View Article

Abstract

Sunscreen is a topical product (lotion, spray, gel) that protects the skin by absorbing or reflecting the sun’s ultraviolet (UV) radiation to prevent sunburn and reduce the risk of skin cancer and premature aging. Some active ingredients in the sunscreen most primarily the organic compounds, absorb the UV radiation and convert it into a small amount of heat. While, Other active ingredients, typically mineral-based like zinc oxide and titanium dioxide, work by scattering and reflecting UV rays away from the skin. Due to the increasing incidence of skin related problem such as Skin cancer and the photo-damaging effects of UV radiation, the use of sunscreen has grown. These agents helps in minimizing symptoms associated with sun damage. An ideal sunscreen must be non-hazardous, non-irritating, non-toxic, and capable of providing complete protection against radiation of the Sun. This formulation of sunscreen lotion contains ingredients such as aloe vera and turmeric, which are skin friendly. Evaluation criteria such as pH, spreadability, and skin feel were used for testing.

Keywords

Phytopharmacology; Medicinal plants; Phytochemicals; Therapeutic bioactives; Drug discovery; Natural products

Introduction

A substance that helps protect the skin from the sun's harmful rays. Sunscreens reflect, absorb, and scatter both ultraviolet A and B radiation to provide protection against both types of radiation. Using lotions, creams, or gels that contain sunscreens can help protect the skin from premature aging and damage that may lead to skin cancer.

With increasing awareness of the protection afforded by sunscreens against Sunburns, skin aging and melanomas, the demand for sunscreen formulations will invariably Increase, and there exists a significant opportunity for pharmaceutical industries to fulfill This demand by manufacturing quality, efficacious, safe and aesthetically appealing Sunscreen formulations. Sunscreen lotion is a sort of product that protects against the sun’s Harmful rays by containing ultraviolet radiation (UV rays), which is divided into

  • UVA: longest wavelength with 320-400nm, it affects inner cells in the top of skin Including dermis and causes immediate tanning and sunburn.
  • UVB: Medium wavelength with 290-320nm, it affects the cells in the top layer of skin And causes delayed tanning, sunburn and blisters.
  • UVC: Shortest wavelength with 100-290nm, it affects the outermost cells in the top Layer of skin and causes redness, ulcers and lesions.

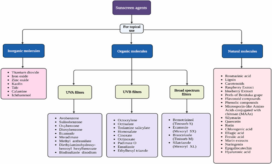
Sunscreens are usually categorized into inorganic and organic UV filter. Inorganic agents reflect and

 Classification of sunscreen agents:-

  1. Physical sunscreen.
  2. Chemical sunscreen.

Physical Sunscreen –

Those that reflects the sunlight. Physical sunlight contain inert mineral particles that reflects the UV rays like a mirror. The most common type is ultrafine titanium oxide, made up of minute particle only 20-30 mm3 in size . these products have advantage over chemical sunscreen in that they are inert substances that do not break down over time. They are far liable to cause skin irritation, since they are in the form of insoluble particles that are not absorbed through the skin. Because of the small size of the particles, modern physical sunscreen reflects the radiation in the UVB and short UVA regions better than earlier products.

Chemical Sunscreen –

Those that absorbs the UV light sunscreen agents for external use only the use of sunscreen as photo protecting agents for UV protection. The sunscreen formulation which when applied topically protect the treated area from sunburn sunscreen depends on ability to protect against UV induced sunburn and their chemo-preventive activity. The main mechanism of the skin damage by UV radiation is formation of Reactive Oxygen Species (ROS) that interact with proteins lipids and subsequently alter them. UVB and to a lesser extent UVA are responsible for inducing skin damages.

