View Article

Abstract

In China, Smilax, an important component of traditional Chinese medicine, is referred to as Baqia. Numerous inflammatory conditions, especially pelvic inflammation, have been treated with it.been used for treatment of a number of inflammatory conditions, especially inflammation of the pelvis. A widely utilized form of traditional Chinese medicine is referred to in China as Baqia. The goal of this paper is to present a current overview of the developments in research on the ethnopharmacology, phytochemistry, the pharmaceutical effect, and current and future uses of Smilax. China. Additionally, the potential trend and outlook for this plant's future study are also covered.

Keywords

China smilax, inflammation, Chinese medicine

Introduction

Smilax china L. (S. china) is a Liliaceae perennial climber plant. It is found throughout the world's tropical and temperate zones, particularly in eastern Asia and North America (Xie et al., 2018). Rich in nutrition, this plant contains lipids, organic acids, and amino acids, including seven different types of amino acids that the human body needs and histidine, which is one of the required amino acids for the developing fetus. It also has a high edible value. The delicate bud and leaves of Smilax china are edible as vegetables, and its rhizome can be utilized to heal illnesses, extract starch, and provide raw ingredients for brewing. The rhizome of Smilx china is the primary medicinal component. It contains a number of pharmacological properties, such as anti-inflammatory, anti-tumor, antioxidant, anti-diabetic, anti-obesity, and others. Natural medicinal plants' active compounds serve as the foundation for both illness prevention and treatment. They also give scientists fresh ideas for developing new, more potent therapeutic medications. Because of this, researchers who study phytochemicals are particularly interested in Smilax china. Numerous chemical components, primarily saponins, flavonoids, polyphenols, polysaccharides, & amino acids, have been separated & identified from Smilax china because to the quick advancement of detection & separation technologies (Xu et al., 2019). The primary bioactive ingredients in Smilax China are steroidal saponins. Additionally, as research continues to advance, the leaves, flowers, or stems of Smila china are the subject of an increasing number of chemical studies. Smilax China's medicinal resources have been fully harnessed, and its pharmacological efficacy has been continuously enhanced. (1-)

Plant profile :

With a particularly strong presence in East Asia, Smilax china L. is a plant that grows around the world in both tropical and temperate climates (Khan et al., 2009; Seo et al., 2012). This revered medicinal plant, sometimes referred to as Smilax China and China root in English, is extremely valuable in both traditional Chinese and Ayurvedic medicine. The term "chopchini" has multiple names in different languages. It is called Chopchini, Chobchini, or Toupchini in Hindi, Ayadi in Tamil, Kaltamara in Malayalam, and Marathi as Bengali as Kumariak, Kannada as Kaaduhambu, Oriya as Mootrilata, Telugu as Kondadantena, and Ghotvel. (6)

Fig. Root of smilax china plant

Fig. smilax china plant

  • Scientific name: Smilax china L.
  • Family– smilaceaceea
  • Chemical composition –

1.steroidal saponins

2.flavonoids

3.phenolic acid

4.chlorogenic acid

5.stilbenes

6.phenylpropanoid

  • Benefits of smilax china

1.Anti-inflammatory

2.anti-microbial activity

3.Diuretic

4.Anti-tumer

5.Stimulant

Applications:

Traditional Chinese medicine (TCM) has traditionally employed smilax china to treat a range of ailments. To improve treatment effectiveness, however, a growing body of research suggests that the active component in Smilax China may be separated and used as a proprietary Chinese drug. Due to its many diverse properties, Smilax china can be employed in clinical practice for the treatment of a range of ailments as well as in a variety of real-world applications, such as the food industry and detection technology.

Clinical application :

 -treatment of urinary system diseases.

-treatment of digestive system diseases.

-treatment of skin diseases.

-treatment of gout and arthritis.(7-19)

Chemistry and chemical constituent :

1.phytochemicals -

Steroid saponins, flavonoids, steroids, terpenoids, phenolic acid, and other chemical components are among the 134 chemical components that have been extracted & identified from Smilax china thus far. Many phytochemical researchers are interested in the rhizomes of Smilax china because they are commonly used as the primary therapeutic component. Meanwhile, certain chemical components have been found in different Smilax China locations. [20, 21]

2.Chemical structure –

• Flavonoids :

