View Article

Abstract

The identification and quantification of compounds in medicinal formulations rely heavily on analytical chemistry. SX and FP, two active components frequently utilize to treat asthma and chronic obstructive pulmonary disease (COPD), are synchronously estimated in a combined dosage form using a variety of analytical methodologies reviewed in this study. This review highlights the use of techniques including Ultra-Visible spectroscopy, High-Performance Thin-Layer Chromatography (HPTLC) and High-Performance Liquid Chromatography (HPLC) are utilize to determine the concentration of these drugs in bulk and medicinal dosage forms. Several recent studies demonstrate the use of HPLC with various column types and MP compositions for the accurate quantification of SX and FP. According to ICH Q2 (R1) criteria, these techniques underwent thorough Method Validation for attributes such accuracy, precision, specificity, and robustness. Ultra-visible spectrophotometric methods, including simultaneous equation and absorbance ratio methods, were also explored as simpler, more cost-effective alternatives for drug quantification. Additionally, forced degradation studies highlighted the stability of these drugs under different conditions, providing important insights for quality control. The review underscores the importance of method validation, with a focus on ensuring the quality, stability, and consistency of medicinal products. Both instrumental and spectrophotometric techniques are shown to offer reliable and efficient solutions for routine analysis in medicinal industries. Overall, the paper demonstrates the significant advancements in analytical methods that contribute to the ongoing improvement of drug analysis, ensuring safer and more effective medicinal formulations.

Keywords

Analytical chemistry, SX, FP, HPLC, Ultra-Visible Spectrophotometry, Method Validation

Introduction

Analytical chemistry, a subfield of chemistry, focuses on identifying components qualitatively and quantitatively and determining the amounts of substances, samples, or concoctions. Qualitative and quantitative analysis are the two types of analysis that are carried out: qualitative analysis focuses on identifying the components or analyte within concoctions or samples, whereas quantitative analysis is concerned with measuring the amounts of those components or analyte. [1]

Analytical Method

The term “analytical method” refers to the examining a sample to determine its qualitative, quantitative, or structural properties for one or multiple components analyte using a specific methodology and detailed, stepwise instructions. [2]. Analytical procedures: instrumental and classical approaches. (fig. 1). The classical approach involves a signal that correlates to the total amount of the analyte. A method is termed instrumental when the signal correlates with the concentration of the analyte.  [3].

Fig. 1. Classification of Analytical Methods

Instrumental methods can be broadly classified into four categories: spectroscopic, electrochemical, chromatographic, and other approaches. X-ray spectroscopy, NMR, Raman spectroscopy, IR spectroscopy, AAS and FES, and ultraviolet-visible spectroscopy are examples of spectroscopic techniques. Chromatographic techniques include GC, HPLC, TLC, column chromatography, paper chromatography and modern methods such as LC-MS, GC-MS, LC-MS-MS, GC-MS-MS, LC-NMR, and GC-NMR.[4]

Ultra-Visible Spectroscopy

Electromagnetic radiation and matter interact when matter absorbs and emits radiation (energy). Two kinds of spectroscopy exist: AAS and FES. Absorption spectroscopy refers to the study of electromagnetic radiation absorbed by a material, represented as spectra (Ultra-Visible, IR, NMR, microwave, and radiowave spectroscopy).[5] In ULTRA-VISIBLE-Visible spectroscopy, a sample or chemical compound absorbs ultraviolet or visible light, resulting in the emergence of various spectra. When molecules absorb ULTRA-VISIBLE light, electrons are excited and shift from lower to higher electronic energy levels. The subsequent ULTRA-VISIBLE emission spectrum is generated by the reverse transition. [5]

HPLC

Chromatography is a technique that separates mixtures of chemicals by employing both physical and chemical principles. Through the use of two distinct phases, the chromatographic technique is able to disassemble a mixture of many chemicals into two phases:  SP and  MP.[6] HPLC stands for high-performance or high-pressure liquid chromatography. HPLC can identify, isolate, and measure chemicals in any dissolved sample. [7] The core concept of liquid chromatography is adsorption. The MP in this chromatographic technique is a liquid. The sample takes on the characteristics of a liquid. In a column, An injection of a sample into a porous substance (SP) and a liquid phase (MP). A high pressure MP supplied by a pump is utilize in an example to pass over the column. The components of the sample move toward the SP in accordance with their affinity. Slower motion is exhibited by the component with a greater affinity for the SP. The SP has less attraction for the component that moves more quickly. The parts are isolated from one another.[8]

Analytic Methodology Development

The process of analytic methodology development involves choosing a precise assay methodology for ascertaining the composition of the formulation. Analytic Methodology Development is the procedure that demonstrates that an analytical method can be utilize in a lab. Analytical procedures that must be used in GMP and GLP environments should be designed in accordance with the protocols and acceptance criteria of the ICH recommendations. Q 2 (R1): [9]

To develop the method, the following criteria must be satisfied:

1. Analysts with qualifications

2. Instruments those are both qualified and calibrated

3. Methods that are documented

4. Reference standards that are reliable

5. Integrity and selection of samples

6. Control of change

The development of analytical method is beneficial for:

1. New processes and reactions

2. Development of new molecules

3. Macro analysis

 4. Micro analysis

5. Impurity profiling

6. Stress degradation studies

7. Herbal remedies [9]

Method Validation

In the United States, the idea of method validation was developed in 1978. Over time, the concept of method validation has broadened to include a variety of activities, such as computerized systems for clinical trials, process control, or labelling, as well as analytical procedures used to control the quality of medicinal components and products. Method validation is considered a vital and indispensable part of cGMP. The term "Method Validation" refers to the assessment of efficacy or validity. A team effort including individuals from various plant branches is method validation. Method validation is the process of "establishing documented evidence" that provides a high level of assurance that the product (equipment) will meet the requirements of the intended analytical applications.[10]

Significance of Method Validation

  • Quality assurance
  • Minimal failure rate for batches
  • Decrease in rejections
  • Efficiency and productivity enhancements
  • Output escalation
  • Reduction in testing of processes as well as end products

Parameters of  Method Validation

  1. Accuracy
  2. precision
  3. Linearity
  4. Limit of detection
  5. Limit of quantitation
  6. Specificity
  7. Range
  8. Robustness [10]

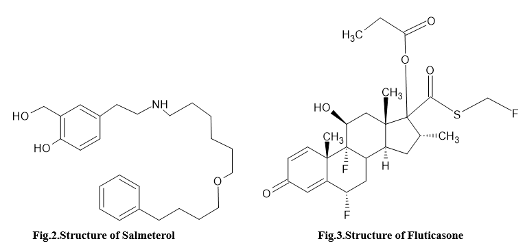
SX is chemically known as,2-(Hydroxymethyl)-4-[1-hydroxy-2-[6-(4-phenylbutoxy) hexylamino] ethyl] phenol; 1-hydroxy-2-naphthoic acid. SX is used to treat chronic obstructive pulmonary disease and asthma [11,12]. Formulated as its 1-hydroxy-2-napthoate (xinafoate) salt, it is a long-acting and highly selective β2 agonist that is used to treat chronic obstructive pulmonary disease and asthma.. SX is inhaled to address asthma flare-ups and, similar to other beta-2-agonists, induces bronchodilation through the relaxation of the airway's smooth muscle. The long-lasting effect takes place as the molecules first permeate the lung cells' plasma membrane, after which they are progressively released back into the extracellular space, enabling them to engage with the beta-2 adrenoceptors, while the lengthy carbon chain serves as a membrane anchor.  [13]  FP is a chemical compound with the name [(6S,8S,9R,10S,11S,13S,14S,16R,17R)-6,9-difluoro-17(fluoromethylsulfanylcarbonyl)-11-hydroxy-10,13It is utilized for treating asthma, allergic rhinitis, and atopic dermatitis. [14,15] It is a trifluorinated corticosteroid with high potency based on the androstane structure, exhibiting neutral characteristics. Due to its anti-inflammatory properties, it is useful for treating asthma and allergic rhinitis.  Additionally, it is employed in treating eosinophilic esophagitis. FP imitates the hormone that occurs naturally and is generated by the adrenal glands, known as cortisol or hydrocortisone.  [4]

Recent updated studies on Analytical Methods

  • Research by Mohammad Jamal A. Shammout et.al aimed to obtain a number of benefits, including low detection limits, short retention durations, and a straightforward, non-buffered MP. During solution preparation, this method utilizes a Ultra-Visible -1800 Ultra-Visible spectrophotometer to scan the Ultra-Visible spectrum and calculate the λmax. An I-Series LC-2030 High-Performance Liquid Chromatography (HPLC) system from SHIMADZU with Ultra-Visible detector was utilized for the chromatographic analysis. SX was detected at 252 nm, whereas FP was detected at 236 nm. For HPLC, an isocratic 50:20:30 (v/v) ratio of METH, ACN, and D/W served as the MP; for Ultra-Visible analysis, METH was utilized. A steady 1 mL/min FR was maintained. The HYPERSIL column had RT s of 10.6 minutes for FP and 1.8 minutes for SX, whereas the C18 SUPELCO column had RT s of 6.3 minutes for FP and 1.9 minutes for SX. The SUPELCO column was shown to require less RT than the HYPERSIL column, most likely as a result of the SP's more even packing in the former. The stability test was carried out in a number of scenarios. Under acidic (1M HCl) conditions, both FP and SX showed poor stability, with recoveries of less than 57%. In alkaline conditions (1M NaOH), FP was unstable at all concentrations with recoveries below 41%, whereas SX was stable only at higher concentrations (26.67 and 40 µg/mL) with recoveries of 100% and 113%, respectively." With recoveries not going above 70%, both medications were unstable in oxidative environments. [16]
  • Serkan Acar et.al study utilizes a high-performance liquid chromatography (HPLC) approach with a MP made up of ACN and PDP buffer (pH 3.0). The system was run at a 1.5 mL/min FR while keeping the tray and column temperature at 25°C and 40°C, respectively. Ultra-Visible detection was done between 210 nm wavelength. A 40 µL injection volume was utilized, along with a stainless steel column (15 cm × 4.6 mm, 5 µm) filled with octadecylsilyl silica gel (Hypersil BDS). In order to guarantee efficiency and quick throughput, the entire analysis time was optimized to 10 minutes. ICH Q2 (R1) recommendations were followed in the method's rigorous Method Validation, which included a thorough assessment of numerous important characteristics, such as specificity, linearity, limit of quantitation (LOQ), accuracy, precision, robustness, and the stability of the solution and MP. The approach satisfies the strict requirements outlined by ICH guidelines and is accurate, exact, robust, specific, and selective, according to the Method Validation process results. The Method Validation results demonstrate the devised method's robustness and dependability, proving its appropriateness for medicinal analysis. This work highlights HPLC's potential for usage in high-standards analytical applications and makes a substantial contribution to the methodology's advancement.[17]
  • For ensuring the reliability for quantifying both drugs even in the presence of degradation products K.R. Wagh et.al devised a technique for the simultaneous estimation of SX and FP in bulk and pharmaceutical dose forms using reverse-phase high-performance liquid chromatography (RP-HPLC). An octadecyl C18 column (5 μm, 25 cm × 4.6 mm, i.d.) was used to accomplish the chromatographic separation, and the MP was made up of METH and D/W in a 70:30 ratio at pH 3 that was adjusted using orthophosphoric acid (OPA). The ULTRA-VISIBLE detection was carried out at 232 nm with the FR set to 0.8 mL/min. Twenty microliters was the injection volume. It was discovered that the RTs for SX and FP were 3.59 and 6.73 minutes, respectively. The ICH Q2 (R1) guideline was used to verify this approach as stability-indicating.[18]
  • Shubhangee Gaikwad et.al research explores three different Ultra-Visible spectrophotometric methods for the synchronous estimation of SX and FP in bulk and capsule dosage forms:

The method I: Simultaneous equation method:

Both drugs' wavelengths were chosen for quantification based on their overlain spectra: 236 nm for FP and 216.5 nm for SX.

Method II: Absorbance ratio method (Q-Analysis)

The absorbance ratio approach makes use of the ratio of absorbances at two specific wavelengths, one of which is the λ max of one of the two components and the other is an isoabsorptive point. It is clear from the two medications' overlay spectra that FP and SX exhibit an isoabsorptive point at 262.5 nm.

Method III: Area under the curve

For both medications, the area under the curve was calculated at the chosen wavelengths between 214 and 218 nm (SX) and 234 and 238 nm (FP). The wavelengths selected for the analysis were 216.5 nm for SX (SX) and 236 nm for FP (FP). These methods provide accurate and reliable results for the synchronous measurement of the two drugs within their medicinal formulations.[19]

  • Arzu Çay?r et.al successfully designed an analysis method using an Agilent HPLC system with an autosampler, quaternary gradient pump, and online degasser. A PDA detector was utilize to detect the signals. The SP, a Hypersil BDS C8 column (15 cm x 4.6 mm, 5 µm, Thermo Fisher Scientific, Runcon, UK) was kept at a constant temperature of 30ºC in a thermostatically controlled oven. The MP contained two solvents: solvent A, a 0.1 M ammonium phosphate buffer (11.5 g of ammomium dihydrogen phosphate diluted in 100 mL of D/W, pH adjusted to 2.9 OPA), and solvent B, ACN. The FR was set at 2 mL/min, with an injection volume of 20 µL and detection at a wavelength of 228 nm. With the help of this technique, related chemicals in the dry powder inhaler formulation of FP and SX were successfully identified.[20]
  • M. Shahanaz et.al developed a reverse-phase high-performance liquid chromatography (RP-HPLC) method for the synchronous quantification of FP and SX in both bulk and medicinal dosage forms. The analysis was conducted using an X-Terra C18 column (4.6 × 250 mm, 5 µm particle size), with a MP composed of METH, ACN, and D/W in a 50:35:15 (v/v) ratio. The FR was maintained at 1.0 mL/min, and detection was performed with a (PDA) detector at 280 nm. The RT s for FP and SX were 1.6 minutes and 3.2 ± 0.02 minutes, respectively. The method was validated for accuracy, precision, and reliability, confirming its suitability for routine analysis of these drugs in medicinal formulation.[21]
  • For discriminating the gradient and isocratic elution E. P?czkowska et.al conducted  research which utilized a reverse-phase high-performance liquid chromatography (HPLC) method to analyse SX and FP in dry powder inhaler products. The chromatography was performed using a C8 Luna column (100 × 4.6 mm, 5 µm particle size) in gradient mode. The MP consisted of two components: a buffer solution (0.6% trifluoroacetic acid in D/W-tetrahydrofuran, 8:2 v/v) and a concoction of ACN and METH (1:1 v/v) in a 60:40 ratio. The FR was set at 1.5 mL/min, and the detection was carried out using a Ultra-Visible detector at wavelengths of 239 nm and 250 nm. The ChemStation Plus Method Validation Pack software (Agilent Technologies, Santa Clara, USA) was utilize to validate the procedure. In comparison to isocratic elution, the gradient elution mode yielded smaller peaks and faster analysis. This technique is appropriate for quality control of dry powder inhalers since it also ensured the effective and quantitative recovery of both active components through the use of DMSO (dimethyl sulfoxide) as a solvent in concoction with METH and D/W.[22]
  • In order to use reverse-phase liquid chromatography (RP-LC) in conjunction with ultraviolet (Ultra-Visible) detection and a forced degradation study, Bediha Akmesea et.al carried out a work. Using a Diode Array Detector (DAD) system (SPDM 20A), the wavelengths for the detection of SX and FP were set at 210 and 238 nm, respectively. ACN (ACN) and D/W were combined at 55%, 60%, and 65% (v/v) with 25 ml phosphoric acid to create an isocratic MP, which was utilize in the chromatographic analysis. The column was an XTerra RP18 (250 × 4.60 mm ID, 5 µm). Using sodium hydroxide, the MP's pH was changed from 3 to 12. A 20 µL injection volume and a 1.0 mL/min FR were established. The stability of FP and SX was assessed in the forced degradation study under a range of stressors, such as hydrolytic, oxidative, thermal, and photolytic stress. The findings revealed notable deterioration in the following conditions:
  • HCl (1 M): No degradation for FP; 91.1% degradation for SX.
  • NaOH (1 M): 99.8% degradation for FP; no degradation for SX.
  • H2O2 (3%): 73.0% degradation for FP; 47.0% degradation for SX.
  • H2O2 (30%): 94.4% degradation for FP; 75.1% degradation for SX.
  • ULTRA-VISIBLE exposure (24 hours): No degradation for FP; 47.5% degradation for SX.
  • Heating at 75°C: No degradation for either compound.
  • Heating at 100°C: No degradation for either compound.

