View Article

Abstract

Heterocyclic compounds, especially imidazole-based structures, play a pivotal role in medicinal chemistry due to their broad spectrum of pharmacological effects and clinical significance. Imidazole is a five-membered ring containing two nitrogen atoms at positions 1 and 3, which contribute to its distinctive electronic characteristics and capacity for hydrogen bonding. These features make imidazole a flexible and functional scaffold, commonly found in numerous bioactive compounds and several approved pharmaceuticals. Imidazole derivatives have been widely investigated for their diverse therapeutic potentials, including anticancer, antimicrobial, anti-inflammatory, antidiabetic, and antiviral activities. Numerous synthetic methodologies have been devised to fine-tune the imidazole framework, aiming to enhance biological efficacy and improve drug-likeness. This review presents an in-depth overview of recent developments in the synthesis and medicinal applications of imidazole derivatives, emphasizing their contributions to contemporary drug discovery. Particular focus is placed on structure-activity relationships (SARs) and the future potential of these compounds in therapeutic advancements.

Keywords

Imidazole, Anticancer, Antimicrobial, Anti-inflammatory, Antidiabetic, Antiviral, Amphoteric, Physicochemical, Pharmacokinetic

Introduction

Imidazole [1]is a planar, five-membered heterocyclic compound with the molecular formula C?H?N?, composed of alternating carbon and nitrogen atoms, with nitrogen atoms at positions 1 and 3 [1]. It appears as a colorless crystalline solid, with a melting point of 89–91?°C, boiling point of 256–257?°C, a density of 1.23 g/mL, and a molecular weight of 68.08 g/mol. Due to its amphoteric nature, imidazole is readily soluble in water and other polar solvents, allowing it to act as both a Brønsted acid and base [2]. It belongs to the diazole subclass of alkaloids [3,4] and has long served as a foundational structure in medicinal chemistry. As a privileged scaffold in pharmaceutical design, imidazole and its derivatives have received considerable attention because of their extensive pharmacological profiles. Their therapeutic potential is largely attributed to the unique electronic characteristics of the imidazole ring, which enables hydrogen bonding and π–π stacking interactions. These properties facilitate strong binding with various biological targets, including enzymes, receptors, and nucleic acids [5]. Such interactions underpin the biological activity of numerous imidazole-based compounds, which exhibit diverse pharmacological effects such as anticancer [5], antimicrobial [6], anti-inflammatory [7], and antidiabetic activities [8]. Recent investigations have also highlighted the potential of imidazole derivatives as enzyme inhibitors [9], ion channel modulators, and neuroprotective agents for the treatment of neurodegenerative diseases [10]. Beyond therapeutic applications, imidazoles are utilized in agrochemicals as plant protectants [11] and in industrial processes as corrosion inhibitors [12]. Imidazole derivatives also benefit from a high degree of synthetic flexibility, supported by numerous well-established methodologies. This synthetic versatility enables precise modulation of their physicochemical and pharmacokinetic properties to optimize bioactivity and therapeutic indices. Structural modifications of the imidazole core have been widely employed to enhance biological performance. Furthermore, incorporating the imidazole ring into fused heterocyclic frameworks—such as benzimidazoles—has further expanded their therapeutic potential by improving biological selectivity and potency. This review explores the latest developments in the synthesis and biomedical applications of imidazole derivatives, with emphasis on their contributions to novel drug discovery. Their inherent chemical stability and modifiability make imidazole-based scaffolds especially attractive for continued development in both pharmaceutical and industrial contexts. 

Occurrence:

Imidazole derivatives occur naturally in both the plant and animal kingdoms. One such example is histidine [2], an amino acid commonly found in proteins that plays a key role in enzymatic active sites, proton transfer, and also serves as a precursor for biologically significant molecules [13]. Histamine [3], formed through the decarboxylation of histidine, functions as a neurotransmitter and is crucial in mediating immune responses, especially in allergic reactions [14]. Another biologically important compound is biotin (vitamin B7, 4), which contains an imidazolidone ring—a reduced variant of imidazole—and acts as a coenzyme in carboxylation reactions central to fatty acid synthesis and gluconeogenesis [15].Purines, such as adenine and guanine (5–6), feature a fused imidazole-pyrimidine structure and are fundamental to genetic information storage and transmission, as well as cellular energy metabolism through molecules like ATP [16]. Hydantoin (7), naturally occurring in certain plants and microbes, is a cyclic imidazolidine-2,4-dione that serves as a biosynthetic intermediate for amino acid formation [17]. Carnosine (8), present in the brain and muscle tissues of animals, functions as an antioxidant and pH buffer, helping to mitigate oxidative stress and maintain muscle function [18].