The photo protective mechanism of Anti-oxidant compounds are given below as –

The Sunscreen can be formulated in various formulations such as –

  1. Sunscreen Emulsion

An emulsion is a two-phase liquid dosage form where one liquid is dispersed as tiny droplets within another immiscible liquid, such as oil in water (O/W) or water in oil (W/O). The emulsion can be a lotion or cream depending upon its viscosity. The emulsion sunscreen are very cost effective and these formulation have great ability to spread on the skin and disperse from the bottles. The emulsion also provide an elegant medium that give the skin a smooth and silky feeling without greasy shine.

  1. Sunscreen Gel

A pharmaceutical gel is a semisolid preparation that consists of a liquid phase (aqueous, hydro-alcoholic, or non-aqueous) that has been thickened and immobilized by a three-dimensional network of small inorganic particles or large organic molecules, known as a gelling agent. It seems to be an ideal vehicle due to its purity and elegance. The aqueous gel must be composed of water and solubilizers (e.g., nonionic surfactants, Organic agents, and phosphate esters) at sufficient proportions to ensure the gel will be transparent at all temperatures.

  1. Sunscreen Gel

An Aerosol is a pressurized dosage form that uses a compressed or liquefied gas propellant to expel a medicament as a fine dispersion of liquid and/or solid particles in a gaseous medium. In addition to lotions and creams, Aerosols are topically applied on the skin to protect skin from harmful sunlight and UV Radiation. They are typically oil-based, making them Quite expensive and often reducing their effectiveness. In addition, it is hard observe where the Sunscreen has been applied. Caution must be taken to avoid accidentally spraying sunscreen into the eyes.

  1. Sun Stick

The sun stick is undoubtedly one of the most convenient products due to its small size and Light weight. The sun stick is produced by two main emulsion components, namely oil and oil-Soluble components, through the incorporation of petrolatum and waxes. Thus, it tends to have a Greasy feel on the skin.

AIM – Formulation and Evaluation of Herbal Sunscream containing Aloe-vera and Turmeric

OBJECTIVES :

  1. To prepare and standardize extracts of Aloe vera and Turmeric for use as herbal photoprotective agents.
  2. To formulate a herbal sunscreen incorporating Aloe vera and Turmeric in a suitable topical base.
  3. To evaluate the physicochemical properties of the formulated sunscreen such as pH, viscosity, spreadability, appearance, and wash-off resistance.
  4. To determine the Sun Protection Factor (SPF) of the herbal sunscreen using in-vitro UVspectrophotometric methods.
  5. To assess the antioxidant activity of the formulation contributed by Turmeric (curcuminoids) and Aloe vera.
  6. To evaluate the stability of the herbal sunscreen under different storage conditions (temperature, light, and humidity).
  7. To compare the performance of the herbal sunscreen with a marketed synthetic sunscreen formulation.

PLAN OF WORK

In this Research, we are using Turmeric and Aleo-vera as a main Extract.

  1. Turmeric

Biological Source

  • Scientific name -  Curcuma longa Linn.
  • Family - Zingiberaceae
  • Common name – Turmeric / Haldi
  • Part used- Rhizome powder or extract

Morphological Description

  1. Shape: Short thick, branched rhizomes of length 3-5 cm and width of 1-1.8 cm
  2. Color: Yellowish-brown to Yellow externally
  3. Surface: Waxy and Hard
  4. Texture: Rough, Scaly and hard, breaks cleanly
  5. Taste: Warm, bitter, slightly pungent

Microscopical Description

  1. Cork made of thin walled, yellow-brown cells
  2. Cortex with parenchyma containing abundant starch grains and oil cells
  3. Scattered vascular bundles with xylem and phloem
  4. Numerous simple and compound starch grains with central hilum
  5. Large oleoresin cells filled with yellow-orange curcumin    

Chemical Constituents

  • Curcuminoids – mainly curcumin, demethoxycurcumin and bis-demethoxycurcumin
  • Volatile oil – turmerone, atlantone, zingiberene
  • Sesquiterpenes  - ar-turmerone, curlone

Uses – Anti-inflammatory, antioxidant, antimicrobial, coloring agent and digestive stimulant