This approach shows advantages over previously published methods in terms of recovery, reproducibility, sensitivity, and the use of less expensive reagents, making it a more effective and economical method for analysis.[23]

  • Novel spectrophotometric method was introduced by Ahmed Samir et.al for the synchronous determination of SX and FP. The method employs Ultra visible spectrophotometry, utilizing both the first derivative spectra and zero-order absorption spectra for analysis. The wavelengths selected for detection were 225 nm for SX (SX) and 256.5 nm for FP (FP). This method offers a simple, effective approach for analyzing these compounds in bulk powder and inhaler formulations. [24]
  • Four different approaches are presented by Ahmed Samir et.al research for concurrently identifying FP and SX in bulk powder and inhaler goods. The first technique makes use of a reversed-phase column and High-Performance Liquid Chromatography (HPLC) with a MP consisting of ACN and METH in an 80:20 (v/v) ratio. Both medicines were separated using a FR of 0.5 mL/min and Ultra-Visible detection at 220 nm. The RT  for SX is 2.610 and for FP is 3.390. In the second technique, zero-crossing observations are made at 269.5 nm for FP and 352 nm for SX using first derivative ULTRA-VISIBLE spectrophotometry. The third method applies the first derivative of the ratio spectra, where the amplitudes are measured at 334 and 337.5 nm for SX, and at 225 and 231.5 nm for FP. The fourth method uses the isobestic point at 237.5 nm. SX is determined by measuring its ULTRA-VISIBLE absorbance at 343 nm, which is unaffected by FP. The study also includes a comparative analysis of the HPLC and spectrophotometric techniques for resolving the two drugs in their concoctions. The authors note that while the spectrophotometric methods (D1, DD1, and isobestic point) provide high resolution, faster analysis, and lower costs, HPLC offers greater specificity. However, HPLC requires more expensive equipment and materials. In contrast, the spectrophotometric methods are simpler, more cost-effective, and suitable for routine analysis.[25]
  • The study by M.S. Kondawar et.al offers a ULTRA-VISIBLE spectrophotometric technique for the synchronous measurement of FP and SX in medicinal dosage forms and bulk. A solvent concoction consisting of 95% ethanol and phosphate buffer (pH 7.4) in a 90:10 ratio was utilize to perform the analysis. FP was detected at 246 nm, while SX was detected at 214 nm. The synchronous quantification of these two substances in their formulations is made easy, dependable, and efficient by this technology.[26]
  • To get the reliable and efficient results for determining both drugs in the inhaler formulation Lantider Kasoye et.al developed a new High-Performance Thin-Layer Chromatography (HPTLC) for the synchronous analysis of SX and FP. The MP for the separation process consisted of a concoction of n-hexane, ethyl acetate, and acetic acid in a ratio of 5:10:0.2. Detection was carried out using a TLC scanner at a wavelength of 250 nm, providing a densitometric analysis of the compound. The Rf value for SX is 0.4± 0.04 and for FP is 0.6± 0.03 [27]

Table 1: Recent updated research works on estimation of SX and FP in concoction using HPLC and ULTRA-VISIBLE methods

Sr. No.

Author

Method

λ max

MP

FR

RT

Year

Ref. no.