Methods of Synthesis:

Imidazoles are synthesized through various synthetic methods, offering versatile routes to produce biologically and pharmaceutically significant derivatives. These synthetic methodologies enable extensive structural modifications, rendering imidazoles highly versatile intermediates for the development of pharmacologically active agents, agrochemicals, and bioactive molecules. Their functional diversity facilitates broad applications in medicinal chemistry, organic synthesis, and material science. Biologically and medicinally important synthetic routes are discussed here

Debus-Radziszewski Synthesis19:

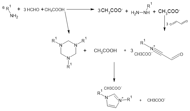
The first synthetic imidazole, known as glyoxaline, was prepared in 1858 by the German chemist Heinrich Debus. This classical synthetic route involves the condensation of a 1,2-dicarbonyl compound (such as glyoxal), ammonia or ammonium salts, and an aldehyde under either acidic or basic conditions. The reaction proceeds through the formation of a Schiff base, followed by cyclization and dehydrogenation, ultimately yielding imidazole rings. Owing to its straightforward procedure, broad applicability, and efficient synthesis of diverse imidazole derivatives, this method remains widely employed in medicinal chemistry. (Scheme-1)

Scheme-1

Radziszewski Synthesis20-21:

The Radziszewski synthesis is an adapted version of the classical Debus-Radziszewski method, tailored for the synthesis of substituted imidazoles. In this approach, an α-hydroxyketone, ammonia (or a primary amine), and an aldehyde serve as the starting materials. The reaction follows a similar pathway of condensation, cyclization, and dehydrogenation as in the original method. However, the incorporation of an α-hydroxyketone enhances the structural flexibility, enabling the efficient introduction of varied substituents onto the imidazole ring. (Scheme-2).

Scheme-2

Van Leusen Imidazole Synthesis22-23:

The Van Leusen imidazole synthesis is a highly adaptable method for producing imidazole derivatives, utilizing the reaction between tosylmethyl isocyanides (TosMICs), aldehydes, and primary amines. In this process, TosMIC serves as a crucial building block that enables the efficient construction of the imidazole ring. The mechanism involves a nucleophilic addition of the aldehyde to TosMIC, followed by condensation with a primary amine, ultimately leading to cyclization and formation of the imidazole core. ( Scheme-3) This strategy is especially valuable in medicinal chemistry, as it allows for the incorporation of diverse substituents, facilitating the synthesis of structurally varied and potentially bioactive imidazole analogs (Scheme-3).

Scheme-3

1a: R1 = indol-3-yl, R2 = CH3 , R3 = H

1b: R1 = 5-methoxyindol-3-yl, R2 = CH3, R3 = H

Groebke-Blackburn-Bienaymé (GBB) Synthesis26:

The Groebke-Blackburn-Bienaymé (GBB) synthesis is a powerful and efficient multicomponent reaction that facilitates the construction of imidazole derivatives through the condensation of an aldehyde, an isocyanide, and an amidine. Conducted as a one-pot reaction, the process begins with the formation of an intermediate between the aldehyde and isocyanide, which then reacts with the amidine to yield a variety of substituted imidazoles. This method is especially prized in synthetic organic chemistry for its simplicity, atom economy, and ability to produce structurally diverse imidazole frameworks in a single step. The resulting compounds have widespread relevance in pharmaceutical development and materials science, underscoring the broad utility of the GBB approach in generating bioactive imidazole analogs. (See Scheme-4).