  1. Aloe vera

Biological Source

  • Scientific name – Aloe barbadensis Miller
  • Family - Asphodelaceae
  • Common name – Aloe, Ghritkumari
  • Part used- Leaf

Macroscopic Characteristics

  1. Color:- Green leaf; Gel is colourless
  2. Odour:- Mild, characteristic
  3. Taste:- Slightly bitter
  4. Shape:- Leaf is thick, fleshy, succulent, lanceolate tapering at the end
  5. Size:- 30-60 cm long

Microscopic Characteristics

  1. Epidermis single layered with thick cuticle and occasional stomata
  2. Below epidermis a chloenchyma layer with chloroplasts
  3. Large parenchymatous pulp cells filled with mucilage
  4. Vascular bundles scattered, each with xylem and phloem
  5. Calcium oxalate crystals (prisms) present in mesophyll

Chemical Constituent –

  • Anthraquinone glycosides (aloin, aloe-emodin), polysaccharides (acemannan), resins, enzymes, vitamins and minerals

USES -used as laxative, wound healing agent, anti-inflammatory, moisturizer and sun-protective skin soothing agent

MATERIALS AND METHODOLOGY

  • Materials

Raw Materials - Aloe-Vera, Curcuma Longa

Ingredients - Liquid Paraffin for oil base, Propylene Glycol, PEG, Carbopol 940/934 or HOMC, Methyl paraben / Propyl paraben as a preservatives, NAOH, Distilled water, Ethanol.

Chemicals - DPPH, Methanol, PBS, Buffer, Nutrient Agar

Instruments - pH meter, Magnetic stirrer with hotplate, Ultra-sonicator, High-shear homogenizer or rotor-stator homogenizer, Particle size analyzer / Dynamic Light Scattering (DLS) instrument, Zeta potential analyzer, UV–Vis spectrophotometer (capable 200–800 nm), Brookfield viscometer, Centrifuge (4000–10,000 rpm),Hot air oven, Analytical balance, glassware, syringes, filters (0.45 µm), beakers, conical flasks

  • Formulation Table
  1.  For Active Ingredients
  2. For Oil Phase

Ingredients

Quantity

Aloe Vera

20 gm

Turmeric Extract

2 gm

Titanium dioxide

5 gm

Zinc Oxide

5 gm

Ingredients

Quantity

Coconut Oil

8 gm

Olive oil

5 gm

Bess-wax

4 gm

Cetostearyl Alcohol

3 gm

 

  • Methodology
  1. Collection and Authentication of Plant Materials

 Fresh Aloe vera leaves and Curcuma longa (turmeric) rhizomes were collected from the local market. Both samples were authenticated in the Department of Pharmacognosy.

  1. Preparation of Extracts
  1. Preparation of Aloe vera Extract
  1. Fresh leaves were washed thoroughly with distilled water.
  2. The outer rind was removed and the inner gel was collected.
  3. The gel was homogenized using a blender.
  4. The homogenized gel was filtered to obtain a clear Aloe vera gel extract.
  5. The extract was stored in an airtight container at 4°C.
  1. Preparation of Turmeric Extract
  1. Turmeric rhizomes were washed, sliced, and shade-dried.
  2. Dried rhizomes were powdered using a grinder.
  3. 50 g of turmeric powder was extracted using 70% ethanol in a Soxhlet extractor for 6 hours.
  4. The extract was concentrated on a water bath to remove the solvent.
  5. The dried extract was stored in an airtight container.
  1. Phytochemical Screening

Both Aloe vera and Turmeric extracts were subjected to preliminary phytochemical tests for flavonoids, alkaloids, tannins, phenolics, and curcuminoids.

  1. Formulation of Herbal Sunscreen (Cream base)
  1. Preparation of Oil Phase

Light liquid paraffin, stearic acid, and cetyl alcohol were weighed and heated to 70°C until melted.