1

Mohommad Jamal A. Shammout

Ultra-Visible

& HPLC

SX-252nm

FP-236nm

METH, ACN, and D/W 50:20:30 (v/v)

1 mL/min

SUPELCO Colum- SX-1.9 min & FP-6.3 min

HYPERSILColumn-SX-1.8min & FP-10.6 min

2021

 

2

Serkan Acar

HPLC

210 nm

ACN and PDP buffer (pH 3.0)v/v

1.5 mL/min

Entire analysis time -10 min

2020

 

3

K.R. Wagh

RP- HPLC

232 nm

METH : D/W (70:30) v/v at pH 3

0.8 mL/min

SX- 3.59min

FP-6.73 min

2018

 

4

Shubhangee Gaikwad

ULTRA-VISIBLE

1.Synchronous equation method

2.Absorbance ratio method

3.AUC method

SX -236nm

FP- 216.5nm

1.SX-236nm & FP-216.5 nm

2.Isoabsorptive point-262.5nm

3.SX-AUC-214-218nm

FP-AUC-234-238 nm

_

_

2018

 

 

 

 

5

Arzu Çay?r

HPLC

228 nm

0.1 M Ammonium dihydrogen phosphate (PH 2.9): ACN v/v

2 mL/min

_

2017

 

6

M. Shahanaz

RP- HPLC

280 nm

METH, ACN, and D/W 50:35:15 (v/v)

1 mL/min

SX -3.2±0.02 min FP-1.6 min

2017

 

7

E. P?czkowska

HPLC

239 & 250 nm

Buffer solution (0.6% trifluoroacetic acid in D/W-tetrahydrofuran, 8:2 v/v) and a concoction of ACN and METH (1:1 v/v) in a 60:40 ratio.

1.5 mL/min

SX- 3.3 min

FP- 4.8 min

2015

 

8

Bediha Akmesea

RP-LC & ULTRA-VISIBLE

SX-210nm

FP-238 nm

ACN (ACN) and D/W were combined at 55%, 60%, and 65% (v/v) with 25 mM phosphoric acid

1 mL/min

_

2013

 

9

Ahmed Samir

Ultra-Visible

SX- 256.5 nm

FP- 225 nm

_

_

_

2012

 

10

Ahmed Samir

1. HPLC

2.Ultra-Visible-Zero order

3. ULTRA-VISIBLE- 1st Derivative

4.Isobenstic point method

220nm

 

1. ACN: METH(80:20)v/v

2.SX-269.5nm & FP-352 nm

3. SX-334&337.5nm

FP-225&231.5 nm

4.237.5 nm

 

 

2012

 

11

M.S. Kondawar

Ultra-Visible

SX-214

FP-246 nm

95% ethanol and phosphate buffer (pH 7.4) ( 90:10)

_

_

2011

 

12.

Lantider Kasoye

HPTLC

250 nm

n-hexane, ethyl acetate, and acetic acid in a ratio of 5:10:0.2

_

Rf value- SX-0.4±0.04

FP-0.6±0.03

2010

 

CONCLUSION

The analytical methods explored in this paper, such as Ultra-Visible Spectroscopy, HPLC, and Thin-Layer Chromatography, offer precise, reliable, and efficient approaches for the synchronous analysis of SX and FP. Among the reviewed studies, several papers stand out for their optimal experimental conditions.Bediha Akmesea’s study is particularly valuable as it aligns with ideal chromatographic conditions, specifically the matching MP composition with the International Pharmacopoeia (IP) guidelines, ensuring the stability and reproducibility of the results. Similarly, the studies by E. P?czkowska and M. Shahnaz are notable for their precise selection of detection wavelengths. E. P?czkowska’s work uses the correct wavelengths for both SX and FP with the IP specifications, while M. Shahnaz’s study also matches the wavelengths, ensuring accurate quantification of both compounds. Furthermore, Ahmed Samir’s research demonstrates a strong concoction of wavelengths that are effective for the synchronous determination of both drugs, offering a cost-effective alternative to HPLC while maintaining high resolution. K.R. Wagh’s paper is also significant for using a C18 octadecylsilane column, which ensures optimal separation of the compounds in their medicinal dosage forms. These studies collectively represent some of the best methods for analysing SX and FP, providing a solid foundation for reliable and efficient medicinal analysis. They contribute to the development of analytical techniques that are not only accurate and robust but also suitable for routine quality control in the medicinal industry.

