neuroprotective effects.[6,7,8] Its antihypertensive and lipid-lowering effects, in particular, have been validated in both animal models and human clinical trials, highlighting its potential role in cardiovascular health management.[9]

Despite extensive traditional usage and increasing scientific validation, a comprehensive understanding of the phytochemistry, pharmacological mechanisms, and therapeutic potential of Hibiscus sabdariffa is essential for its rational use and future drug development. Therefore, the present review aims to systematically summarize the botanical characteristics, phytochemical composition, pharmacological activities, and recent research advances related to Hibiscus sabdariffa, while also highlighting its future prospects as a promising natural therapeutic agent.

The plant has different local names in India [10]

Marathi

Lal Ambadi

English

Roselle, Red Sorrel

Bengali

Lal-mista, Chukar

Telugu

Mesta, Gongura

Tamil

Pulichakeerai

Assam

Chukiar

Telugu

Yerragogu

Hindi

Gonguru, Lal-Ambari, Putuja

Scientific Classification [11]

Classification

Details

Kingdom

Plantae

Phylum / Division

Magnoliophyta (Angiospermae)

Class

Magnoliopsida (Dicotyledons)

Order

Malvales

Family

Malvaceae

Genus

Hibiscus L.

Species

H. sabdariffa

BOTANICAL DESCRIPTION

Hibiscus sabdariffa (roselle) is a subshrub of the Malvaceae family, ranging from 2 to 3.5 m high, with red or green stems, lobed, toothed leaves, yellow flowers with red centers, and fleshy red calyces used for food, fiber, and medicine. [12] It is a native of West Africa but is now grown widely throughout the tropical and subtropical regions of the world, mainly in India, Southeast Asia, Africa, and the Americas. [13]

The leaves develop mainly during the early vegetative stage; they form 6 to 8 weeks after sowing and then flowering occurs in mid-summer and into early fall. The seeds are usually started indoors and then moved outdoors when the soil temperatures are warm. The plant thrives in loose, well- drained soils that are high in organic matter and have a pH of 6.0 to 7.0, which is slightly acidic to neutral; optimal growing conditions enhance leaf growth, as well as the overall development of the plant. [14]

Various species of Hibiscus sabdariffa L.

A) Hibiscus sabdariffa var. sabdariffa

B) Hibiscus sabdariffa var. Altissima

         

 

                       Fig. No. 1 Hibiscus sabdariffa Plant                     Fig. No. 2 Hibiscus sabdariffa Leaves

Chemical Constituents

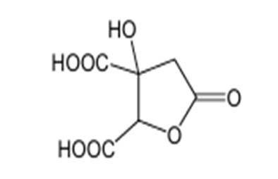
The therapeutic value of Hibiscus sabdariffa stems from its diverse array of bioactive chemical components. Anthocyanins (delphinidin-3-O-sambubioside and cyanidin-3-O-sambubioside), flavonoids (quercetin, hibiscetin, gossypetin, and kaempferol), and phenolic acids (such as protocatechiuic acid) are the main components of hibiscus. Also, it contains saponins, tannins, trace alkaloids, and organic acids, including ascorbic, citric, hibiscus, and malic acids. A few additional important constituents include polysaccharides, amino acids (such as glutamic acid, alanine, serine, aspartic acid), and steroids/terpenoids (β-sitosterol, lupeol and α-amyrin), that also contribute to the medicinal properties of the plant. [15]

        

 

a                                                                      b

   

 

c                                                                                  d

Structural compounds 1-6 identified from Hibiscus sabdariffa Linn a. Quercetin b. kaempferol c. hibiscus acid d. protocatechiuic acid

PHARMACOLOGICAL POTENTIALS OF “HIBISCUS SABDARIFFA”

  1. Anti-helminthic and Antimicrobial Effects

Roselle (Hibiscus sabdariffa) is known for its antibacterial, antifungal, and antiparasitic activities. Oil extracted from Roselle seeds has shown in vitro inhibitory effects against Bacillus anthracis and Staphylococcus albus. Aqueous and ethanol extracts have also been found to be effective against Schistosoma mansoni and other microorganisms. Afolabi et al. reported antibacterial activity of Hibiscus extract against Streptococcus mutans, a bacterium commonly found in the oral cavity. Similarly, antibacterial effects were observed against Campylobacter species. In addition, ethanol extracts of dried Roselle leaves reduced aflatoxin production and showed in vitro antifungal activity against several fungi.[16]

  1. Antihypersensitive

A clinical trial with a small number of participants showed that Hibiscus sabdariffa reduced both systolic and diastolic blood pressure when administered as a standardized preparation containing 10 mg of dried calyx. [17] Other studies have also reported that regular consumption of hibiscus tea as part of the daily diet helps lower blood pressure in adults with pre-hypertension or mild hypertension. [18]

  1. Antioxidants

Some studies have shown that Hibiscus sabdariffa extracts have antioxidant activity by reducing lipid peroxidation. The calyx extract showed slightly higher antioxidant activity than the leaf extract, with lipid peroxidation inhibition of 71.3% and 69.41%, respectively.[19] A study on rats with high cholesterol showed that Hibiscus sabdariffa extracts increased antioxidant activity by inhibiting the formation of thiobarbituric acid reactive substances (TBARs), which are involved in the oxidation of low-density lipoprotein (LDL). In addition, H. sabdariffa showed hepatoprotective effects in rats with ammonium chloride–induced hyperammonemia by reducing levels of TBARs and hydroperoxides. [20]