Its anti-oxidant qualities contribute to the body's reduction of inflammation and oxidative stress. The most prevalent class of chemical components in SGR are flavonoids, usually in the glycoside or aglycone form. Dihydroflavonol molecules make up a sizable fraction of the 17 flavonoids that have been identified in SGR to yet. Astilbin (1), neoastilbin (2), isoastilbin (3), neoisoastilbin (4), astragaloside (5), isoengelitin (6), taxifolin (7), taxifolin 3′-O-glucoside (8), and smilachromanone (9) Among these, astilbin, also known as smiglabrin, is the main active ingredient of SGR, and compounds 1 to 4 are four isomers of α-l-mannopyranoside, which possess different absolute conformations at the 2 and 3 positions. Other flavonoids include dihydroflavonoids such as naringenin (10); isoflavonoids such as 7,6′-dihydroxy-3′-methoxy isoflavone (11); flavanols such as (−)-epicatechin (12) , smiglabrone A (16), and smiglabrone B (17) ; and flavonols such as quercetin (13) , quercetin-4′-O-β-D-glucopyranoside (14) , and 5,7-dihydroxychromanone 3-O-α-l-rhamnopyranose (15) , the structures of which are shown in Fig. [22,23]

• Steroid:

Active in affecting gene expression, translation, and enzyme activity. Steroids have important roles in the architecture and functioning of plant cells and are widely distributed in plant biology. The perhydrocyclopentanophenanthrene nucleus has been used to identify steroids in SGR. Angular methyl groups at locations C-10 and C-13, a hydroxyl group at position C-3, which frequently forms glycosidic connections, and a variety of side chains at position C-17 are characteristics of these molecules. Fig. [24] displays the structures of several steroids that are notable from SGR, such as β-sitosterol (18), carotene (19), β-sitosterol palmitate (20), stigmasterol (21), stigmasterol-3-O-β-d-glucopyranoside (22), (25R)-5α-spirostan-3β-ol (23), diosgenin element (24), and (25S)-5β-spirostan-3β-ol (25).

 

• Phenolic Glycosides  :

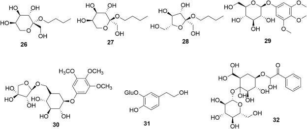
The condensation of phenolic hydroxyl groups with sugar molecules, primarily pyranose glucosides, is what defines phenolic glycosides. Such compounds in SGR include 3,4,5-trimethoxyphenyl-1-O-β-d-glucopyranoside (29), n-butyl-β-d-fructopyranoside (26), n-butyl-α-d-fructopyranoside (27), n-butyl-α-d-furanoside (28), and 3,4,5-trimethoxyphenyl-1-O-[β-d-furanosyl-(16)]. 3,4-dihydroxyphenylethanol-3-O-β-d-glucopyranoside (31), 2,4,6-trihydroxyacetophenone-2,4-di-O-β-d-glucopyranoside (32) and -β-d-glucopyranoside glucoside (30), the structures of which are displayed in Fig. [25]

• Phenylpropanoids

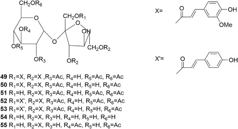
Five porin glycosides, A (49)/B (50)/C (51)/D (52)/E (53), helonioside A (54) & (3,6-di-O-feruloyl)-β-d-fructofuranosyl-(3,6-di-O-acetyl)-α-d-glucopyranoside (55), are among the few phenylpropanoids that have been isolated from SGR. Fig. [26] displays the structures of compounds 49 through 55.

 

• Stilbenes :

Five porin glycosides, A (49)/B (50)/C (51)/D (52)/E (53), helonioside A (54) & (3,6-di-O-feruloyl)-β-d-fructofuranosyl-(3,6-di-O-acetyl)-α-d-glucopyranoside (55), are among the few phenylpropanoids that have been isolated from SGR. Fig. [26] displays the structures of compounds 49 through 55.

 

Pharmacological Activities :

Smilax China has been shown to have a wide range of biological activities in both in vitro and in vivo test models in recent decades. These activities include anti-inflammatory, anti-cancer, antioxidant, detoxifying nicotine, anti-diabetes, anti-obesity, anti-hyperuricaemia , anti-hypertension, promoting skin wound or barrier repair, and antibacterial activity.

1.Anti-inflammatory activity –

     When Sieboldogenin is present in Smilax China, lipoxygenase is significantly inhibited (IC50: 38μM). At 10 and 50 mg/kg, it also showed a significant (p<0.05) reduction in carrageenan-induced hind paw edema. By demonstrating the molecular interaction with crucial amino acid residues in the lipoxygenase catalytic region, computational molecular docking reveals the enzyme's possible molecular binding form. [28]

2. Anticancer activity -

Using the MTT and clonogenic assays, the anticancer potential of 8 natural extracts of Smilax china rhizome (SCR) against HeLa cells was evaluated. The flavonoid-rich fraction shown good activity against HeLa cells. This extract was separated using a bioassay, and kaempferol-7-O-β-D-glucoside (KG), a flavonoid glycoside, was found to have strong anticancer properties. [29]

3. Antioxidant activity

Smilax china's ethyl acetate fraction had the most antioxidant properties, which were consistent with the high amounts of phenolic compounds, especially epicatechin and catechin. [20]

4. Anti-inflammatory and Analgesic activity

Both the methanolic and ethyl acetate extracts of Smilax china demonstrated dose-dependent anti-inflammatory activity and reduced the duration of licking in the late phase of analgesic activity. These effects were statistically significant at higher concentrations in the eddy's hotplate method and the acute carrageenan-induced rat paw edema model, respectively. [31]