REFERENCES

  1. Pathuri, R., Muthukumaran, M., Krishnamoorthy, B. and Nishat, A., 2013. A review on analytical method development and Method Validation of medicinal technology. Journal of Current Pharma Research, 3(2), p.855.
  2. Kissinger PT. Instant Notes: Analytical Chemistry. Clin Chem. 2002; 48(12): 2303
  3. Harvey. D Modern analytical chemistry. McGraw-hill.2000.
  4. Ravisankar P, Navya CN, Pravallika D, Sri DN. A review on stepby-step analytical method  Validation. IOSR J Pharm. 2015; 5(10): 7-19.
  5. Chatwal GR, Anand SK. Instrumental Methods of Chemical Analysis. Himalaya Publishing House. 2002.
  6. Luxminarayan L, Sharma N, Viswas A, Khinchi MP. A review on chromatography techniques. Asian Journal of Medicinal Research and Development. 2017; 1-8
  7. Chawla, G. and Chaudhary, K.K., 2019. A review of HPLC technique covering its medicinal, environmental, forensic, clinical and other applications. Int J Pharm Chem Anal, 6(2), pp.27-39.
  8. Vidushi Y, Meenakshi B. A review on HPLC method development and Method Validation. Res J Life Sci. 2017; 2(6): 178.
  9. Chauhan, A., 2015. harti Mittu B, Chauhan P (2015) Analytical Method Development and Method Validation: A Concise Review. J Anal Bioanal Tech, 6(233), p.2.
  10. Lavanya, G., Sunil, M.M.E.M., Eswarudu, M.M., Eswaraiah, M.C., Harisudha, K. and Spandana, B.N., 2013. Analytical method  Validation: an updated review. International Journal of Medicinal Sciences and Research, 4(4), p.1280.
  11. Indian Pharmacopoeia., The Indian Pharmacopoeia commission ministry of health & family welfare govt. of India, 2, (2014),2706-2707.
  12. The Merck Index, An encyclopedia of chemicals, drugs and biologicals, 14th Ed., Merck & Co., Inc., Whitehouse Station, NJ, (2006), 721.
  13. Goodman & Gillman’s, The Pharmacological Basis of Therapeutics, 2001, 10th Edition, 736-740.
  14. Indian Pharmacopoeia., The Indian Pharmacopoeia commission ministry of health & family welfare govt. of India, 1, (2014), 1813-1814.
  15. The Merck Index, An encyclopedia of chemicals, drugs and biologicals, 14th Ed., Merck & Co., Inc., Whitehouse Station, NJ, (2006), 4211.
  16. Shammout, M.J.A., Yousef, H.B., Abu-Shandi, K.H., Alomari, M.I., Hasan, M.R., Al-Othman, A.O. And Manasreh, W.A., 2021. “Method Development And Method Validation Of The Chromatographic Analysis Of FP And SX Concoction In Solutions And Human Plasma Using Hplc With Ultra-visible Detection”. Int J App Pharm, 13(4), pp.204-210.
  17. Acar, S., Sakizci, D. and Yilmaz, E., 2020. “Method development and Method Validation of synchronous determination of assay of SX and FP in dry powder inhalers”. Chromatography Today, 3, pp.32-6.
  18. Wagh, K.R., Bakhshi, A.R., Belsare, D.P. and Jagdale, A.S., 2018. A Validated Stability Indicating RP-HPLC Method for Synchronous Estimation of SX and FP in Bulk and Medicinal Dosage Form. Journal of Current Pharma Research, 8(4), pp.2483-2496.
  19. Gaikwad, S., Bhokare, P., Bansode, A., Patil, R. and Shetti, P., 2018. Synchronous Estimation of SX and FP in Bulk and Capsule Dosage Form by Different ULTRA-VISIBLE Spectrophotometric Methods. Int J Pharm Res, 13(3), pp.129-41.
  20. Çay?r, A., Çilen, H., Sak?zc?, D.Ç. and Türky?lmaz, A., 2017. Method Development and Method Validation of Synchronous Determination of Related Substances for SX and FP in Dry Powder Inhalers. Chromatography Today, 4, pp.14-9.
  21. Shahanaz, M., Vageesh, N.M., Nizamuddin, N.D. and Hazra, B.B., 2018. Development and Method Validation of an RP-HPLC PDA method for synchronous determination of FP and SX in bulk and medicinal dosage form. Innovat Int J Med Pharm Sci, 3, pp.25-8.
  22. P?czkowska, E., Smukowska, D., Tratkiewicz, E. and Bia?asiewicz, P., 2015. HPLC method for synchronous determination of SX and FP for the quality control of dry powder inhalation products. Acta Chromatographica, 27(2), pp.309-320.
  23. Akmese, B., Sanli, S., Sanli, N. and Asan, A., 2014. A validated RP-LC method for SX and FP in their binary concoctions and their stress degradation behavior under ICH-recommended stress conditions. Journal of Analytical Chemistry, 69, pp.563-573.
  24. Samir, A., Salem, H. and Abdelkawy, M., 2012. “New developed spectrophotometric method for synchronous determination of SX and FP in bulk powder and Seritide® diskus inhalation”. Bulletin of Faculty of Pharmacy, Cairo University, 50(2), pp.121-126.
  25. Samir, A., Salem, H. and Abdelkawy, M., 2012. “New developed spectrophotometric method for synchronous determination of SX and FP in bulk powder and Seritide® diskus inhalation”. Bulletin of Faculty of Pharmacy, Cairo University, 50(2), pp.121-126.
  26. Kondawar, M.S., Shah, R.R., Waghmare, J.J., Malusare, M.K. and Shah, N.D., 2011. ULTRA-VISIBLE spectrophotometric method for synchronous estimation of SX and FP in bulk and dosage form. Inter J Pharm Tech Res, 3(3), pp.1801-6.
  27. Kasaye, L., Hymete, A. and Mohamed, A.M.I., 2010. “HPTLC-densitometric method for synchronous determination of SX and FP in dry powder inhalers”. Saudi Medicinal Journal, 18(3), pp.153-159.

