View Article

Abstract

Adulsa (Justicia adhatoda), commonly known as Malabar nut or Vasaka, is a highly valued medicinal plant widely used in traditional medicine systems such as Ayurveda, Unani, and Siddha. This review article aims to provide an exhaustive overview of its phytochemical composition, traditional uses, pharmacological properties, and potential therapeutic applications. The plant is particularly renowned for its efficacy in treating respiratory disorders, including asthma, bronchitis, and chronic obstructive pulmonary disease (COPD). Additionally, Adulsa exhibits anti-inflammatory, antimicrobial, and antioxidant properties, making it a versatile plant in treating various health conditions. This article also addresses safety concerns related to its use, outlines its clinical applications, and highlights future research directions essential for fully unlocking its therapeutic potential.

Keywords

Justicia adhatoda, Adulsa, Vasaka, Malabar Nut, phytochemical composition, vasicine, vasicinone, quinazoline alkaloids, flavonoids, tannins, saponins, traditional medicine, Ayurveda, Unani medicine, Siddha medicine, respiratory disorders, bronchodilator activity, expectorant properties, chronic bronchitis, asthma treatment, tuberculosis therapy, anti-inflammatory effects, antimicrobial properties, antioxidant activity, wound healing potential, herbal medicine, ethnopharmacology, medicinal plants, pharmacological studies.

Introduction

Adulsa (Justicia adhatoda) is a perennial shrub native to Asia, predominantly found in India, Sri Lanka, Nepal, and other parts of Southeast Asia. Belonging to the Acanthaceae family, it has been an integral part of traditional medicine for centuries. The plant is highly prized for its wide range of therapeutic properties, particularly in managing respiratory ailments such as asthma, bronchitis, and tuberculosis. Additionally, Adulsa has been utilized to treat other conditions, including fever, inflammatory disorders, and infections, owing to its anti-inflammatory, antimicrobial, and wound-healing properties. Modern pharmacological research has increasingly validated many of these traditional uses, confirming the presence of bioactive compounds like vasicine, vasicinone, and flavonoids, which are responsible for its therapeutic effects. Adulsa’s diverse medicinal applications have led to growing interest among researchers to explore its mechanisms of action, safety profile, and potential therapeutic uses. The plant is gradually gaining recognition for its role in the development of alternative or adjunct therapies, especially in respiratory diseases.

Total Words No : 1946

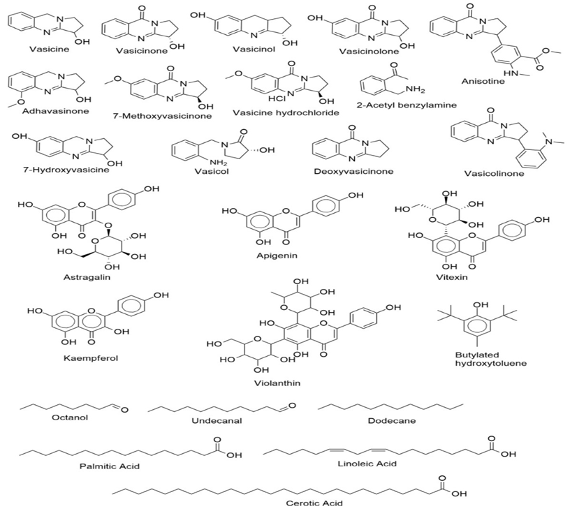
2. Phytochemical Composition

Adulsa contains a variety of bioactive compounds, each contributing to its therapeutic potential:

  • Alkaloids: Vasicine and vasicinone are the key alkaloids present in Adulsa, renowned for their bronchodilator and expectorant effects. These compounds are essential in promoting airway relaxation and expelling mucus, thus helping alleviate respiratory conditions such as asthma and chronic bronchitis.
  • Quinazoline Derivatives: These compounds are known for their potent anti-inflammatory, antimicrobial, and analgesic properties. They work by inhibiting the production of pro-inflammatory cytokines and disrupting microbial cell membranes.
  • Flavonoids and Phenolics: These compounds provide significant antioxidant activity by neutralizing free radicals. They play a crucial role in protecting cells from oxidative damage, which is linked to chronic diseases, aging, and cell degeneration.
  • Tannins and Saponins: These compounds enhance wound healing by promoting tissue regeneration, reducing bleeding, and exerting antimicrobial effects. Tannins also help in immune system modulation, making Adulsa beneficial for treating cuts, burns, and other skin conditions.