5. Anti-hyperuricemic activity

The anti-hyperuricemic effect of Smilax chinensis ethylacetate fraction (250 mg/kg) was more pronounced in hyperuricemic mice. After being separated from the ethylacetate fraction, caffeine, resveratrol, rutin, and oxyresveratrol had varying inhibitory effects on xanthine oxidase in vitro. Their respective IC(50) values were 42.60, 37.53, 42.20, and 40.69μM, indicating either competitive or mixed inhibitory actions. In addition, it significantly restored the normal levels of blood urea nitrogen (p<0.05, p<0.01, and p<0.01, respectively), fractional excretion of urate (p<0.05, p<0.01, and p<0.01, respectively), and serum uric acid level (p<0.05, p<0.01, and p<0.001, respectively) in hyperuricemic rats. It also prevented renal damage from tubulointerstitial pathologies. [31]

6. Anti-microbial -   

Investigations were conducted into the extract's antimicrobial properties, extraction yields, and chemical makeup using different solvents from the powdered Smilax China plant.

7. Ethnopharmacology –

Given the extensive usage of medicinal ingredients in the medical industry, Smilax China has long been essential to human health. Many well-known medical texts in China mention the use of S. china. For example, the Supplementary Records of Famous Physicians (the Wei and Jin Dynasties), a well-known collection of Chinese classical works of materia medica, contains the first description of this plant and dates back approximately 1800 years. Based on this record, Smilax China.

Dosage forms and uses :

1. Traditional uses -

  • Anti-inflammatory and Analgesic: In diseases like rheumatism, gout, & rheumatoid arthritis, smilax china is used to ease pain and lower inflammation.
  • Skin Conditions: Sometimes used as a topically applied cream or decoction, it is used to treat skin conditions such acne, psoriasis, and eczema.
  • Respiratory Issues: It is used by traditional healers to treat respiratory conditions like asthma and bronchitis.
  • Digestive Issues: It is used to treat digestive disorders like diarrhea and constipation.
  • Other Uses: Smilax china has long been used as a source of yellow dye, a remedy for sexual diseases, and a general health tonic.
  • Ayurvedic and Chinese Medicine: Because of its reputation for balancing the three doshas (Pitta, Kapha, and Vata), it is used in traditional Chinese and Ayurvedic health techniques.

2. Therapeutic application -

Aathishak (syphilis), juzham (leprosy), fasad dam (blood impurity), amraze asab (nervous disorder), waja-ul-mafasil (rheumatism), and amraze kuliya-wa-masana (kidney & bladder disease) are among the conditions for which the medication is utilized. Parkinsonism, ulcers, skin conditions, suda (headache), istirkha (paralysis), and constipation [33,34,35,36].

  • Anti-inflammatory: Extracts from Smilax china have been demonstrated to inhibit inflammatory mediators and pro-inflammatory reactions.
  • Anticancer: According to certain research, extracts from Smilax china may prevent cancer cells from proliferating.
  • Diabetes Management: Patents explain how Smilax china extracts are used in blood-sugar-lowering products that may help cure or prevent diabetes.
  • Other Conditions: Numerous ailments have been traditionally treated with Smilax china, and studies are still being conducted to determine whether it can help with other conditions as well.

3. Modern Dosage Form –

a. Extract : Traditional medicine uses Smilax china extract, which is made from the plant's dried rhizome (root) and is well-known for its possible health advantages. It is often referred to as "Chopchini" & has been utilized for a number of purposes in traditional Chinese and Ayurvedic medicine.

Key aspects of Smilax china extract-

  • Source: The Smilax china plant's roots are used to make the extract.
  • Traditional Uses: Because of its possible anti-inflammatory, diuretic, antioxidant, & immune-stimulating qualities, smilax china extract has been utilized in traditional medicine.
  • Potential Benefits: Smilax china extract may be used to treat illnesses including pelvic inflammatory disease, or PID, & may have antioxidant, anti-inflammatory, and anti-cancer properties, according to research.
  • Chemical Components: Numerous substances found in the extract, such as flavonoids, saponins, & polyphenols, may be responsible for some of its therapeutic effects.
  • Preparation: Crushing the rhizome and extracting it with ethanol and other solvents will provide smilax china extract.
  • Applications: Smilax China Extract comes in a variety of forms, including as liquid extracts, powders, and capsules, and can be ordered in bulk.

b. Powder: The seeds or rhizomes of the plant Smilax china, sometimes referred to as chobchini and china root, are used to make its powder, which is utilized in traditional medicine. Ayurvedic and Unani medicinal systems use the brownish powder of chubbini for a number of health advantages, including lowering uric acid, curing arthritis, and aiding with digestion.

c. Other Formulation :

Disease name

Formulation

Gynecological inflation, arthritis, gout

Jn Gany Teng capsule

Inflammation, bacterial infection, viral infection

Topical gel

Heart disease, cancer

Smilax china L.leaf extract

Diabetes mellitus

phospholipid

Acne

Herbal gel

psoriasis

Herbal gel

Patent and regulatory status :

1. Patents -

The main focus of Smilax China patents is on the extraction and application of its bioactive components for a range of therapeutic uses. These patents include formulations for the treatment of diseases like diabetes and inflammation, as well as techniques for the extraction of polysaccharides and flavonoids. A few patents also describe how Smilax china is used in medicinal formulations and dietary supplements.