  1. Antihyperlipidemic and anti-obesity

Several studies have reported that Hibiscus sabdariffa helps reduce lipid levels. It inhibits adipocyte (fat cell) differentiation by regulating the PI3-K and MAPK signaling pathways, thereby reducing adipogenesis and lipid accumulation.[21] In studies on obese Sprague-Dawley rats, H. sabdariffa showed anti-obesity effects by suppressing appetite, which led to reduced food intake and body weight. Significant weight reduction was observed after administration of higher doses of H. sabdariffa extracts. [22] Additionally, ethanolic extracts of H. sabdariffa dried calyces reduced lipid profiles in male Sprague-Dawley rats fed a high-fat diet.[23]

  1. Hepatoprotective

Hepatoprotective compounds are compounds that can restore liver function. The extract of H. sabdariffa also demonstrated hepatoprotection by influencing the levels of lipid peroxidation products and liver marker enzymes in Experimental hyperammonemia [26]. The antihepatotoxic activity of Hibiscus sabdariffa extract in STZ diabetic rats may be partly related to the antioxidant activity and the presence of flavonoids. [24] The water extract of H. sabdariffa given to hepatotoxic mice (induced with paracetamol) orally at a concentration above 200 mg/Kg for five days showed that liver histology and biochemical indices of liver damage returned to normal [9].The oral administration of H. sabdariffa dried flower extract (200 and 300mg/kg body weight) significantly decreased 37% sodium arsenate (SA) and malondialdehyde (MDA) formation in the liver. [25]

  1. Lactogenic Activity

 The ethanolic seed extract of Hibiscus sabdariffa (200–1600 mg/kg) was reported to increase serum prolactin levels in lactating Albino Wistar rats in a dose-dependent manner compared to controls, suggesting potential lactogenic effects.[26]

  1. Anti-diabetic Activity:

Diabetes mellitus is an endocrine and metabolic disorder characterized by chronic hyperglycemia, dyslipidemia, and impaired insulin regulation. The protective effects of a polyphenol-rich extract of Hibiscus sabdariffa were evaluated using a type II diabetic rodent model induced by a high-fat diet. At a dose of 200 mg/kg, the extract exhibited significant anti-insulin-resistance activity by reducing hyperglycemia and hyperinsulinemia. Furthermore, it decreased the formation of advanced glycation end products (AGEs), lipid peroxidation, and improved lipid profiles by lowering serum triacylglycerol, total cholesterol, and the LDL/HDL ratio.[27]

  1. Anticancer Activity

The methanolic extract of Hibiscus sabdariffa demonstrated significant anticancer activity against human colon cancer (Caco-2) cells. The extract showed strong cytotoxic effects with an IC?? value of 17.51 ± 0.07 µg/mL, while exhibiting low toxicity toward normal Vero cells (CC?? = 165.24 ± 0.89 µg/mL, indicating good selectivity). Flow cytometric analysis confirmed that the extract significantly induced apoptosis in treated Caco-2 cells compared to untreated controls. GC–MS analysis revealed the presence of bioactive compounds, and molecular docking studies suggested strong binding interactions of selected metabolites with cancer-related target proteins, supporting the molecular basis of its anticancer potential.[28]

  1. Nephroprotective Activity

Flavonoid-rich leaf extracts of Hibiscus sabdariffa exhibited significant nephroprotective effects in streptozotocin-induced diabetic rats. Treatment with low and high doses of the extract markedly improved renal function by reducing serum creatinine, urea, and uric acid levels, while restoring electrolyte balance. The extract significantly attenuated oxidative stress and inflammation in kidney tissues and improved renal histopathology. Molecular analysis showed downregulation of kidney injury molecule-1 (KIM-1) and transforming growth factor-β1 (TGF-1β), key biomarkers associated with diabetic nephropathy. These findings suggest that H. sabdariffa leaf flavonoids exert strong antioxidant and anti-inflammatory effects and may serve as a potential natural therapeutic agent for the management of diabetic-induced kidney damage.[29]

  1. Anti-Hypertension and Diuretic activity

Aqueous extracts of Hibiscus sabdariffa calyces have demonstrated significant anti-hypertensive and diuretic effects. In vitro studies showed that the extract competitively inhibited angiotensin-converting enzyme (ACE), a key regulator of blood pressure, with activity comparable to standard ACE inhibitors. In vivo experiments in Wistar rats revealed marked diuretic and natriuretic effects at doses of 50–200 mg/kg, characterized by increased urine output, enhanced sodium excretion, and favorable Na?/K? ratios. These effects were dose-dependent and comparable to standard diuretics such as furosemide and spironolactone. The antihypertensive and diuretic actions of H. sabdariffa are largely attributed to its high content of phenolic compounds, flavonoids, anthocyanins, and bioactive peptides, supporting its potential use as a natural nutraceutical for hypertension management.[30]