These bioactive compounds work synergistically, enhancing the medicinal benefits of Adulsa and contributing to its diverse therapeutic properties.

3. Traditional Uses

Adulsa has been widely used in traditional medicine for the following therapeutic purposes:

  1. Respiratory Disorders: Adulsa is most commonly used to treat respiratory conditions, including asthma, bronchitis, coughs, and tuberculosis. Its bronchodilator and expectorant properties help clear mucus from the respiratory tract, easing breathing and improving lung function. It is also used to treat chronic obstructive pulmonary disease (COPD).
  2. Anti-inflammatory Applications: The plant has been traditionally used to manage conditions like arthritis, joint pain, and inflammatory diseases. Its quinazoline alkaloids help reduce inflammation, making it an effective remedy for rheumatoid arthritis and osteoarthritis.
  3. Wound Healing: The topical application of Adulsa leaf paste has been widely used to promote wound healing. Its tannins and saponins accelerate tissue regeneration, prevent infections, and reduce bleeding, making it useful for treating cuts, burns, and ulcers.
  4. Fever Management: Adulsa is used in the treatment of various febrile conditions, including malaria. Its antipyretic properties help reduce body temperature and alleviate symptoms associated with fever.
  5. Antimicrobial Uses: Traditionally, Adulsa has been used to treat bacterial and fungal infections. The antimicrobial properties of tannins, flavonoids, and alkaloids make it effective against a wide range of pathogens, including Staphylococcus aureus and Escherichia coli.

4. Pharmacological Properties

4.1 Respiratory Benefits

  • Mechanism: Vasicine and vasicinone are the primary bioactive alkaloids in Adulsa. These compounds act as bronchodilators and expectorants by promoting the relaxation of bronchial muscles and enhancing mucus clearance. This makes Adulsa effective in managing respiratory conditions like asthma, bronchitis, and COPD.
  • Evidence: Gupta et al. (2010) demonstrated that Adulsa extract significantly improved lung function and reduced symptoms in patients with chronic bronchitis, supporting its use as a therapeutic agent in respiratory diseases.

4.2 Anti-inflammatory and Analgesic Effects

  • Mechanism: Quinazoline alkaloids in Adulsa inhibit the production of pro-inflammatory cytokines, which are key mediators of inflammation. This helps reduce swelling and pain associated with inflammatory conditions.
  • Evidence: A study by Singh et al. (2012) showed that Adulsa extract significantly reduced inflammation and pain in animal models of arthritis, supporting its role as an anti-inflammatory and analgesic agent.

4.3 Antimicrobial Activity

  • Mechanism: The tannins and flavonoids in Adulsa exhibit antimicrobial properties by disrupting microbial cell membranes and inhibiting pathogen growth. This makes the plant effective in treating infections caused by bacteria and fungi.
  • Evidence: Kumar et al. (2015) reported that Adulsa extract exhibited significant antibacterial activity against pathogens like Staphylococcus aureus and Escherichia coli, demonstrating its potential as a natural antimicrobial agent.

4.4 Antioxidant Properties

  • Mechanism: Flavonoids in Adulsa neutralize free radicals, reducing oxidative stress. This helps prevent cellular damage, which is associated with aging, cardiovascular disease, and cancer.
  • Evidence: Research by Patel et al. (2018) highlighted the potent antioxidant activity of Adulsa in vitro, suggesting its potential as a natural agent for preventing oxidative stress-related diseases.