  • Polysaccharide Extraction:

A number of patents outline procedures for removing and purifying Smilax china's polysaccharides, which are well-known for their anti-inflammatory as well as other advantageous qualities.

  • Flavonoid Extraction:

Research and patents also concentrate on the extraction of flavonoids, which have been demonstrated to suppress inflammatory reactions, from Smilax china, especially from the root.

  • Extract Compositions:

Compositions with Smilax china extracts mixed with other plants or substances for certain medicinal benefits, such reducing inflammation or blood sugar, are covered by patents. [37]

2. Regulatory status -

Smilax china (China Root) has different regulatory statuses based on its intended application. It is a traditional medicinal herb with a variety of applications, but unlike prescription drugs, it is not often regulated as a drug or supplement.

  • Regulatory basis: Although the Atomic Energy Act of 1962 establishes the basis for atomic energy regulation, it is uncertain if this directly pertains to conventional medications such as those that use Smilax China.
  • Other Countries:

General Recognition: In traditional medical systems throughout Asia, including those in China, Japan, Korea, & Vietnam, Smilax china is well known.

  • Challenges: Standardization, cultural mistrust, and inconsistent regulations can all hinder its broader adoption in contemporary medicine.
  • Global Initiatives: The importance of traditional knowledge is being acknowledged more and more by global health efforts, which are encouraging collaborations between traditional healers and biomedical researchers.

CONCLUSION

The botanical, ethnopharmacological, phytochemical, pharmacological, and application aspects of Smilax china are compiled in this paper. The primary medicinal component of S. china is the rhizome, which has a long history of use and has been shown to be dependable and beneficial. More than 100 chemical components, primarily steroidal saponins, flavonoids, phenylpropanoids, as well as polyphenols, have been identified from the rhizome of Smilax china based on available data.