  1. Preparation of Aqueous Phase

Distilled water was heated to 70°C. Glycerin and preservatives (methylparaben & propylparaben) were dissolved in the warm water.

  1. Emulsification

1. The hot aqueous phase was slowly added to the hot oil phase with continuous stirring.

2. The mixture was stirred until a uniform cream base was formed.

  1. Incorporation of Herbal Extracts

1. Aloe vera extract and turmeric extract were added to the cream base at 45–50°C.

2. The mixture was stirred continuously until a smooth and homogenous herbal sunscreen cream was obtained.

3. The cream was packed in airtight containers.

  • Evaluation
  1. Organoleptic Evaluation – Color, odor, texture, and appearance were visually observed.
  2. pH determination – The pH of herbal sunscreens was determined using a digital pH meter. pH was measured after 1 g of the formulation was Dissolved in 100 ml of newly prepared distilled water for 2 hours. The purpose of this study was to guarantee that the pH of The produced herbal sunscreens is similar to the pH of the skin after 24 hours of use. The results were triple-checked, and S.D. Was recorded.
  3. Viscosity – The Brookfield viscometer was used to test viscosity, with the proper number of spindles selected. A 50 ml Beaker was used to hold 50 g of preparation until the spindle groove was dipped and the rpm was set. Herbal sunscreen viscosity Was measured at 5, 10, 20, 50, and 100 rpm. The viscosity was computed using the factor obtained from the reading.
  4. Spreadability test – The spreadability of herbal sunscreens determined their therapeutic efficiency. The appropriate amount of herbal sunscreen Was applied between two slides, and under specified load directions, and the two sides took the time in seconds to slide off.Spreadability was defined as the amount of time it took to separate two slides in less time. The formula for calculating it is – S = M x L/t Where, M = weight tied to upper slide L = Length of glasslide T = time taken to separate the slide
  5. Wash-Off test – A fixed amount of cream was applied on skin and washed under running water; resistance to removal was observed.
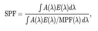
  6. In Vitro Sun Protection Factor (SPF) – SPF was determined using the UV– spectrophotometric method. The sample was diluted in ethanol. Absorbance was taken from 290–320 nm at 5 nm intervals. The SPF can be calculated as –
  1. Anti Oxidant Activity (DPPH Assay) – In different vials, 1 ml of varying concentrations of herbal sunscreens and ascorbic acid as standard were taken. 5 mL of DPPH Methanolic solution was added to this, shaken thoroughly, and incubated at 370C for 20 minutes. At 516 nm, the absorbance Was measured against methanol as a blank. The DPPH absorbance was used as a control. The following formula was used to compute the percentage of antiradical activity: %Anti Radical Activity = Control Absorbance – Sample Absorbance / Control Absorbance x 100
  2. Stability Study – The formulation was kept at: Room temperature (25°C) Refrigerator (4°C) High temperature (40°C)

The cream was observed for 30 days for any changes in pH, color, odor, phase separation, or consistency.

RESULT AND DISCUSSION

The herbal sunscreen formulation containing Aloe vera gel (soothing and moisturizing agent) and Turmeric extract (UV-protective antioxidant) was successfully prepared as an oil-in-water emulsion using standard cosmetic formulation techniques.

The final formulation showed:

Physicochemical Properties –

  1. Smooth, uniform, non-greasy texture
  2. Light yellow color characteristic of turmeric
  3. Pleasant appearance and easy spreadability
  4. pH within 5.5–6.5, suitable for skin application
  5. Good homogeneity and no phase separation

SPF & Sun Protection

Exhibited an in-vitro SPF value of approximately 12–15 (depending on concentration of turmeric extract), indicating moderate UV protection suitable for daily use.

Stability Studies –

  • No significant change in pH, color, odor, or viscosity during accelerated stability testing (30 days).
  • No microbial contamination observed.

Safety Profile

  • Non-irritant on skin (patch test).
  • Herbal actives showed good compatibility with excipients.