Scheme-4

Microwave-Assisted Synthesis27:

In recent years, microwave-assisted synthesis has become popular for preparing imidazoles due to the rapid reaction times and increased yields. Microwave irradiation is used to accelerate conventional imidazole-forming reactions, such as the Debus-Radziszewski synthesis or Biginelli-like condensations (Scheme-5).

Scheme-5

Metal-Catalyzed Cyclization28-29:

Metal-catalyzed cyclization is a powerful and widely used strategy in organic synthesis for constructing imidazole rings from α-aminonitriles or other nitrogen-rich precursors, often in combination with carbon-based substrates. Transition metal catalysts—such as copper or palladium—are essential in these reactions, as they enhance both the rate and selectivity of the cyclization process. These metals facilitate substrate activation, enabling key nucleophilic attacks and rearrangement steps that lead to ring closure. This approach is especially valued for its broad functional group tolerance and ability to yield structurally diverse imidazoles under mild conditions. Owing to its efficiency and versatility, metal-catalyzed cyclization plays a critical role in the synthesis of biologically active molecules and advanced functional materials, making it a cornerstone technique in modern heterocyclic chemistry. 

Imidazole as a Privileged Structure in Medicinal Chemistry:

Imidazole is widely regarded as a privileged scaffold in medicinal chemistry due to its significant roles in various biological functions and its presence in many pharmacologically active compounds [30]. This five-membered aromatic heterocycle is a fundamental part of the amino acid histidine, where it plays a central role in enzymatic catalysis, often acting as a proton donor or acceptor in biochemical reactions. Its participation in catalytic mechanisms is crucial for the activity of numerous enzymes, particularly those involved in hydrolytic and redox processes [31].In addition, imidazole serves as a biosynthetic precursor to histamine, a critical neurotransmitter and immune mediator involved in processes such as inflammation, allergic responses, and gastric acid secretion. Its structural similarity to purine nucleotides further emphasizes its biological relevance, as it is a core component of purine bases like adenine and guanine, thereby contributing to the formation of DNA and RNA and supporting vital functions like genetic information transfer and cellular metabolism [31].Imidazole’s unique physicochemical characteristics—including its amphoteric nature, aromaticity, and ability to participate in hydrogen bonding and π-π stacking interactions—make it a highly adaptable scaffold in drug development [32]. These features enable precise tuning of molecular interactions with diverse biological targets, including enzymes, receptors, and ion channels. Imidazole-containing compounds have been successfully developed to modulate multiple biological pathways and are utilized in treating a broad range of conditions such as cancer, infections, inflammatory diseases, and neurological disorders. This structural versatility reaffirms imidazole's status as a privileged framework for designing novel therapeutic agents with broad-spectrum bioactivity and enhanced pharmacokinetic properties.

Imidazole as a Building Block in Bioactive Molecules and Pharmaceuticals:

Imidazole is widely acknowledged as a key structural element in the design of bioactive compounds, owing to its distinctive chemical properties that support selective molecular recognition and effective interaction with a wide range of biological targets. It is commonly found across numerous pharmacological agents from diverse therapeutic categories, including antibacterial, anti-inflammatory, antidiabetic, antiparasitic, antituberculosis, antifungal, antioxidant, antitumor, antimalarial, anticancer, and antidepressant drugs [33]. This broad applicability arises not only from its role as a pharmacophore but also from its function as acentral scaffold, which helps to orient functional groups in space to enhance auxophoric and pharmacophoric interactions, thereby optimizing biological activity. Additionally, the imidazole ring is a core structural motif in many biologically active natural products, underscoring its relevance in drug development [34]. Its amphoteric character and ability to engage in hydrogen bonding and π–π stacking interactions significantly contribute to its binding affinity and specificity toward enzymes and receptors, thereby broadening its therapeutic potential. Apart from its function as a pharmacophore, imidazole is also employed as a bioisosteric replacement for carboxamide groups in drug design. This substitution allows for the creation of small peptidomimetic molecules that can mimic both cis and trans peptide conformations. Such modifications are crucial for improving the metabolic stability of drug candidates by replacing amide bonds, which are often prone to enzymatic degradation, with more stable imidazole structures.