REFERENCES

  1. Wang K, Yang L, Zhou J, Pan X, He Z, Liu J, Zhang Y. Smilax china L. Polysaccharide Alleviates Oxidative Stress and Protects From Acetaminophen-Induced Hepatotoxicity via Activating the Nrf2-ARE Pathway. Front Pharmacol, 2022; 13: 888560.
  2. Zhang Y, Zhao Z, Chen H, Fu Y, Wang W, Li Q, Li X, Wang X, Fan G, Zhang Y. The Underlying Molecular Mechanisms Involved in Traditional Chinese Medicine Smilax china L. for the Treatment of Pelvic Inflammatory Disease. Evid Based Complement Alternat Med., 2021; 2021: 5552532.
  3. Xie Y, Hu D, Zhong C, Liu KF, Fang E, Zhang YJ, Zhou C, Tian LW. Anti-inflammatory furostanol saponins from the rhizomes of Smilax china L. Steroids, 2018; 140: 70-76.
  4. Xu, M.; Xue, H.; Li, X.; Zhao, Y.; Lin, L.; Yang, L.; Zheng, G. Chemical composition, antibacterial properties, and mechanism of Smilax china L. polyphenols. Appl. Microbiol. Biotechnol, 2019; 103: 9013–9022.
  5. Zheng XW, Zhang L, Zhang WY, Zhang Y, Wang JY, Liu BC, Hu XJ, Hong YL, Yang YQ. Two new xanthones, a new lignin, and twenty phenolic compounds from Smilax china and their NO production inhibitory activities. J Asian Nat Prod Res., 2020; 22(6): 509-520.
  6. Lee, H.E.; Kim, J.A.; Whang, W.K. Chemical Constituents of Smilax china L. Stems and Their Inhibitory Activities against Glycation, Aldose Reductase, alpha-Glucosidase, and Lipase. Molecules, 2017; 22: 451.
  7. Chen, Z. ? Chen, Y.Research status of clinical application and action mechanism of Smilax glabra, Asia- Pacific TraditMéd. 2014; 10:42-43
  8. Chen, C.Clinical value of strengthening spleen and dispelling dampness in treating abnormal leucorrheaClin. J. Chinese Med. 2016; 8:80-
  9. Zhang, H. ? Li, B. ? Zong, X. ...Preparative separation of flavonoids in plant extract of Smilacis Glabrae Roxb. by high performance counter-current chromatographyJ. Separ. Sci. 2013; 36:1853-1860
  10. Cheng, S. ? Peng, C. ? Pan, L. ...Modern research progress of Smilax glabra Jiangxi J. Tradit.Chin. Med. 2021; 52:69-76
  11. Xu, S. ? Shang, M. ? Liu, G. ...Chemical constituents from the rhizomes of Smilax glabra and their    antimicrobial activityMolecules. 2013; 18:5265-5287
  12. Wu, B. ? Ma, Y. ? Yuan, Z. ...Separation and identification of chemical constituents from Smilax glabraJ. Shenyang Pharm. Univ. 2010; 27:116-119
  13. Yuan, M. ? Yan, Z. ? Liu, Y. ...Chemical profiles, antioxidant activity and acute toxicity of raw and  sulfur-fumigated Smilacis Glabrae RhizomaJ. Ethnopharmacol. 2019; 234:76-84 Epub 2019 Jan27. PMID: 30699362
  14. Zhang, Q. ? Guo, Y. ? Zheng, G. ...Chemical constituents’ comparison between rhizome smilacis glabrae and Rhizoma Smilacis Chinae by HPLC-DAD-MS/MSNat. Prod. Res. 2013; 27:277-   281
  15. Zhao, A. ? Li, L. ? Li, B. ...Ultrafiltration LC-ESI-MS n screening of 5-lipoxygenase inhibitors from   selected Chinese medicinal herbs Saposhnikovia divaricata, Smilax glabra, Pueraria lobata and Carthamus tinctoriusJ. Funct.Foods. 2016; 24:244-253
  16. Inamullah Khan, Muhammad Nisar, FarooqEbad, Said Nadeem, Muhammad Saeed and Haroon  Khan. Anti-inflammatory activities of Sieboldogenin from Smilax china Linn. experimental and computational studies. Journal of Ethnopharmacolgy, 2009; 121(1):175-177.
  17. Chang Ho Jeong, HeeRokJeong, Ji Hyun Kwak, JiHye Kim, Gwi Nam Choi and DaeOk Kim. Phenolic composition and in vitroantioxidant activities of Smilax chinaroot. Journal of Food Biochemistry, 2013; 37(1):98–107.