Reference

  1. Pathuri, R., Muthukumaran, M., Krishnamoorthy, B. and Nishat, A., 2013. A review on analytical method development and Method Validation of medicinal technology. Journal of Current Pharma Research, 3(2), p.855.
  2. Kissinger PT. Instant Notes: Analytical Chemistry. Clin Chem. 2002; 48(12): 2303
  3. Harvey. D Modern analytical chemistry. McGraw-hill.2000.
  4. Ravisankar P, Navya CN, Pravallika D, Sri DN. A review on stepby-step analytical method  Validation. IOSR J Pharm. 2015; 5(10): 7-19.
  5. Chatwal GR, Anand SK. Instrumental Methods of Chemical Analysis. Himalaya Publishing House. 2002.
  6. Luxminarayan L, Sharma N, Viswas A, Khinchi MP. A review on chromatography techniques. Asian Journal of Medicinal Research and Development. 2017; 1-8
  7. Chawla, G. and Chaudhary, K.K., 2019. A review of HPLC technique covering its medicinal, environmental, forensic, clinical and other applications. Int J Pharm Chem Anal, 6(2), pp.27-39.
  8. Vidushi Y, Meenakshi B. A review on HPLC method development and Method Validation. Res J Life Sci. 2017; 2(6): 178.
  9. Chauhan, A., 2015. harti Mittu B, Chauhan P (2015) Analytical Method Development and Method Validation: A Concise Review. J Anal Bioanal Tech, 6(233), p.2.
  10. Lavanya, G., Sunil, M.M.E.M., Eswarudu, M.M., Eswaraiah, M.C., Harisudha, K. and Spandana, B.N., 2013. Analytical method  Validation: an updated review. International Journal of Medicinal Sciences and Research, 4(4), p.1280.
  11. Indian Pharmacopoeia., The Indian Pharmacopoeia commission ministry of health & family welfare govt. of India, 2, (2014),2706-2707.
  12. The Merck Index, An encyclopedia of chemicals, drugs and biologicals, 14th Ed., Merck & Co., Inc., Whitehouse Station, NJ, (2006), 721.
  13. Goodman & Gillman’s, The Pharmacological Basis of Therapeutics, 2001, 10th Edition, 736-740.
  14. Indian Pharmacopoeia., The Indian Pharmacopoeia commission ministry of health & family welfare govt. of India, 1, (2014), 1813-1814.
  15. The Merck Index, An encyclopedia of chemicals, drugs and biologicals, 14th Ed., Merck & Co., Inc., Whitehouse Station, NJ, (2006), 4211.
  16. Shammout, M.J.A., Yousef, H.B., Abu-Shandi, K.H., Alomari, M.I., Hasan, M.R., Al-Othman, A.O. And Manasreh, W.A., 2021. “Method Development And Method Validation Of The Chromatographic Analysis Of FP And SX Concoction In Solutions And Human Plasma Using Hplc With Ultra-visible Detection”. Int J App Pharm, 13(4), pp.204-210.
  17. Acar, S., Sakizci, D. and Yilmaz, E., 2020. “Method development and Method Validation of synchronous determination of assay of SX and FP in dry powder inhalers”. Chromatography Today, 3, pp.32-6.
  18. Wagh, K.R., Bakhshi, A.R., Belsare, D.P. and Jagdale, A.S., 2018. A Validated Stability Indicating RP-HPLC Method for Synchronous Estimation of SX and FP in Bulk and Medicinal Dosage Form. Journal of Current Pharma Research, 8(4), pp.2483-2496.
  19. Gaikwad, S., Bhokare, P., Bansode, A., Patil, R. and Shetti, P., 2018. Synchronous Estimation of SX and FP in Bulk and Capsule Dosage Form by Different ULTRA-VISIBLE Spectrophotometric Methods. Int J Pharm Res, 13(3), pp.129-41.
  20. Çay?r, A., Çilen, H., Sak?zc?, D.Ç. and Türky?lmaz, A., 2017. Method Development and Method Validation of Synchronous Determination of Related Substances for SX and FP in Dry Powder Inhalers. Chromatography Today, 4, pp.14-9.
  21. Shahanaz, M., Vageesh, N.M., Nizamuddin, N.D. and Hazra, B.B., 2018. Development and Method Validation of an RP-HPLC PDA method for synchronous determination of FP and SX in bulk and medicinal dosage form. Innovat Int J Med Pharm Sci, 3, pp.25-8.
  22. P?czkowska, E., Smukowska, D., Tratkiewicz, E. and Bia?asiewicz, P., 2015. HPLC method for synchronous determination of SX and FP for the quality control of dry powder inhalation products. Acta Chromatographica, 27(2), pp.309-320.
  23. Akmese, B., Sanli, S., Sanli, N. and Asan, A., 2014. A validated RP-LC method for SX and FP in their binary concoctions and their stress degradation behavior under ICH-recommended stress conditions. Journal of Analytical Chemistry, 69, pp.563-573.
  24. Samir, A., Salem, H. and Abdelkawy, M., 2012. “New developed spectrophotometric method for synchronous determination of SX and FP in bulk powder and Seritide® diskus inhalation”. Bulletin of Faculty of Pharmacy, Cairo University, 50(2), pp.121-126.
  25. Samir, A., Salem, H. and Abdelkawy, M., 2012. “New developed spectrophotometric method for synchronous determination of SX and FP in bulk powder and Seritide® diskus inhalation”. Bulletin of Faculty of Pharmacy, Cairo University, 50(2), pp.121-126.
  26. Kondawar, M.S., Shah, R.R., Waghmare, J.J., Malusare, M.K. and Shah, N.D., 2011. ULTRA-VISIBLE spectrophotometric method for synchronous estimation of SX and FP in bulk and dosage form. Inter J Pharm Tech Res, 3(3), pp.1801-6.
  27. Kasaye, L., Hymete, A. and Mohamed, A.M.I., 2010. “HPTLC-densitometric method for synchronous determination of SX and FP in dry powder inhalers”. Saudi Medicinal Journal, 18(3), pp.153-159.