Antimicrobial Activity35-36:

Imidazole derivatives have attracted considerable interest as promising antimicrobial agents due to their broad-spectrum efficacy against a wide range of pathogenic microorganisms. Bacterial and fungal infections remain significant global health concerns, prompting the need for new and more effective therapeutic options. Recent investigations have shown that imidazole-based compounds possess strong antimicrobial properties, establishing them as important candidates in antimicrobial drug discovery. For example, Qiu et al. [35] synthesized a series of novel imidazole derivatives and assessed their antibacterial activity against Staphylococcus aureus, Escherichia coli, and Pseudomonas aeruginosa. Several of the tested compounds demonstrated superior antibacterial efficacy compared to standard antibiotics. Similarly, Zhang et al. [36] developed imidazole-fused derivatives that exhibited notable antifungal activity against Candida albicans and Aspergillus niger, indicating their potential for treating fungal infections. Clinically, several well-known antimicrobial drugs are based on the imidazole scaffold. Metronidazole and Benzimidazole is widely used for the treatment of infections caused by anaerobic bacteria and protozoa [37], while fluconazole serves as a potent antifungal agent effective against various yeast infections. These examples highlight the therapeutic relevance of imidazole-containing molecules in combating infectious diseases and emphasize the importance of continued research to develop novel and more potent antimicrobial agents based on the imidazole framework.

Anticancer Activity37-41:

Cancer remains a major global health burden, driving the ongoing search for effective and targeted therapeutic agents. Imidazole derivatives have shown considerable promise in oncology due to their capacity to interact with diverse molecular targets involved in cancer development and progression. These compounds exert anticancer effects through various mechanisms, including the inhibition of key enzymes, modulation of intracellular signaling pathways, and induction of apoptosis in malignant cells. A growing body of research has explored the synthesis and biological evaluation of imidazole-based molecules for their anticancer potential. For instance, metronidazole, although primarily known for its use in treating protozoal infections, has demonstrated anticancer activity, particularly against colorectal cancer cells [37]. Anastrozole, an aromatase inhibitor widely used in the management of hormone-sensitive breast cancer, incorporates an imidazole ring that plays a critical role in its pharmacological function [38]. Voriconazole, commonly prescribed as an antifungal agent, has also been investigated for its therapeutic potential in hematological cancers [39]. Similarly, clotrimazole, another imidazole-based antifungal, has shown the ability to suppress cancer cell proliferation and is being evaluated for its utility in anticancer drug development [40].

Antiviral Activity42-43:

Imidazole derivatives have gained significant attention in the field of antiviral drug development due to their ability to interfere with viral replication and their unique mechanism of action. These compounds are capable of selectively inhibiting virus-specific replication events, thereby offering a targeted approach to antiviral therapy. One prominent example is ribavirin [15], an imidazole nucleoside analog used in the treatment of chronic hepatitis C and respiratory syncytial virus (RSV) infections. Ribavirin exerts its antiviral effects by inhibiting viral RNA synthesis and has been shown to enhance the immune response against viral infections (Rosenberg et al., 2020). Another notable imidazole-containing antiviral agent is ketoconazole [16], primarily an antifungal medication, which has demonstrated antiviral activity against various viruses, including the hepatitis C virus. Ketoconazole inhibits the replication of the virus by disrupting the synthesis of ergosterol, which is critical for viral replication and assembly (Liu et al., 2021). The ongoing research into imidazole derivatives highlights their potential as effective antiviral agents, paving the way for new therapeutic strategies against viral infections.

 Anti-HIV Activity46-47:

The ongoing battle against HIV (Human Immunodeficiency Virus) has prompted extensive research into the development of effective antiviral therapies. Despite the lack of a complete cure for HIV/AIDS, current treatments employ various classes of drugs, including nucleoside/nucleotide reverse transcriptase inhibitors (NRTIs), non-nucleoside reverse transcriptase inhibitors (NNRTIs), protease inhibitors (PIs), entry inhibitors, co-receptor inhibitors (CRIs), and integrase inhibitors (INIs). Imidazole derivatives have emerged as promising candidates in the fight against HIV. For instance, 4-nitro imidazole (19), when conjugated with benzothiazole, demonstrated significant in vitro anti-HIV activity against both HIV-1 and HIV-2 strains in human lymphocyte (MT-4) cells, as reported by Saud et al. (2006). This study highlights the potential of imidazole-containing compounds as effective anti-HIV agents, showcasing their ability to interfere with viral replication and propagation. Additionally, azidothymidine (20), a well-known nucleoside reverse transcriptase inhibitor, contains an imidazole moiety that enhances its antiviral properties. AZT has played a crucial role in the treatment of HIV by inhibiting reverse transcriptase, thereby preventing the virus from replicating and allowing for improved patient outcomes.