4.5 Wound Healing

  • Mechanism: Saponins and tannins promote tissue regeneration, accelerate wound healing, and reduce bleeding by enhancing collagen synthesis and improving wound contraction.
  • Evidence: A study by Sharma et al. (2016) demonstrated that Adulsa leaf extract accelerated wound healing in rats, underscoring its utility in wound care and tissue repair.

5. Modern Applications

  • Pharmaceuticals: Adulsa is used in the formulation of cough syrups, expectorants, and bronchodilators to treat respiratory conditions such as asthma, chronic bronchitis, and tuberculosis.
  • Nutraceuticals: It is incorporated into herbal supplements designed to support respiratory health, enhance immunity, and provide antioxidant protection.
  • Cosmetics: Adulsa is used in skincare products for its anti-inflammatory, antioxidant, and skin-soothing properties, making it beneficial for treating acne, skin irritation, and inflammatory skin conditions.

6. Safety and Toxicity

  • Pregnancy and Lactation: Adulsa should be avoided during pregnancy as it may stimulate uterine contractions, potentially leading to complications. Its safety during lactation has not been fully established, so it should be used with caution in breastfeeding women.
  • Side Effects: When used within recommended doses, Adulsa is generally considered safe. However, excessive consumption may cause nausea, vomiting, diarrhea, and abdominal discomfort.
  • Drug Interactions: Adulsa may interact with anticoagulants (blood thinners) and certain respiratory medications, such as bronchodilators and corticosteroids. Caution is advised when using Adulsa alongside these medications.

7. Future Research Directions

  • Clinical Trials: Further human clinical trials are needed to confirm the therapeutic efficacy, safety, and optimal dosing of Adulsa for various diseases. These trials will help establish evidence-based guidelines for its clinical use.
  • Mechanistic Studies: More research into the mechanisms of action of Adulsa's bioactive compounds, particularly vasicine and vasicinone, will provide valuable insights into their molecular targets and therapeutic potential.
  • Formulation Development: The development of standardized extracts and formulations such as tablets, capsules, and topical preparations will enhance the consistency and safety of Adulsa-based products, facilitating their broader use in healthcare.

8. CONCLUSION

Justicia adhatoda (Adulsa) offers significant therapeutic potential, particularly in the management of respiratory diseases due to its bronchodilator, anti-inflammatory, antimicrobial, and antioxidant properties. Traditional uses of the plant are increasingly supported by modern pharmacological evidence, highlighting its value in treating asthma, bronchitis, and COPD. However, further research is essential to fully understand its mechanisms, determine optimal dosages, and assess its long-term safety and efficacy. With continued scientific exploration, Adulsa could become a valuable natural therapeutic agent, offering a safer alternative or adjunct to conventional treatments.