  1. Anti-Diabetes Mellitus

Hibiscus sabdariffa has shown significant antidiabetic potential in experimental studies. Polyphenol- and flavonoid-rich extracts improve glucose homeostasis by reducing fasting blood glucose levels and enhancing insulin sensitivity. In type II diabetic animal models, H. sabdariffa extracts lowered hyperglycemia, hyperinsulinemia, and dyslipidemia while inhibiting oxidative stress and the formation of advanced glycation end products (AGEs). These effects are mainly attributed to its strong antioxidant activity and regulation of carbohydrate and lipid metabolism, supporting the traditional use of H. sabdariffa in diabetes management.[31]

  1. Anti-Hypercholesterolemic Activity

Hibiscus sabdariffa L. (Roselle) has shown significant anti-hypercholesterolemic and anti-obesity activity in experimental models. In obese-hypercholesterolemic rats induced by a high-fat diet, anthocyanin-rich H. sabdariffa aqueous extract significantly reduced body mass index (BMI) and improved lipid profile by lowering total cholesterol and other lipid parameters. The extract also normalized liver enzyme levels and improved fatty liver conditions. Histopathological examination confirmed reduced hepatic fat accumulation and improved liver architecture. These effects were comparable to standard drugs such as orlistat and atorvastatin, suggesting that anthocyanin-rich H. sabdariffa extract is an effective and safe natural alternative for the management of hypercholesterolemia and obesity.[32]

  1. Anti-urolithiatic activity

Hibiscus sabdariffa L. has been traditionally used to manage kidney stones (urolithiasis). In the present study, dried calyces were shade-dried, powdered, and extracted using aqueous or hydro-ethanolic solvent by Soxhlet extraction. The obtained extract was evaluated in an ethylene glycol–induced urolithiasis experimental model. Treatment significantly reduced urinary calcium, oxalate, and phosphate levels and increased urine volume, indicating inhibition of stone formation. Histopathological examination showed reduced crystal deposition and improved renal architecture compared to untreated controls. The antiurolithiatic effect may be attributed to the plant’s diuretic, antioxidant, and crystal-growth inhibitory properties. In conclusion, H. sabdariffa demonstrates promising activity against kidney stone formation and may serve as a safe, plant-based therapeutic option for urolithiasis management.[33]

  1. Anti-inflammatory activity

Several experimental studies have confirmed the anti-inflammatory potential of Hibiscus sabdariffa. In vivo studies using carrageenan-induced paw edema in rats showed that methanolic and ethanolic extracts of H. sabdariffa significantly reduced inflammation in a dose-dependent manner, with higher doses producing effects comparable to Diclofenac.[34] In vitro investigations further demonstrated that leaf extracts and their fractions markedly inhibited pro-inflammatory cytokines such as TNF-α, IL-1β, IFN-γ, and IL-6, with the ethyl acetate fraction showing the strongest activity due to its high flavonoid and phenolic content.[35] Additionally, polyphenols isolated from H. sabdariffa were found to suppress lipopolysaccharide-induced inflammation by down-regulating cyclooxygenase-2 (COX-2) expression and improving cellular antioxidant status.[36] Overall, these findings support the traditional use of H. sabdariffa as an effective natural anti-inflammatory agent.

  1. Immunomodulation Activity

Immunomodulators are bioactive substances that modify the body’s immune response by either suppressing white blood cell activity or enhancing immune functions through antibody production. Hibiscus sabdariffa has been reported to exhibit both immunostimulatory and immunosuppressive effects. In a study conducted by Fakeye et al. using Wistar albino rats, administration of H. sabdariffa extract resulted in a dose-dependent increase in neutrophils, basophils, monocytes, and eosinophils. Additionally, the red blood cell (RBC) count was significantly elevated in treated groups compared to the control group, indicating the immunomodulatory potential of H. sabdariffa.[37]

  1. Anti-tumour

The polyphenolic leaf extract of Hibiscus sabdariffa has demonstrated significant anti-tumour activity in both in vitro and in vivo studies. In vitro evaluation using SRB assay showed that the extract produced dose-dependent cytotoxic effects against human breast cancer cell lines MCF-7, T-47-D, and MDA-MB-231, achieving nearly 50% growth inhibition compared to the standard drug adriamycin. HPTLC analysis confirmed the presence of flavonoids and phenolic compounds, which correlated with strong antioxidant activity. In vivo studies using the zebrafish tumor model revealed marked tumor growth inhibition (45 ± 2.24%), along with significant suppression of angiogenesis and metastasis, comparable to the standard drug paclitaxel. These findings suggest that H. sabdariffa polyphenols possess potent anti-tumour and anti-metastatic properties, highlighting their potential as a natural therapeutic agent for breast cancer.[38]