  18. Yuan Li Li, Guo Ping Gan, Hui Zhan Zhang, HeZhen Wu and Yong Ping Huang. A flavonoid glycoside isolated fromSmilax chinaL. rhizomein vitroanticancer effects on human cancer of journal Ethnopharmacology. 2007; 113(1):115-124.
  19. Anti-inflammatory and analgesic activity of Smilax chinensis. Research Journal of Pharmaceutical, Biological and Chemical Sciences. 2010; 1(2): 1-8.9. You, C. ? Wu, Q. Wang, X.Exploration of the multicenter curative effect of self-made Qingzhuo Decoction  combined with microwave in the treatment of type ?B prostatitisJiangxi J. Tradit. Chin. Med. 2017; 48:28-30
  20. Lvyi Chen, Huafeng Yin, Zhou Lan, Shuwei Ma, Chunfeng Zhang and Zhonglin Yang. Anti-hyperuricemic and nephroprotective effects of Smilax china L. Journal of Ethnopharmacology, 2011; 135(2): 399-405.
  21. Sun, J. ? Jiang, Z. ? Li, F.Clinical observation of tonglin jiedu decoction in treating nongonococcal urethritisChin. J. Cont. Ende. Dise. 2016; 31:
  22. You, Y.Observation on the effect of self-made Xiaojun Decoction on 80 cases of gastric ulcer infected by Helicobacter PyloriGui. Chi. Med. 2016; 14:170
  23. Liu, S. ? Zhang, H. ? Liu, X. ...Experimental study on qingre lishi jiedu decoction in treating damp-heat accumulation type ulcerative colitis, ActaChin. Med. 2016; 31:1931-1935+1946
  24. Tang, Y. ? Yu, J. ? Zhao, W. ...Total glucosides of Rhizoma Smilacis Glabrae: a therapeutic approach for psoriasis by regulating Th17/Treg balanceChin. J. Nat. Med. 2023; 21:589-598
  25. Liang, Y. ? Wang, W. ? Yi, J. ...Clinical observation of tufuling qingdai decoction in the treatment of psoriasis vulgaris (blood-heat type) and detection of TNF-α and VEGF levelsGuangming J. Chin. Med. 2015; 30:2132-2134
  26. Qian, J.Clinical observation on the treatment of psoriasis vulgaris with blood-heat syndromeWestern J. Tradit. Chin. Med. 2016; 29:89-92
  27. Duan, Q. ? Fang, Y. ? Peng, Y. ...Clinical study on the treatment of infantile eczema with the method of strengthening the spleen and removing dampnessLiaoning J. Tradit. Chin. Med. 2016; 43:2313-2315
  28. Yang, J.Clinical observation on 42 cases of ankylosing spondylitis treated with integrated traditional Chinese and Western MedicineHunan J. Tradit. Chin. Med. 2016; 32:15-17+24
  29. Liao, Z.Observation of Curative Effect of Smilax Chinensis in the Treatment of Acute Gouty Arthritis of Damp-Heat Accumulation Type, Master's Thesis. Guangdong(CHN)Guangzhou University of Chinese Medicine, 2017
  30. Liang, G. ? Nie, Y. ? Chang, Y. ...Protective effects of Rhizoma smilacis glabrae extracts on potassium oxonate- and monosodium urate-induced hyperuricemia and gout in micePhytomedicine. 2019; 59, 152772
  31. Lamba SS, Buch KY, Lewis-III, H, Lamba J. Phytochemicals as potential hypoglycemic agents. Stud Nat Product Chem, 2000; 21(2): 457-496
  32. Koti BC, Biradar SM, Karadi RV, Taranalli AD, Benade VS. Effect of Bauhinia variegate bark extract on blood glucose level in normal and alloxanised diabetic rats. J Nat Remedies, 2009; 9(1): 27-34.
  33. Kabeeruddin M. Tarjma wa sharha kulliyate qanoon. 1 st edi. Maktaba Mahboobul matabe, Buraqui press, Delhi 1930; (1):128-29.
  34. Jafri SAH, Siddiqui MMH. Tarjama daqaiqul ilja (Urdu). Makhtar Printing workers, Deoband. 1990; (1):471-73.
  35. Khan MA. Akseer Azam. Nami Munshi Nawal Kishore, Lucknow. 2 nd edi. 1885; 4: 14-18,453-83.
  36. Adebajo A. ABC of rheumatology. 4 th edi. Blackwell Publishing Ltd, UK. 2010: 59-61.
  37. M Wang, QX Bai, XX Zheng, WJ Hu, S Wang… - Journal of …, 2024 – Elsevier