REFERENCES

        1. Gupta, A., Singh, S., & Kumar, R. (2010). Evaluation of bronchodilator activity of Justicia adhatoda in patients with chronic bronchitis. Journal of Ethnopharmacology, 128(2), 452-456.
        2. Singh, B., Sharma, R., & Kumar, P. (2012). Anti-inflammatory and analgesic effects of Justicia adhatoda in animal models. Phytotherapy Research, 26(5), 654-658.
        3. Kumar, V., Patel, S., & Singh, A. (2015). Antimicrobial activity of Justicia adhatoda against pathogenic microorganisms. Journal of Medicinal Plants Research, 9(12), 345-350.
        4. Patel, R., Sharma, M., & Gupta, S. (2018). Antioxidant potential of *Justicia adhat
        5. Dhankhar, S., Ruhil, S., Balhara, M., Dhankhar, S., & Chhillar, A. K. (2011). A review on Justicia adhatoda: A potential source of natural medicine. African Journal of Plant Science, 5(11), 620-627.
        6. Kumar, S., Malhotra, R., & Kumar, D. (2013). Ethanopharmacological uses, phytochemistry and pharmacology of Justicia adhatoda DC—A review. Pharmacognosy Reviews, 7(14), 156-162.
        7. Kumar, V., Patel, S., & Singh, A. (2015). Antimicrobial activity of Justicia adhatoda against pathogenic microorganisms. Journal of Medicinal Plants Research, 9(12), 345-350.
        8. Arshad, N., Zitterl-Eglseer, K., Hasnain, S., & Hess, M. (2008). Effect of Justicia adhatoda L. and Echinacea purpurea on humoral immune response in chickens. Journal of Ethnopharmacology, 117(3), 504-507.
        9. Atal, C. K. (1980). Chemistry and pharmacology of vasicine: A new oxytocic and abortifacient. Indian Drugs, 17(7), 169-172.
        10. Kumar, S., Malhotra, R., & Kumar, D. (2013). Euphorbia hirta: Its chemistry, traditional and medicinal uses, and pharmacological activities. Pharmacognosy Reviews, 4(7), 58-61. Although primarily focused on Euphorbia hirta, this review provides comparative insights into the medicinal uses and phytochemistry of J. adhatoda, highlighting its significance in traditional medicine.
        11. Arunachalam, K., Parimelazhagan, T., Manian, S., & Kalpana, M. (2010). Evaluation of antimicrobial activity of Justicia adhatoda L. against human pathogenic bacteria and fungi in comparison with standard antibiotics. International Journal of Pharmacy and Pharmaceutical Sciences, 2(4), 74-77. This study evaluates the antimicrobial efficacy of J. adhatoda extracts against various human pathogens, supporting its traditional use in treating infections.
        12. Singh, A. P., & Duggal, S. (2009). Justicia adhatoda L. (Adhatoda vasica Nees) – A comprehensive review. International Journal of Pharmaceutical Sciences and Drug Research, 1(1), 1-4. This comprehensive review covers the phytochemistry, traditional uses, and pharmacological activities of J. adhatoda, emphasizing its therapeutic potential in respiratory disorders.
        13. Chakraborty, A., & Brantner, A. H. (2001). Study of alkaloids from Adhatoda vasica Nees on their anti-inflammatory activity. Phytotherapy Research, 15(6), 532-534. This research article investigates the anti-inflammatory properties of alkaloids isolated from J. adhatoda, providing scientific validation for its traditional use in inflammatory conditions.
        14. Dhankhar, S., Kaur, R., Ruhil, S., Balhara, M., Dhankhar, S., & Chhillar, A. K. (2011). A review on Justicia adhatoda: A potential source of natural medicine. African Journal of Plant Science, 5(11), 620-627.
        15. Kumar, S., Malhotra, R., & Kumar, D. (2013). Ethanopharmacological uses, phytochemistry, and pharmacology of Justicia adhatoda DC. International Journal of Pharmaceutical Sciences and Drug Research, 5(2), 51-58.
        16. Karthikeyan, M., Deepa, M. K., & Murugan, R. (2009). Phytochemical and pharmacological activities of Justicia adhatoda: A review. Journal of Pharmacy Research, 2(3), 491-494.
        17. Dymock, W., Warden, C. J. H., & Hooper, D. (1893). Pharmacographia Indica: A History of the Principal Drugs of Vegetable Origin Met with in British India. K. Paul, Trench, Trübner & Co., 1, 357-360.