  1. Neuroprotective activity

Hibiscus sabdariffa (roselle) has shown promising neuroprotective activity against oxidative stress–induced neuronal damage. In experimental studies, hydrogen peroxide (H?O?) was used to induce neurotoxicity, as it is a known endogenous neurotoxin that promotes oxidative stress and neuronal apoptosis. The extract of H. sabdariffa (mainly calyces/leaf extract) significantly protected neuronal cells from H?O?-induced damage. The neuroprotective effect was attributed to its strong antioxidant and antiapoptotic properties, which helped reduce oxidative damage and improve neuronal survival. The extract effectively attenuated cell death by scavenging reactive oxygen species and inhibiting apoptosis-related pathways. These findings suggest that H. sabdariffa can counteract oxidative stress–mediated neurodegeneration. Overall, the study highlights the potential of Hibiscus sabdariffa as a natural neuroprotective agent, which may help reduce the risk or progression of neurodegenerative disorders such as Alzheimer’s and Parkinson’s disease by preserving neuronal function and viability.[39]

CONCLUSION

Hibiscus sabdariffa Linn. is a medicinally important plant with a long history of traditional use and growing scientific validation. The available evidence demonstrates that the plant is rich in diverse bioactive phytochemicals, particularly anthocyanins, flavonoids, phenolic acids, and organic acids, which collectively contribute to its broad spectrum of pharmacological activities. Experimental and clinical studies have confirmed its potent antioxidant, anti-inflammatory, antihypertensive, antihyperlipidemic, antidiabetic, hepatoprotective, and neuroprotective effects, supporting many of its ethnomedicinal applications.

The multifaceted therapeutic actions of H. sabdariffa are largely attributed to its ability to modulate oxidative stress, inflammatory pathways, and key metabolic and cardiovascular regulators. Its favorable safety profile, nutritional value, and wide dietary acceptance further enhance its potential as a functional food, nutraceutical, and complementary therapeutic agent. However, despite substantial preclinical and clinical evidence, variability in extraction methods, phytochemical composition, dosage regimens, and study designs limits the direct translation of current findings into standardized clinical applications.

Future research should focus on elucidating precise molecular mechanisms, improving bioavailability, standardizing formulations, and conducting well-designed clinical trials to establish optimal dosing and long-term safety. Overall, Hibiscus sabdariffa represents a promising natural resource with significant potential for integration into modern pharmacotherapy and the development of novel plant-based therapeutics.