Reference

  1. Wang K, Yang L, Zhou J, Pan X, He Z, Liu J, Zhang Y. Smilax china L. Polysaccharide Alleviates Oxidative Stress and Protects From Acetaminophen-Induced Hepatotoxicity via Activating the Nrf2-ARE Pathway. Front Pharmacol, 2022; 13: 888560.
  2. Zhang Y, Zhao Z, Chen H, Fu Y, Wang W, Li Q, Li X, Wang X, Fan G, Zhang Y. The Underlying Molecular Mechanisms Involved in Traditional Chinese Medicine Smilax china L. for the Treatment of Pelvic Inflammatory Disease. Evid Based Complement Alternat Med., 2021; 2021: 5552532.
  3. Xie Y, Hu D, Zhong C, Liu KF, Fang E, Zhang YJ, Zhou C, Tian LW. Anti-inflammatory furostanol saponins from the rhizomes of Smilax china L. Steroids, 2018; 140: 70-76.
  4. Xu, M.; Xue, H.; Li, X.; Zhao, Y.; Lin, L.; Yang, L.; Zheng, G. Chemical composition, antibacterial properties, and mechanism of Smilax china L. polyphenols. Appl. Microbiol. Biotechnol, 2019; 103: 9013–9022.
  5. Zheng XW, Zhang L, Zhang WY, Zhang Y, Wang JY, Liu BC, Hu XJ, Hong YL, Yang YQ. Two new xanthones, a new lignin, and twenty phenolic compounds from Smilax china and their NO production inhibitory activities. J Asian Nat Prod Res., 2020; 22(6): 509-520.
  6. Lee, H.E.; Kim, J.A.; Whang, W.K. Chemical Constituents of Smilax china L. Stems and Their Inhibitory Activities against Glycation, Aldose Reductase, alpha-Glucosidase, and Lipase. Molecules, 2017; 22: 451.
  7. Chen, Z. ? Chen, Y.Research status of clinical application and action mechanism of Smilax glabra, Asia- Pacific TraditMéd. 2014; 10:42-43
  8. Chen, C.Clinical value of strengthening spleen and dispelling dampness in treating abnormal leucorrheaClin. J. Chinese Med. 2016; 8:80-
  9. Zhang, H. ? Li, B. ? Zong, X. ...Preparative separation of flavonoids in plant extract of Smilacis Glabrae Roxb. by high performance counter-current chromatographyJ. Separ. Sci. 2013; 36:1853-1860
  10. Cheng, S. ? Peng, C. ? Pan, L. ...Modern research progress of Smilax glabra Jiangxi J. Tradit.Chin. Med. 2021; 52:69-76
  11. Xu, S. ? Shang, M. ? Liu, G. ...Chemical constituents from the rhizomes of Smilax glabra and their    antimicrobial activityMolecules. 2013; 18:5265-5287
  12. Wu, B. ? Ma, Y. ? Yuan, Z. ...Separation and identification of chemical constituents from Smilax glabraJ. Shenyang Pharm. Univ. 2010; 27:116-119
  13. Yuan, M. ? Yan, Z. ? Liu, Y. ...Chemical profiles, antioxidant activity and acute toxicity of raw and  sulfur-fumigated Smilacis Glabrae RhizomaJ. Ethnopharmacol. 2019; 234:76-84 Epub 2019 Jan27. PMID: 30699362
  14. Zhang, Q. ? Guo, Y. ? Zheng, G. ...Chemical constituents’ comparison between rhizome smilacis glabrae and Rhizoma Smilacis Chinae by HPLC-DAD-MS/MSNat. Prod. Res. 2013; 27:277-   281
  15. Zhao, A. ? Li, L. ? Li, B. ...Ultrafiltration LC-ESI-MS n screening of 5-lipoxygenase inhibitors from   selected Chinese medicinal herbs Saposhnikovia divaricata, Smilax glabra, Pueraria lobata and Carthamus tinctoriusJ. Funct.Foods. 2016; 24:244-253
  16. Inamullah Khan, Muhammad Nisar, FarooqEbad, Said Nadeem, Muhammad Saeed and Haroon  Khan. Anti-inflammatory activities of Sieboldogenin from Smilax china Linn. experimental and computational studies. Journal of Ethnopharmacolgy, 2009; 121(1):175-177.
  17. Chang Ho Jeong, HeeRokJeong, Ji Hyun Kwak, JiHye Kim, Gwi Nam Choi and DaeOk Kim. Phenolic composition and in vitroantioxidant activities of Smilax chinaroot. Journal of Food Biochemistry, 2013; 37(1):98–107.
  18. Yuan Li Li, Guo Ping Gan, Hui Zhan Zhang, HeZhen Wu and Yong Ping Huang. A flavonoid glycoside isolated fromSmilax chinaL. rhizomein vitroanticancer effects on human cancer of journal Ethnopharmacology. 2007; 113(1):115-124.
  19. Anti-inflammatory and analgesic activity of Smilax chinensis. Research Journal of Pharmaceutical, Biological and Chemical Sciences. 2010; 1(2): 1-8.9. You, C. ? Wu, Q. Wang, X.Exploration of the multicenter curative effect of self-made Qingzhuo Decoction  combined with microwave in the treatment of type ?B prostatitisJiangxi J. Tradit. Chin. Med. 2017; 48:28-30
  20. Lvyi Chen, Huafeng Yin, Zhou Lan, Shuwei Ma, Chunfeng Zhang and Zhonglin Yang. Anti-hyperuricemic and nephroprotective effects of Smilax china L. Journal of Ethnopharmacology, 2011; 135(2): 399-405.
  21. Sun, J. ? Jiang, Z. ? Li, F.Clinical observation of tonglin jiedu decoction in treating nongonococcal urethritisChin. J. Cont. Ende. Dise. 2016; 31:
  22. You, Y.Observation on the effect of self-made Xiaojun Decoction on 80 cases of gastric ulcer infected by Helicobacter PyloriGui. Chi. Med. 2016; 14:170
  23. Liu, S. ? Zhang, H. ? Liu, X. ...Experimental study on qingre lishi jiedu decoction in treating damp-heat accumulation type ulcerative colitis, ActaChin. Med. 2016; 31:1931-1935+1946
  24. Tang, Y. ? Yu, J. ? Zhao, W. ...Total glucosides of Rhizoma Smilacis Glabrae: a therapeutic approach for psoriasis by regulating Th17/Treg balanceChin. J. Nat. Med. 2023; 21:589-598
  25. Liang, Y. ? Wang, W. ? Yi, J. ...Clinical observation of tufuling qingdai decoction in the treatment of psoriasis vulgaris (blood-heat type) and detection of TNF-α and VEGF levelsGuangming J. Chin. Med. 2015; 30:2132-2134
  26. Qian, J.Clinical observation on the treatment of psoriasis vulgaris with blood-heat syndromeWestern J. Tradit. Chin. Med. 2016; 29:89-92
  27. Duan, Q. ? Fang, Y. ? Peng, Y. ...Clinical study on the treatment of infantile eczema with the method of strengthening the spleen and removing dampnessLiaoning J. Tradit. Chin. Med. 2016; 43:2313-2315
  28. Yang, J.Clinical observation on 42 cases of ankylosing spondylitis treated with integrated traditional Chinese and Western MedicineHunan J. Tradit. Chin. Med. 2016; 32:15-17+24
  29. Liao, Z.Observation of Curative Effect of Smilax Chinensis in the Treatment of Acute Gouty Arthritis of Damp-Heat Accumulation Type, Master's Thesis. Guangdong(CHN)Guangzhou University of Chinese Medicine, 2017
  30. Liang, G. ? Nie, Y. ? Chang, Y. ...Protective effects of Rhizoma smilacis glabrae extracts on potassium oxonate- and monosodium urate-induced hyperuricemia and gout in micePhytomedicine. 2019; 59, 152772
  31. Lamba SS, Buch KY, Lewis-III, H, Lamba J. Phytochemicals as potential hypoglycemic agents. Stud Nat Product Chem, 2000; 21(2): 457-496
  32. Koti BC, Biradar SM, Karadi RV, Taranalli AD, Benade VS. Effect of Bauhinia variegate bark extract on blood glucose level in normal and alloxanised diabetic rats. J Nat Remedies, 2009; 9(1): 27-34.
  33. Kabeeruddin M. Tarjma wa sharha kulliyate qanoon. 1 st edi. Maktaba Mahboobul matabe, Buraqui press, Delhi 1930; (1):128-29.
  34. Jafri SAH, Siddiqui MMH. Tarjama daqaiqul ilja (Urdu). Makhtar Printing workers, Deoband. 1990; (1):471-73.
  35. Khan MA. Akseer Azam. Nami Munshi Nawal Kishore, Lucknow. 2 nd edi. 1885; 4: 14-18,453-83.
  36. Adebajo A. ABC of rheumatology. 4 th edi. Blackwell Publishing Ltd, UK. 2010: 59-61.
  37. M Wang, QX Bai, XX Zheng, WJ Hu, S Wang… - Journal of …, 2024 – Elsevier