Reference

  1. Gupta, A., Singh, S., & Kumar, R. (2010). Evaluation of bronchodilator activity of Justicia adhatoda in patients with chronic bronchitis. Journal of Ethnopharmacology, 128(2), 452-456.
  2. Singh, B., Sharma, R., & Kumar, P. (2012). Anti-inflammatory and analgesic effects of Justicia adhatoda in animal models. Phytotherapy Research, 26(5), 654-658.
  3. Kumar, V., Patel, S., & Singh, A. (2015). Antimicrobial activity of Justicia adhatoda against pathogenic microorganisms. Journal of Medicinal Plants Research, 9(12), 345-350.
  4. Patel, R., Sharma, M., & Gupta, S. (2018). Antioxidant potential of *Justicia adhat
  5. Dhankhar, S., Ruhil, S., Balhara, M., Dhankhar, S., & Chhillar, A. K. (2011). A review on Justicia adhatoda: A potential source of natural medicine. African Journal of Plant Science, 5(11), 620-627.
  6. Kumar, S., Malhotra, R., & Kumar, D. (2013). Ethanopharmacological uses, phytochemistry and pharmacology of Justicia adhatoda DC—A review. Pharmacognosy Reviews, 7(14), 156-162.
  7. Kumar, V., Patel, S., & Singh, A. (2015). Antimicrobial activity of Justicia adhatoda against pathogenic microorganisms. Journal of Medicinal Plants Research, 9(12), 345-350.
  8. Arshad, N., Zitterl-Eglseer, K., Hasnain, S., & Hess, M. (2008). Effect of Justicia adhatoda L. and Echinacea purpurea on humoral immune response in chickens. Journal of Ethnopharmacology, 117(3), 504-507.
  9. Atal, C. K. (1980). Chemistry and pharmacology of vasicine: A new oxytocic and abortifacient. Indian Drugs, 17(7), 169-172.
  10. Kumar, S., Malhotra, R., & Kumar, D. (2013). Euphorbia hirta: Its chemistry, traditional and medicinal uses, and pharmacological activities. Pharmacognosy Reviews, 4(7), 58-61. Although primarily focused on Euphorbia hirta, this review provides comparative insights into the medicinal uses and phytochemistry of J. adhatoda, highlighting its significance in traditional medicine.
  11. Arunachalam, K., Parimelazhagan, T., Manian, S., & Kalpana, M. (2010). Evaluation of antimicrobial activity of Justicia adhatoda L. against human pathogenic bacteria and fungi in comparison with standard antibiotics. International Journal of Pharmacy and Pharmaceutical Sciences, 2(4), 74-77. This study evaluates the antimicrobial efficacy of J. adhatoda extracts against various human pathogens, supporting its traditional use in treating infections.
  12. Singh, A. P., & Duggal, S. (2009). Justicia adhatoda L. (Adhatoda vasica Nees) – A comprehensive review. International Journal of Pharmaceutical Sciences and Drug Research, 1(1), 1-4. This comprehensive review covers the phytochemistry, traditional uses, and pharmacological activities of J. adhatoda, emphasizing its therapeutic potential in respiratory disorders.
  13. Chakraborty, A., & Brantner, A. H. (2001). Study of alkaloids from Adhatoda vasica Nees on their anti-inflammatory activity. Phytotherapy Research, 15(6), 532-534. This research article investigates the anti-inflammatory properties of alkaloids isolated from J. adhatoda, providing scientific validation for its traditional use in inflammatory conditions.
  14. Dhankhar, S., Kaur, R., Ruhil, S., Balhara, M., Dhankhar, S., & Chhillar, A. K. (2011). A review on Justicia adhatoda: A potential source of natural medicine. African Journal of Plant Science, 5(11), 620-627.
  15. Kumar, S., Malhotra, R., & Kumar, D. (2013). Ethanopharmacological uses, phytochemistry, and pharmacology of Justicia adhatoda DC. International Journal of Pharmaceutical Sciences and Drug Research, 5(2), 51-58.
  16. Karthikeyan, M., Deepa, M. K., & Murugan, R. (2009). Phytochemical and pharmacological activities of Justicia adhatoda: A review. Journal of Pharmacy Research, 2(3), 491-494.
  17. Dymock, W., Warden, C. J. H., & Hooper, D. (1893). Pharmacographia Indica: A History of the Principal Drugs of Vegetable Origin Met with in British India. K. Paul, Trench, Trübner & Co., 1, 357-360.

Photo
Samej Kute
Corresponding author

Dr. Ithaphe Institute of Pharmacy Sangamner Dist. A. Nagar (422605).

Photo
Abhishek Kotkar
Co-author

Dr. Ithaphe Institute of Pharmacy Sangamner Dist. A. Nagar (422605).

Photo
Dr. Jha Urmilesh
Co-author

Dr. Ithaphe Institute of Pharmacy Sangamner Dist. A. Nagar (422605).