CONCLUSION

The study confirms that a safe, stable, and effective herbal sunscreen can be successfully formulated using Aloe vera and Turmeric as the main active ingredients. The product offers moderate SPF protection, antioxidant benefits, enhanced skin hydration, and good user acceptability.

Because it uses natural plant extracts instead of synthetic UV filters, the formulation is: Eco-friendly Skin-friendly and less irritant, Cost-effective, Suitable for routine daily use

Overall, the research demonstrates that Aloe vera and Turmeric can serve as potent natural photo-protective agents, making the herbal sunscreen a promising alternative to chemical sunscreens.

REFERENCES

  1. Catalano et al., “Aloe vera — An Extensive Review Focused on Recent Studies” (2024, PMC)
  2. Donthi et al., “Nanoemulgel: A Novel Nano Carrier as a Tool for Topical Drug Delivery” (2023, PMC)
  3. Tiwari et al., “Formulation and evaluation of herbal sunscreens” (2022)
  4. Roy et al., “Formulation and Evaluation of Cost-Effective Herbal Sunscreen Gel” (2022)
  5. Tiwari R, Singh I, Gupta M, Singh LP, Tiwari G. Formulation and Evaluation of Herbal Sunscreens: An Assessment Towards Skin Protection from Ultraviolet Radiation. Pharmacophore. 2022;13(3):41-9.
  6. Hashim DM, Sheta NM, Elwazzan VS, Sakran W. Enhancing the sunscreen efficacy of bemotrizinol micropigment by Using o/w nanoemulsion topical preparations. Int J Pharm Pharm Sci. 2019;11(7):47-56.
  7. Radha MH, Laxmipriya NP. Evaluation of biological properties and clinical effectiveness of Aloe vera: A systematic Review. J Tradit Complement Med. 2014;5(1):21-6.
  8. Amit Roy, Ram Kumar Sahu. Formulation and Development of Herbal Sunscreen Cream. Research Journal of Topical and Cosmetic Sciences. 2014; 5(1):12-14.
  9. Mukund manikrao doglikar, sharada laxman deore : development and evaluation of herbal sunscreen. Pharmacogn j., 2017; 9(1): 83-97. Doi -10.5530/PJ. 2017.1.15.
  10. Dromgoole SH and Maibach HI. Sunscreening agent intolerance: contact and photo contact Sensitization and contact urticaria. J Am Acad Dermatol. Jun 1990; 22(6):1068-78.

Reference

  1. Catalano et al., “Aloe vera — An Extensive Review Focused on Recent Studies” (2024, PMC)
  2. Donthi et al., “Nanoemulgel: A Novel Nano Carrier as a Tool for Topical Drug Delivery” (2023, PMC)
  3. Tiwari et al., “Formulation and evaluation of herbal sunscreens” (2022)
  4. Roy et al., “Formulation and Evaluation of Cost-Effective Herbal Sunscreen Gel” (2022)
  5. Tiwari R, Singh I, Gupta M, Singh LP, Tiwari G. Formulation and Evaluation of Herbal Sunscreens: An Assessment Towards Skin Protection from Ultraviolet Radiation. Pharmacophore. 2022;13(3):41-9.
  6. Hashim DM, Sheta NM, Elwazzan VS, Sakran W. Enhancing the sunscreen efficacy of bemotrizinol micropigment by Using o/w nanoemulsion topical preparations. Int J Pharm Pharm Sci. 2019;11(7):47-56.
  7. Radha MH, Laxmipriya NP. Evaluation of biological properties and clinical effectiveness of Aloe vera: A systematic Review. J Tradit Complement Med. 2014;5(1):21-6.
  8. Amit Roy, Ram Kumar Sahu. Formulation and Development of Herbal Sunscreen Cream. Research Journal of Topical and Cosmetic Sciences. 2014; 5(1):12-14.
  9. Mukund manikrao doglikar, sharada laxman deore : development and evaluation of herbal sunscreen. Pharmacogn j., 2017; 9(1): 83-97. Doi -10.5530/PJ. 2017.1.15.
  10. Dromgoole SH and Maibach HI. Sunscreening agent intolerance: contact and photo contact Sensitization and contact urticaria. J Am Acad Dermatol. Jun 1990; 22(6):1068-78.