Photo
Vaishnavi Nikhade
Corresponding author

Priyadarshini J. L. College of Pharmacy, Nagpur 440016, Maharashtra, India.

Photo
Alpana Asnani
Co-author

Priyadarshini J. L. College of Pharmacy, Nagpur 440016, Maharashtra, India.

Photo
Yogesh Gholse
Co-author

Priyadarshini J. L. College of Pharmacy, Nagpur 440016, Maharashtra, India.

Photo
Nikhil Hatwar
Co-author

Dadasaheb Balpande College of Pharmacy, Nagpur, Maharashtra, India.

Photo
Pooja Wankahde
Co-author

Priyadarshini J. L. College of Pharmacy, Nagpur 440016, Maharashtra, India.

Photo
Vaibhavi Meshram
Co-author

Priyadarshini J. L. College of Pharmacy, Nagpur 440016, Maharashtra, India.

Photo
Madhuri Fating
Co-author

Priyadarshini J. L. College of Pharmacy, Nagpur 440016, Maharashtra, India.

Vaishnavi Nikhade*, Alpana Asnani, Yogesh Gholse, Nikhil Hatwar, Pooja Wankhade, Vaibhavi Meshram, Madhuri Fating, A Comprehensive Review of Analytical Techniques for The Quantification of Salmeterol Xinafoate and Fluticasone Propionate in Pharmaceutical Preparations, Int. J. of Pharm. Sci., 2025, Vol 3, Issue 6, 644-655. https://doi.org/10.5281/zenodo.15593657

More related articles
Review on Shankhpushpi (Convolvulus Pluricaulis Ch...
Sase Suraj Arjun , Najiya Salim Shaikh , Sagar Nikita Sanjay , ...
Saliva – A Diagnostic Tool for Oral Cancer and O...
Illakhiya.V , Jelin lilly.K, Joshua.A, Dr. K. Pazhanivel, Dr. Pri...
Study Of Adverse Drug Reaction Of Paracetamol Dose...
Atharv S. Gangarde, Kiran H. Bibave, ...
Recent Trends in The Diagnosis and Pharmacotherapy of Stroke...
Jayshri Sawarkar , Onkar Ramanshetti , Shivani Rathod , Yogesh Shendage , Dr. Ashok Giri, ...
Sustainable Sun Protection: A Review of Herbal Ingredients in Sunscreens...
Reshma Lohkare , Shruti Nagrale, Mahendra Gunde, Jagdish Baheti, ...
Applications of AI in Pharmaceuticals and Drug Discovery: A Comprehensive Review...
C. Sadak Vali, Abdullah Khan, S. Siva Prasad, Mare Pratibha Bharathi, Reddy Nazemoon, Survi Swati Go...
Related Articles
Mukhasaundrya Vrudhi Churna...
Sulochna Mandlik , Sakshi Thete , Vaibhavi Raut, Kiran Bundela, ...
Sustain Released Tablet by Using Natural Gum...
Harshada Chavan, Ankit Jaiswal, Dr. Bharat Tekade, ...
From Plant to Pill: Exploring Phytosome Preparation Techniques and Their Therape...
Shaunak Bele, Mangesh Bhutkar, Aarati Sawanji, Shantanu Bele, Priti Gurav, Mayur Pawar, Rohan Raut, ...
Review on Shankhpushpi (Convolvulus Pluricaulis Choisy) as a CNS Stimulant...
Sase Suraj Arjun , Najiya Salim Shaikh , Sagar Nikita Sanjay , ...
More related articles
Review on Shankhpushpi (Convolvulus Pluricaulis Choisy) as a CNS Stimulant...
Sase Suraj Arjun , Najiya Salim Shaikh , Sagar Nikita Sanjay , ...
Saliva – A Diagnostic Tool for Oral Cancer and Oral Diseases- A Review ...
Illakhiya.V , Jelin lilly.K, Joshua.A, Dr. K. Pazhanivel, Dr. Priya Ramani, ...
Study Of Adverse Drug Reaction Of Paracetamol Dose...
Atharv S. Gangarde, Kiran H. Bibave, ...
Review on Shankhpushpi (Convolvulus Pluricaulis Choisy) as a CNS Stimulant...
Sase Suraj Arjun , Najiya Salim Shaikh , Sagar Nikita Sanjay , ...
Saliva – A Diagnostic Tool for Oral Cancer and Oral Diseases- A Review ...
Illakhiya.V , Jelin lilly.K, Joshua.A, Dr. K. Pazhanivel, Dr. Priya Ramani, ...
Study Of Adverse Drug Reaction Of Paracetamol Dose...
Atharv S. Gangarde, Kiran H. Bibave, ...