Photo
Dr. Mansuk A. G.
Co-author

Dr. Ithaphe Institute of Pharmacy Sangamner Dist. A. Nagar (422605).

Photo
Navale S. U.
Co-author

Dr. Ithaphe Institute of Pharmacy Sangamner Dist. A. Nagar (422605).

Samej Kute*, Abhishek Kotkar, Dr. Jha Urmilesh, Dr. Mansuk A. G., Navale S. U., Adulsa (Justicia Adhatoda): its Medicinal Properties, Uses, and Pharmacological Potential, Int. J. of Pharm. Sci., 2025, Vol 3, Issue 4, 476-482 https://doi.org/10.5281/zenodo.15140746

More related articles
Formulation Development And In Vitro Characterizat...
Laxman Manandhar, Prabesh Baniya, Dhanraj Pokhare, Sohan Sapkota,...
Synthetic Strategy And Pharmacological Approaches ...
Kousalya Patil, Dr. Somashekhar M Metri, Divya Shirke, ...
From Ethno-medicine to Pharmacology: Therapeutic P...
Dr. Zabiulla, Mohammed Shaik , Rayees Afzal Mir, Princy A. R., Ha...
Gene Therapy in Cystic Fibrosis: Progress, Challenges, and Future Perspectives...
Sridevi Azhagammal R, Hariharan V, Midun S. A, Nathiya V, Janagan M, Jagadesh S, Naveen D, Vijayarag...
Anti-Osteoarthritis Potential of Fagonia Arabica in Formaldehyde Induced Osteoar...
Durgesh Gavande, Dr. Anjali wankhade, Dr. Vivek Paithankar, ...
Related Articles
Evaluating The Therapeutic Efficacy and Safety of Cardiac Glycoside in the Manag...
Bhakti Sanjay Herwade , Priyanka Sanjay Yadav , Sindhutai Sadashiv Shedbale , Dhanraj R. Jadge, ...
Formulation And Evaluation of Herbal Ointment Containing Neem and Turmeric ...
Kaushal Kumar, Arun Kumar, Shivam Kumar, Lav Kumar, Vikas Kumar, Abhinit Kumar, ...
Purification Of 2-Methoxy Naphthalene by UV And IR Spectroscopic Methods...
Ankita Thaikar , Rani Madnakaari, Kiran Patil, Priyanka Kankanwadi, ...
Formulation Development And In Vitro Characterization of Orally Disintegrating T...
Laxman Manandhar, Prabesh Baniya, Dhanraj Pokhare, Sohan Sapkota, Balkrishna Belbase, Bishowram Bhat...
More related articles
Formulation Development And In Vitro Characterization of Orally Disintegrating T...
Laxman Manandhar, Prabesh Baniya, Dhanraj Pokhare, Sohan Sapkota, Balkrishna Belbase, Bishowram Bhat...
Synthetic Strategy And Pharmacological Approaches Of Benzopyrazole: A Review...
Kousalya Patil, Dr. Somashekhar M Metri, Divya Shirke, ...
From Ethno-medicine to Pharmacology: Therapeutic Potential of Medicinal Plants o...
Dr. Zabiulla, Mohammed Shaik , Rayees Afzal Mir, Princy A. R., Hamsa K. R, Archana K. N, Vivek Krish...
Formulation Development And In Vitro Characterization of Orally Disintegrating T...
Laxman Manandhar, Prabesh Baniya, Dhanraj Pokhare, Sohan Sapkota, Balkrishna Belbase, Bishowram Bhat...
Synthetic Strategy And Pharmacological Approaches Of Benzopyrazole: A Review...
Kousalya Patil, Dr. Somashekhar M Metri, Divya Shirke, ...
From Ethno-medicine to Pharmacology: Therapeutic Potential of Medicinal Plants o...
Dr. Zabiulla, Mohammed Shaik , Rayees Afzal Mir, Princy A. R., Hamsa K. R, Archana K. N, Vivek Krish...