REFERENCES

  1. World Health Organization. WHO Traditional Medicine Strategy 2014–2023. Geneva: WHO Press; 2013.
  2. Pan SY, Litscher G, Gao SH, Zhou SF, Yu ZL, Chen HQ, et al. New perspectives on Chinese herbal medicine (Zhong-Yao) research and development. Evid Based Complement Alternat Med. 2014;2014:1–24.
  3.  Ali BH, Al-Wabel N, Blunden G. Phytochemical, pharmacological and toxicological aspects of Hibiscus sabdariffa L.: A review. Phytother Res. 2005;19(5):369–75.
  4. Tsai PJ, McIntosh J, Pearce P, Camden B, Jordan BR. Anthocyanin and antioxidant capacity in roselle (Hibiscus sabdariffa L.) extract. Food Res Int. 2002;35(4):351–6.
  5. Da-Costa-Rocha I, Bonnlaender B, Sievers H, Pischel I, Heinrich M. Hibiscus sabdariffa L.–A phytochemical and pharmacological review. Food Chem. 2014;165:424–43.
  6. Mahadevan N, Kamboj P. Hibiscus sabdariffa Linn.—An overview. Nat Prod Radiance. 2009;8(1):77–83.
  7. Farombi EO, Fakoya A. Free radical scavenging and antigenotoxic activities of Hibiscus sabdariffa extracts. Food Chem. 2005;89(3):351–6.
  8. Ojeda D, Jiménez-Ferrer E, Zamilpa A, Herrera-Arellano A, Tortoriello J. Inhibition of angiotensin-converting enzyme activity by anthocyanins from Hibiscus sabdariffa. J Ethnopharmacol. 2010;127(1):7–10.
  9. McKay DL, Blumberg JB. A review of the bioactivity and potential health benefits of Hibiscus sabdariffa tea. Phytother Res. 2007;21(6):509–23.
  10. Kumari N, Singh AP. Hibiscus sabdariffa L.–A review on its pharmacological activity and medicinal uses. J Multidiscip Res. 2025;5(1):14–19. doi:10.37022/tjmdr.v5i1.666.
  11. Kokare SA, Kalamb VS, Bakal RL, Hatwar PR. Hibiscus sabdariffa: A comprehensive review of its phytochemistry, traditional uses and therapeutic potentials. Int J Herbal Med. 2025;13(4):37–41. doi:10.22271/flora.2025.v13.i4a.996.
  12. Onyeukwu OB, Dibie DC, Njideaka OT. Hibiscus sabdariffa–Uses, nutritional and therapeutic benefits: A review. J Biosci Biotechnol Discov. 2023;8(2):18–23. doi:10.31248/JBBD2023.178.
  13. M’be CU, Scher J, Gaiani C, Amani NG, Burgain J. Impact of processing and physicochemical parameters on Hibiscus sabdariffa calyx biomolecules and antioxidant activity. Foods. 2023;12(16):2984. doi:10.3390/foods12162984.
  14. Mahadevan N, Shivali, Kamboj P. Hibiscus sabdariffa Linn.–An overview. Nat Prod Radiance. 2009;8(1):77–83.
  15. Koul B, Farooq U, Yadav D, Song M. Phytochemicals: A promising alternative for the prevention of Alzheimer’s disease. Life. 2023;13(4):999. doi:10.3390/life13040999.
  16. Singh P, Khan M, Hailemariam H. Nutritional and health importance of Hibiscus sabdariffa: A review and indication for research needs. J Nutr Health Food Eng. 2017;6(5):125–8.
  17. Mungole A, Chaturvedi A. Hibiscus sabdariffa L.: A rich source of secondary metabolites. Int J Pharm Sci Rev Res. 2011;6(1):83–7.
  18. McKay DL, Chen CO, Saltzman E, Blumberg JB. Hibiscus sabdariffa L. tea lowers blood pressure in prehypertensive and mildly hypertensive adults. J Nutr. 2010;140(2):298–303.
  19. Ochani PC, D’Mello P. Antioxidant and antihyperlipidemic activity of Hibiscus sabdariffa Linn. extracts in rats. Indian J Exp Biol. 2009;47(4):276–82.
  20. Suhaili NIM, Manshoor N. Ethnomedicine, phytochemistry, and bioactivities of Hibiscus sabdariffa L. J Herbmed Pharmacol. 2022;11(4):451–60. doi:10.34172/jhp.2022.52.
  21. Kim JK, So H, Youn MJ, Kim HJ, Kim Y, Park C, et al. Hibiscus sabdariffa water extract inhibits adipocyte differentiation through PI3-K and MAPK pathways. J Ethnopharmacol. 2007;114(2):260–7.
  22. Omar MH, Shamsahal N, Muhammad H, Ahmad WA, Wasiman MI. Anti-obesity and haematological effects of Hibiscus sabdariffa aqueous extract in obese rats. Funct Foods Health Dis. 2018;8(6):340–52.