Photo
Vinita Yadav
Corresponding author

B.R. Harne College of Pharmacy, Maharashtra, India

Photo
Sharayu Tumbada
Co-author

B.R. Harne College of Pharmacy, Maharashtra, India

Sharayu Tumbada, Vinita Yadav, Formulation and Evaluation of Herbal Sun Screen, Int. J. of Pharm. Sci., 2025, Vol 3, Issue 12, 1920-1928. https://doi.org/10.5281/zenodo.17885315

More related articles
Comprehensive Review of Quality by Design (Qbd)...
Prajapati Rahul Vinitbhai, Devendrakumar D. Vaghela, Drashti C. P...
Introduction Of Lord of Shiva Plant: A Review...
Prajakta Patil, Parth Palamkar, Ranjit Patil, Abhishek Patil, Pav...
Clinical Evaluation & Synergistic Effect of CMT An...
Leena Kumavat , Sakshi Kashid, Snehal Tuse, Sanjay Walode, ...
Biodegradable Sanitary Napkins An Innovative Approach Towards Menstrual Hygiene ...
Mounika K, Dr. K. B. Ilango, Baranitharan A. K., Dhivyatharshini S., Gowtham K., Swetha V., Vijaykum...
Insilico Screening Of Novel Pyrimidinones As Potential Her2 Inhibitors Targeting...
A Nazrin Fathima, A Sumathy, S Greeshma, N L Gowrishankar, ...
Related Articles
The Integration of Traditional and Modern Medicine: Future Prospects for Pharmac...
Manojit Kundu, Shaheen Parveen, Meghna Chowdhury, Rishikesh Ishore, Atanu Bag, Souvik Bhattacharyya,...
Therapeutic Effect of Rosemary and Its Active Constituent on Nervous System Diso...
Vaidehi Bhaladhare, Sayali Ganjiwale, Sachin Dighade, ...
A Review on Pathogenesis and Treatment of Rheumatoid Arthritis ...
Sameeksha Deshmukh, Sachitanand Biradar , Sushma Panchal , ...
Comprehensive Review of Quality by Design (Qbd)...
Prajapati Rahul Vinitbhai, Devendrakumar D. Vaghela, Drashti C. Patel, Dave Kunj Narendrabhai, Shah ...
More related articles
Comprehensive Review of Quality by Design (Qbd)...
Prajapati Rahul Vinitbhai, Devendrakumar D. Vaghela, Drashti C. Patel, Dave Kunj Narendrabhai, Shah ...
Introduction Of Lord of Shiva Plant: A Review...
Prajakta Patil, Parth Palamkar, Ranjit Patil, Abhishek Patil, Pavan vilas chavan, Shivani Patil, ...
Clinical Evaluation & Synergistic Effect of CMT Anticold Drop in the Treatment o...
Leena Kumavat , Sakshi Kashid, Snehal Tuse, Sanjay Walode, ...
Comprehensive Review of Quality by Design (Qbd)...
Prajapati Rahul Vinitbhai, Devendrakumar D. Vaghela, Drashti C. Patel, Dave Kunj Narendrabhai, Shah ...
Introduction Of Lord of Shiva Plant: A Review...
Prajakta Patil, Parth Palamkar, Ranjit Patil, Abhishek Patil, Pavan vilas chavan, Shivani Patil, ...
Clinical Evaluation & Synergistic Effect of CMT Anticold Drop in the Treatment o...
Leena Kumavat , Sakshi Kashid, Snehal Tuse, Sanjay Walode, ...