 Antimalarial Activity50-51:

Malaria continues to pose a significant global health challenge, particularly in tropical and subtropical regions, due to its causative agents from the Plasmodium genus, with Plasmodium falciparum being the most dangerous strain. The emergence of resistance against conventional antimalarial drugs such as chloroquine and mefloquine necessitates the exploration of new therapeutic options, including imidazole derivatives. Recent studies have highlighted the potential of imidazole-containing compounds as effective antimalarial agents. For instance, Wang et al. synthesized a series of imidazole derivatives and evaluated their antimalarial activity against Plasmodium falciparum. The results indicated that certain derivatives exhibited potent activity, showcasing imidazole's versatility in drug design. Additionally, Kumar et al. developed novel imidazole-based compounds and investigated their effects on various Plasmodium strains. Their findings revealed significant antimalarial activity, suggesting that imidazole derivatives could serve as promising candidates for further drug development against malaria.

Antitubercular Activity48-49:

Tuberculosis (TB), primarily caused by Mycobacterium tuberculosis, remains a significant global health challenge, particularly affecting individuals with weakened immune systems, such as those with HIV/AIDS. The search for effective antitubercular agents has led to the exploration of various chemical classes, including imidazole derivatives, which have shown promise in combating TB. Recent studies have highlighted the potential of imidazole-containing compounds in exhibiting antitubercular activity. For instance, Landge et al. (2015) synthesized 2-substituted imidazole derivatives that demonstrated potent activity against M. tuberculosis through the specific inhibition of decaprenyl phosphoryl-beta-D-ribose-2’-oxidase (DprE1), an enzyme critical for mycobacterial cell wall biosynthesis. This highlights the importance of targeting key biosynthetic pathways in the development of new antitubercular therapies. Additionally, Sangamesh A. Patel et al. explored the antitubercular properties of Co(I), Ni (II), and Mn (III) metal complexes that exhibited significant activity against the M. tuberculosis strain H37Rv, indicating that metal coordination may enhance the therapeutic potential of imidazole derivatives. Furthermore, Huang et al. synthesized 2-methyl imidazole analogs that displayed notable anti-TB properties, suggesting structural modifications can optimize activity. Lastly, Palmer et al. reported on an imidazole derivative that not only exhibited potent antitubercular activity but also showed antimicrobial effects against both gram-positive and gram-negative bacteria. These findings underscore the versatility and potential of imidazole derivatives as a valuable resource in the development of effective antitubercular agents.

Antidiabetic Activity52-53:

Diabetes mellitus, characterized by chronic hyperglycemia, remains a global health challenge with millions affected worldwide. As the incidence of diabetes rises, there is an increasing need for novel therapeutic agents to help regulate blood glucose levels effectively. Imidazole derivatives have emerged as promising compounds in the treatment of diabetes due to their diverse biological activities, including their role in modulating glucose metabolism. For instance, Huang et al. synthesized imidazole-based derivatives and assessed their potential as protein tyrosine phosphatase 1B (PTP1B) inhibitors. PTP1B is a critical negative regulator of insulin signaling, and its inhibition could enhance insulin sensitivity. The study found that certain imidazole derivatives displayed significant in vitro inhibitory activity and showed potential as antidiabetic agents. Similarly, Patel et al. developed imidazole-containing thiazolidinedione derivatives and evaluated their activity as peroxisome proliferator-activated receptor-gamma (PPAR-γ) agonists. These compounds were designed to improve insulin sensitivity and were found to exhibit hypoglycemic effects in both in vitro and in vivo studies, comparable to standard drugs like pioglitazone.