  23. Carvajal-Zarrabal O, Waliszewski SM, Barradas-Dermitz DM, Orta-Flores Z, Hayward-Jones PM, Nolasco-Hipólito C, et al. Consumption of Hibiscus sabdariffa extract reduced lipid profile in rats. Plant Foods Hum Nutr. 2005;60(4):153–9.
  24. Adeyemi DO, Ukwenya VO, Obuotor EM, Adewole SO. Anti-hepatotoxic activities of Hibiscus sabdariffa in diabetic liver damage. BMC Complement Altern Med. 2014;14:277.
  25. Usoh IF, Akpan EJ, Etim EO, Farombi EO. Antioxidant actions of Hibiscus sabdariffa flower extracts on arsenite-induced oxidative stress. Pak J Nutr. 2005;4(3):135–41.
  26. Gaya I, Mohammad O, Suleiman A, Maje M, Adekunle A. Toxicological and lactogenic studies of Hibiscus sabdariffa seed extract in rats. Internet J Endocrinol. 2009;5(2):1–6.
  27. Peng CH, Chyau CC, Chan KC, Chan TH, Wang CJ, Huang CN. Hibiscus sabdariffa polyphenolic extract inhibits hyperglycemia and hyperlipidemia. J Agric Food Chem. 2011;59(18):9901–9.
  28. Sehim AE, Amin BH, Yosri M, Salama HM, Alkhalifah DH, Abd Elghaffar RY. GC-MS analysis and biological activities of Hibiscus sabdariffa methanolic extract. Microorganisms. 2023;11(6):1601.
  29. Ajiboye BO, Famusiwa CD, Nifemi DM, Ayodele BM, Akinlolu OS, Fatoki TH, et al. Nephroprotective effect of Hibiscus sabdariffa leaf flavonoids in diabetic rats. ACS Omega. 2024;9(18):19334–44.
  30. Sanou A, Konaté K, Belemnaba L, Sama H, Kaboré K, Dakuyo R, et al. In vivo diuretic and antihypertensive activity of Hibiscus sabdariffa extract. Foods. 2024;13(4):534
  31. Jamrozik D, Borymska W, Kaczmarczyk-?ebrowska I. Hibiscus sabdariffa in diabetes prevention and treatment—does it work? An evidence-based review. Foods. 2022;11(14):2134. doi:10.3390/foods11142134.
  32. Noordin L, Wan Mohamad Noor WNI, Safuan S, Wan Ahmad WAN. Therapeutic effects of anthocyanin-rich Hibiscus sabdariffa L. extract on body mass index, lipid profile and fatty liver in obese-hypercholesterolaemic rat model. Int J Basic Clin Pharmacol. 2019;9(1):1–7. doi:10.18203/2319-2003.ijbcp20195759.
  33. Pérez-Torres I, Soto ME, Manzano-Pech L, Díaz-Díaz E, Martínez-Memije R, Torres-Narváez JC, Guarner-Lans V, Castrejón-Téllez V. Effect of Hibiscus sabdariffa L. on the metabolism of arachidonic acid in the isolated kidney of a rat model of metabolic syndrome. Int J Mol Sci. 2023;24(18):14209. doi:10.3390/ijms241814209.
  34. Meraiyebu AB, Olaniyan OT, Eneze C, Anjorin YD, Dare JB. Anti-inflammatory activity of methanolic extract of Hibiscus sabdariffa on carrageenan-induced inflammation in Wistar rats. Int J Pharm Sci Invention. 2013;2(3):22–24.
  35. El-Gazzar NS, Ghareeb DA, Mahmoud FAA, Abdallah II. Anti-inflammatory activity and HPTLC phytochemical screening of Hibiscus sabdariffa leaves. Rec Pharm Biomed Sci. 2023;7(2):198–206.
  36. Kao ES, Hsu JD, Wang CJ, Yang SH, Cheng SY, Lee HJ. Polyphenols extracted from Hibiscus sabdariffa L. inhibit lipopolysaccharide-induced inflammation by regulating cyclooxygenase-2 expression. Biosci Biotechnol Biochem. 2009;73(2):385–90.
  37. Bhattacharya B, Sharma C. Potential bioactive properties of Hibiscus sabdariffa (Roselle). World J Pharm Pharm Sci. 2018;7(10):718–34.
  38. Ahirwar B, Ahirwar D. In vivo and in vitro investigation of cytotoxic and antitumor activities of polyphenolic leaf extract of Hibiscus sabdariffa against breast cancer cell lines. Res J Pharm Technol. 2020;13(2):615–20.
  39. Shalgum A, Govindarajulu M, Majrashi M, Ramesh S, Collier WE, Griffin G, et al. Neuroprotective effects of Hibiscus sabdariffa against hydrogen peroxide-induced toxicity. J Herb Med. 2019;17:100253.