Photo
Sanika.A.Patil
Corresponding author

Womens college of pharmacy, peth vadgaon

Photo
Pratiksha.P.Pawar
Co-author

Womens college of pharmacy, peth vadgaon

Sanika Patil, Pratiksha Pawar, Sindhu Shedbale, Dr.Dhanraj Jadge, Botanical, Phytochemical and Pharmacological Profile of Smilax China L., Int. J. of Pharm. Sci., 2025, Vol 3, Issue 6, 1552-1563. https://doi.org/10.5281/zenodo.15616167

More related articles
Drug Utilization Evaluation of Antibiotics at A Te...
Rashmitha R., Sahana G., Beulah Milton, Janavi G., ...
Evaluating the Impact of Formulation Parameters on...
Gurubasavaraj A M T, Shankrayya M, Chaithra R P, Pradeep U , ...
Phytoestrogenic And Therapeutic Potential of Clito...
Shweta Pandey, Nikita Pagare, Manisha Nangude, Akshata Palve, Suj...
Different Analytical Methodology for The Analysis of Methotrexate...
Sakshi Namdeo Dhote , Sayyed Arshad Roshan Ali , Ajinkya D Vaidya , Dr.Nilesh O. Chachda, ...
Design, Synthesis and In-silico study of Isatin Derivatives as Potential Anti-As...
s. vanitha, Anagha k.p, Dr.P.Perumal, Akash G, Aravind v, Kaleeswaran K, Kesavamoorthy S, Ranjithkum...
Related Articles
Phytochemical And Biological Screening of Tectona Grandis Leaves...
Satish Ponnada, Kiran Kumar Buralla, BhagyaLaxmi Suvvari, ...
A Review On HPLC Analytical Method And Validation For Determination Of Sitaglipt...
Kajal Vable, Harshit Prajapati, Chainesh Shah, Umesh Upadhyay , ...
In Situ Gelling Systems: A Smart Approach to Controlled Drug Release...
Dr. Gururaj S Kulkarni, Vishal A., Yaswanth K., Akshitha Y., Amrin M., Chandrakanth G., ...
Drug Utilization Evaluation of Antibiotics at A Tertiary Care Hospital...
Rashmitha R., Sahana G., Beulah Milton, Janavi G., ...
More related articles
Drug Utilization Evaluation of Antibiotics at A Tertiary Care Hospital...
Rashmitha R., Sahana G., Beulah Milton, Janavi G., ...
Evaluating the Impact of Formulation Parameters on Permeation of Clotrimazole fr...
Gurubasavaraj A M T, Shankrayya M, Chaithra R P, Pradeep U , ...
Phytoestrogenic And Therapeutic Potential of Clitoria Ternatea (Blue Pea) In Men...
Shweta Pandey, Nikita Pagare, Manisha Nangude, Akshata Palve, Sujal Nikam, Harshal Nathe, ...
Drug Utilization Evaluation of Antibiotics at A Tertiary Care Hospital...
Rashmitha R., Sahana G., Beulah Milton, Janavi G., ...
Evaluating the Impact of Formulation Parameters on Permeation of Clotrimazole fr...
Gurubasavaraj A M T, Shankrayya M, Chaithra R P, Pradeep U , ...
Phytoestrogenic And Therapeutic Potential of Clitoria Ternatea (Blue Pea) In Men...
Shweta Pandey, Nikita Pagare, Manisha Nangude, Akshata Palve, Sujal Nikam, Harshal Nathe, ...