Antidepressant Activity54-55:

Depression is a debilitating mental health condition that affects millions globally, characterized by symptoms such as persistent sadness, loss of interest, fatigue, and even suicidal ideation. The search for new antidepressant agents has led to the exploration of various chemical scaffolds, including imidazole derivatives, due to their ability to interact with neurotransmitter systems involved in mood regulation, particularly serotonin and norepinephrine. Recent studies have demonstrated the potential of imidazole-based compounds as promising candidates for antidepressant therapies. Chen et al. synthesized imidazole derivatives and evaluated their activity as selective serotonin reuptake inhibitors (SSRIs). These compounds were found to have a strong binding affinity to serotonin transporters, effectively increasing serotonin levels in the brain, a key target in the treatment of depression. The in vitro studies showed significant inhibitory activity, with promising antidepressant-like effects observed in animal models. Additionally, Guo et al. developed imidazole-containing compounds with dual serotonin and norepinephrine reuptake inhibition activity, mimicking the mechanism of action of established antidepressants like venlafaxine. These imidazole derivatives exhibited enhanced antidepressant efficacy with fewer side effects in preclinical trials, making them potential candidates for further development.

Anti-Alzheimer Activity56-57:

Alzheimer’s disease (AD) is a progressive neurodegenerative disorder that leads to cognitive decline, memory loss, and impaired communication abilities. One of the central hallmarks of Alzheimer’s is the accumulation of amyloid-beta plaques in the brain, leading to neuronal dysfunction. Imidazole derivatives have gained attention in recent years as promising candidates for Alzheimer's treatment due to their diverse biological activities, including their potential to inhibit amyloid aggregation and target key enzymes involved in the disease. Recent studies have explored imidazole-based compounds for their ability to inhibit acetylcholinesterase (AChE), a crucial enzyme that breaks down acetylcholine, a neurotransmitter essential for memory and learning. Patel et al. synthesized imidazole derivatives designed to inhibit AChE and evaluated their activity in vitro. The compounds exhibited potent inhibition of AChE, potentially improving cholinergic function, which is typically impaired in AD patients. Additionally, Sharma et al. developed imidazole derivatives aimed at reducing amyloid-beta aggregation, one of the primary contributors to Alzheimer's pathology. These compounds not only inhibited the formation of amyloid plaques but also showed antioxidant properties, which could protect neurons from oxidative stress, another factor implicated in AD progression.

CONCLUSION:

Imidazole derivatives are a significant class of compounds in medicinal chemistry, known for their broad biological activities and remarkable structural flexibility. The nitrogen-rich imidazole core enables these compounds to interact with a wide range of biological targets, making them highly effective in various therapeutic applications. They exhibit strong antimicrobial, antiviral, and antitubercular activities, playing a critical role in combating infectious diseases. Additionally, imidazole derivatives have shown notable anticancer effects, working through mechanisms such as the inhibition of key enzymes like topoisomerase and the NEDD8-activating enzyme, underscoring their potential in cancer treatment. Their anti-inflammatory and antioxidant properties further enhance their therapeutic value in managing inflammation and reducing oxidative stress. In the context of neurodegenerative diseases, particularly Alzheimer's disease, imidazole-based compounds have demonstrated potential in preventing amyloid plaque formation and modulating acetylcholinesterase activity, offering neuroprotective benefits. The pharmacophoric nature of imidazole, combined with its ability to undergo chemical modifications, ensures its continued importance in drug development. Ongoing research into imidazole derivatives is expected to lead to the discovery of novel compounds with enhanced efficacy and specificity, addressing critical medical challenges across multiple therapeutic fields.