Reference

  1. World Health Organization. WHO Traditional Medicine Strategy 2014–2023. Geneva: WHO Press; 2013.
  2. Pan SY, Litscher G, Gao SH, Zhou SF, Yu ZL, Chen HQ, et al. New perspectives on Chinese herbal medicine (Zhong-Yao) research and development. Evid Based Complement Alternat Med. 2014;2014:1–24.
  3.  Ali BH, Al-Wabel N, Blunden G. Phytochemical, pharmacological and toxicological aspects of Hibiscus sabdariffa L.: A review. Phytother Res. 2005;19(5):369–75.
  4. Tsai PJ, McIntosh J, Pearce P, Camden B, Jordan BR. Anthocyanin and antioxidant capacity in roselle (Hibiscus sabdariffa L.) extract. Food Res Int. 2002;35(4):351–6.
  5. Da-Costa-Rocha I, Bonnlaender B, Sievers H, Pischel I, Heinrich M. Hibiscus sabdariffa L.–A phytochemical and pharmacological review. Food Chem. 2014;165:424–43.
  6. Mahadevan N, Kamboj P. Hibiscus sabdariffa Linn.—An overview. Nat Prod Radiance. 2009;8(1):77–83.
  7. Farombi EO, Fakoya A. Free radical scavenging and antigenotoxic activities of Hibiscus sabdariffa extracts. Food Chem. 2005;89(3):351–6.
  8. Ojeda D, Jiménez-Ferrer E, Zamilpa A, Herrera-Arellano A, Tortoriello J. Inhibition of angiotensin-converting enzyme activity by anthocyanins from Hibiscus sabdariffa. J Ethnopharmacol. 2010;127(1):7–10.
  9. McKay DL, Blumberg JB. A review of the bioactivity and potential health benefits of Hibiscus sabdariffa tea. Phytother Res. 2007;21(6):509–23.
  10. Kumari N, Singh AP. Hibiscus sabdariffa L.–A review on its pharmacological activity and medicinal uses. J Multidiscip Res. 2025;5(1):14–19. doi:10.37022/tjmdr.v5i1.666.
  11. Kokare SA, Kalamb VS, Bakal RL, Hatwar PR. Hibiscus sabdariffa: A comprehensive review of its phytochemistry, traditional uses and therapeutic potentials. Int J Herbal Med. 2025;13(4):37–41. doi:10.22271/flora.2025.v13.i4a.996.
  12. Onyeukwu OB, Dibie DC, Njideaka OT. Hibiscus sabdariffa–Uses, nutritional and therapeutic benefits: A review. J Biosci Biotechnol Discov. 2023;8(2):18–23. doi:10.31248/JBBD2023.178.
  13. M’be CU, Scher J, Gaiani C, Amani NG, Burgain J. Impact of processing and physicochemical parameters on Hibiscus sabdariffa calyx biomolecules and antioxidant activity. Foods. 2023;12(16):2984. doi:10.3390/foods12162984.
  14. Mahadevan N, Shivali, Kamboj P. Hibiscus sabdariffa Linn.–An overview. Nat Prod Radiance. 2009;8(1):77–83.
  15. Koul B, Farooq U, Yadav D, Song M. Phytochemicals: A promising alternative for the prevention of Alzheimer’s disease. Life. 2023;13(4):999. doi:10.3390/life13040999.
  16. Singh P, Khan M, Hailemariam H. Nutritional and health importance of Hibiscus sabdariffa: A review and indication for research needs. J Nutr Health Food Eng. 2017;6(5):125–8.
  17. Mungole A, Chaturvedi A. Hibiscus sabdariffa L.: A rich source of secondary metabolites. Int J Pharm Sci Rev Res. 2011;6(1):83–7.
  18. McKay DL, Chen CO, Saltzman E, Blumberg JB. Hibiscus sabdariffa L. tea lowers blood pressure in prehypertensive and mildly hypertensive adults. J Nutr. 2010;140(2):298–303.
  19. Ochani PC, D’Mello P. Antioxidant and antihyperlipidemic activity of Hibiscus sabdariffa Linn. extracts in rats. Indian J Exp Biol. 2009;47(4):276–82.
  20. Suhaili NIM, Manshoor N. Ethnomedicine, phytochemistry, and bioactivities of Hibiscus sabdariffa L. J Herbmed Pharmacol. 2022;11(4):451–60. doi:10.34172/jhp.2022.52.
  21. Kim JK, So H, Youn MJ, Kim HJ, Kim Y, Park C, et al. Hibiscus sabdariffa water extract inhibits adipocyte differentiation through PI3-K and MAPK pathways. J Ethnopharmacol. 2007;114(2):260–7.
  22. Omar MH, Shamsahal N, Muhammad H, Ahmad WA, Wasiman MI. Anti-obesity and haematological effects of Hibiscus sabdariffa aqueous extract in obese rats. Funct Foods Health Dis. 2018;8(6):340–52.
  23. Carvajal-Zarrabal O, Waliszewski SM, Barradas-Dermitz DM, Orta-Flores Z, Hayward-Jones PM, Nolasco-Hipólito C, et al. Consumption of Hibiscus sabdariffa extract reduced lipid profile in rats. Plant Foods Hum Nutr. 2005;60(4):153–9.
  24. Adeyemi DO, Ukwenya VO, Obuotor EM, Adewole SO. Anti-hepatotoxic activities of Hibiscus sabdariffa in diabetic liver damage. BMC Complement Altern Med. 2014;14:277.
  25. Usoh IF, Akpan EJ, Etim EO, Farombi EO. Antioxidant actions of Hibiscus sabdariffa flower extracts on arsenite-induced oxidative stress. Pak J Nutr. 2005;4(3):135–41.
  26. Gaya I, Mohammad O, Suleiman A, Maje M, Adekunle A. Toxicological and lactogenic studies of Hibiscus sabdariffa seed extract in rats. Internet J Endocrinol. 2009;5(2):1–6.
  27. Peng CH, Chyau CC, Chan KC, Chan TH, Wang CJ, Huang CN. Hibiscus sabdariffa polyphenolic extract inhibits hyperglycemia and hyperlipidemia. J Agric Food Chem. 2011;59(18):9901–9.
  28. Sehim AE, Amin BH, Yosri M, Salama HM, Alkhalifah DH, Abd Elghaffar RY. GC-MS analysis and biological activities of Hibiscus sabdariffa methanolic extract. Microorganisms. 2023;11(6):1601.
  29. Ajiboye BO, Famusiwa CD, Nifemi DM, Ayodele BM, Akinlolu OS, Fatoki TH, et al. Nephroprotective effect of Hibiscus sabdariffa leaf flavonoids in diabetic rats. ACS Omega. 2024;9(18):19334–44.
  30. Sanou A, Konaté K, Belemnaba L, Sama H, Kaboré K, Dakuyo R, et al. In vivo diuretic and antihypertensive activity of Hibiscus sabdariffa extract. Foods. 2024;13(4):534
  31. Jamrozik D, Borymska W, Kaczmarczyk-?ebrowska I. Hibiscus sabdariffa in diabetes prevention and treatment—does it work? An evidence-based review. Foods. 2022;11(14):2134. doi:10.3390/foods11142134.
  32. Noordin L, Wan Mohamad Noor WNI, Safuan S, Wan Ahmad WAN. Therapeutic effects of anthocyanin-rich Hibiscus sabdariffa L. extract on body mass index, lipid profile and fatty liver in obese-hypercholesterolaemic rat model. Int J Basic Clin Pharmacol. 2019;9(1):1–7. doi:10.18203/2319-2003.ijbcp20195759.
  33. Pérez-Torres I, Soto ME, Manzano-Pech L, Díaz-Díaz E, Martínez-Memije R, Torres-Narváez JC, Guarner-Lans V, Castrejón-Téllez V. Effect of Hibiscus sabdariffa L. on the metabolism of arachidonic acid in the isolated kidney of a rat model of metabolic syndrome. Int J Mol Sci. 2023;24(18):14209. doi:10.3390/ijms241814209.
  34. Meraiyebu AB, Olaniyan OT, Eneze C, Anjorin YD, Dare JB. Anti-inflammatory activity of methanolic extract of Hibiscus sabdariffa on carrageenan-induced inflammation in Wistar rats. Int J Pharm Sci Invention. 2013;2(3):22–24.
  35. El-Gazzar NS, Ghareeb DA, Mahmoud FAA, Abdallah II. Anti-inflammatory activity and HPTLC phytochemical screening of Hibiscus sabdariffa leaves. Rec Pharm Biomed Sci. 2023;7(2):198–206.
  36. Kao ES, Hsu JD, Wang CJ, Yang SH, Cheng SY, Lee HJ. Polyphenols extracted from Hibiscus sabdariffa L. inhibit lipopolysaccharide-induced inflammation by regulating cyclooxygenase-2 expression. Biosci Biotechnol Biochem. 2009;73(2):385–90.
  37. Bhattacharya B, Sharma C. Potential bioactive properties of Hibiscus sabdariffa (Roselle). World J Pharm Pharm Sci. 2018;7(10):718–34.
  38. Ahirwar B, Ahirwar D. In vivo and in vitro investigation of cytotoxic and antitumor activities of polyphenolic leaf extract of Hibiscus sabdariffa against breast cancer cell lines. Res J Pharm Technol. 2020;13(2):615–20.
  39. Shalgum A, Govindarajulu M, Majrashi M, Ramesh S, Collier WE, Griffin G, et al. Neuroprotective effects of Hibiscus sabdariffa against hydrogen peroxide-induced toxicity. J Herb Med. 2019;17:100253.

Photo
Mahesh Saralaya
Corresponding author

Annasaheb Dange College of B Pharmacy, Ashta, Sangli, Maharashtra, India

Photo
Abhishek Sarvade
Co-author

Annasaheb Dange College of B Pharmacy, Ashta, Sangli, Maharashtra, India

Photo
Shreya Parit,
Co-author

Annasaheb Dange College of B Pharmacy, Ashta, Sangli, Maharashtra, India

Mahesh Saralaya, Abhishek Sarvade, Shreya Parit, Hibiscus sabdariffa Linn: Phytochemistry, Pharmacological Activities, and Therapeutic Potential, Int. J. of Pharm. Sci., 2026, Vol 4, Issue 1, 3257-3267. https://doi.org/10.5281/zenodo.18403697

More related articles
Breast cancer their diagnosis treatment and therap...
M.B.GUNJAL, M. G. Shaikh, M.S. Adhikar, S. R. Agrawal, ...
Formulation And Evaluation Of Muscle Relaxant Bath...
Tejas Rajendra Burile, Ruchika Ravindra Umak, Prachi Ganesh Yelne...
Formulation Development And Evaluation of Herbal S...
Nikita Prakash Gaikwad , Aditya S. Gaikwad, Pratibha S. Bhalerao,...
A Formulation and Evolution of Polyherbal Eye Drops...
Chandraprabha Dewangan , Suman Sahu, Bhupendra Verma, Ayushi Khadatkar, Denees Sinha, Domeshwari Sah...
Evaluation Of Anti-Parkinsonian Effect Of Ethanolic Leaf Extract Of Allium, Jacq...
Adiba Afreen, Shaik Mohd Khasim, Saniya Zainab, Shaik Shahnaz Begum, Aman Khan, Mohd Ajaz Kaiser, Ka...
The Role of Pharmaceutical Drug Analysis Based on AI Assisted Drug Discovery and...
G. Nithish Kumar, Dr. P. Panneerselvam, S. Mohamed Irfan, Priyanka, S. Vishnu Priyadharshini, P. Vis...
Related Articles
A Review On Electrospinning Techniques And Its Applications...
V. V. Pongade, Iraa Gupta, Prathamesh C. Rumde, Sridhar Satyabhushanam Vannam, Tushar Mahadev Patil...
The Art of Finding the Right Drug Target: Emerging Methods and Strategies...
Harshal Borse, Ganeshmal Chaudhari, Sanket Gabhale, Utkarsh Mandage , Sanket Pawar, Dr.Saurabh Bias,...
PHYTOCHEMICAL AND PHARMACOLOGICAL ACTIVITIES OF HEDYCHIUM CORONARIUM...
Shraddha Parab, Omprakash Dabholkar, Dhanashri Chaudhari, Yash Aroskar4, Vijay Jagtap, ...
Breast cancer their diagnosis treatment and therapies used...
M.B.GUNJAL, M. G. Shaikh, M.S. Adhikar, S. R. Agrawal, ...
More related articles
Breast cancer their diagnosis treatment and therapies used...
M.B.GUNJAL, M. G. Shaikh, M.S. Adhikar, S. R. Agrawal, ...
Formulation And Evaluation Of Muscle Relaxant Bath Bombs Contains Neem Oil ...
Tejas Rajendra Burile, Ruchika Ravindra Umak, Prachi Ganesh Yelne, Sachin S. Padole, Anil G. Dhawde,...
Formulation Development And Evaluation of Herbal Soap Containing Aegle marmelos ...
Nikita Prakash Gaikwad , Aditya S. Gaikwad, Pratibha S. Bhalerao, ...
Breast cancer their diagnosis treatment and therapies used...
M.B.GUNJAL, M. G. Shaikh, M.S. Adhikar, S. R. Agrawal, ...
Formulation And Evaluation Of Muscle Relaxant Bath Bombs Contains Neem Oil ...
Tejas Rajendra Burile, Ruchika Ravindra Umak, Prachi Ganesh Yelne, Sachin S. Padole, Anil G. Dhawde,...
Formulation Development And Evaluation of Herbal Soap Containing Aegle marmelos ...
Nikita Prakash Gaikwad , Aditya S. Gaikwad, Pratibha S. Bhalerao, ...