REFERENCES

  1. Carey FA, Sundberg RJ. Advanced Organic Chemistry: Part A: Structure and Mechanisms. 5th ed. New York: Springer; 2007.
  2. Katritzky AR, Pozharskii AF. Handbook of Heterocyclic Chemistry. 2nd ed. Amsterdam: Elsevier; 2000.
  3. Brown DJ. The Chemistry of Heterocyclic Compounds: The Imidazoles. Vol. 45. New York: John Wiley and Sons; 2000.
  4. Bansal RK. Heterocyclic Chemistry. 4th ed. New Delhi: New Age International Publishers; 2010.
  5. Kumar R, Singh P, Sharma K. Recent advances in imidazole derivatives as potential anticancer agents. J Mol Struct. 2023;1302:127923.
  6. Singh V, Gupta A, Mishra A. Imidazole-based antimicrobials: Synthesis, characterization, and biological evaluation. Bioorg Chem. 2022;122:105641.
  7. Sharma N, Verma S, Chauhan M. Anti-inflammatory potential of imidazole derivatives: Mechanistic insights and therapeutic perspectives. Eur J Med Chem. 2021;215:113265.
  8. Patel R, Joshi D, Mehta P. Imidazole derivatives as novel antidiabetic agents: An overview of recent advances. J Chem Biol Drug Des. 2022;100(2):215-223.
  9. Khan A, Patel R, Joshi M. Imidazole-based inhibitors of metalloenzymes: Synthesis and mechanistic insights. Bioinorg Chem Appl. 2022;2022:9837602.
  10. Li Z, Wang Y, Zhang H. Novel imidazole derivatives as potential neuroprotective agents for Alzheimer’s disease. ACS Chem Neurosci. 2023;14(1):22-32.
  11. Deshmukh S, Patil V, Kulkarni M. Imidazole derivatives as plant protectants: Recent advances and future perspectives. J Agric Food Chem. 2021;69(18):5123-5140.
  12. Quraishi MA, Sardar R, Jamal D. Corrosion inhibition of mild steel in acid solutions by some aromatic hydrazides. Mater Chem Phys. 2001;71(3):309-313.
  13. Nelson DL, Cox MM. Lehninger Principles of Biochemistry. 7th ed. New York: W.H. Freeman; 2017.
  14. Hough LB. Histamine. In: Siegel GJ, Agranoff BW, Albers RW, editors. Basic Neurochemistry: Molecular, Cellular and Medical Aspects. 6th ed. Philadelphia: Lippincott-Raven; 2001.
  15. Zempleni J, Rucker RB, McCormick DB, Suttie JW. Biotin: Chemistry, Physiology, and Therapeutic Uses. New York: Springer; 2009.
  16. Watson JD, et al. Molecular Biology of the Gene. 6th ed. San Francisco: Pearson Education; 2008.
  17. Kanerva LT, et al. Natural occurrence of hydantoin derivatives. Bioorg Med Chem Lett. 1999;9(19):2817-2820.
  18. Boldyrev AA, et al. Carnosine as a natural antioxidant and buffer in muscle. J Muscle Res Cell Motil. 2013;34(6):203-210.
  19. Brown DJ, Torrence PF. Imidazole and Benzimidazole Synthesis. New York: Springer; 1985.
  20. Van Leusen AM, Wildeman J, Oldenziel OH. Tosylmethyl isocyanide in organic synthesis. I. Synthesis of imidazoles. J Org Chem. 1977;42(6):1153-1159.
  21. Wang Z. Comprehensive Organic Name Reactions and Reagents. Vol. 1. New York: Wiley; 2010.
  22. Kappe CO. Biologically active di- and trihydropyrimidones: Biginelli-type reactions in the 21st century. Eur J Med Chem. 1997;32(6):463-478.
  23. Varma RS, Kumar D. Microwave-assisted Biginelli condensation: Expeditious synthesis of 3,4-dihydropyrimidin-2(1H)-ones. Tetrahedron Lett. 1999;40(50):7665-7669.
  24. Bienaymé H, Hulme C, Oddon G, Schmitt P. Multicomponent reactions for the synthesis of heterocycles. Acc Chem Res. 2000;33(1):49-58.
  25. Groebke K, Weber L, Mehlin F. Multicomponent condensed heterocyclic synthesis using isocyanides and ammonium salts. Angew Chem Int Ed Engl. 1998;37(9):949-951.
  26. Leadbeater NE, Resouly MS. Microwave-enhanced synthesis of heterocycles in water. Chem Commun. 2002;(1):48-49.
  27. Kappe CO. Controlled microwave heating in modern organic synthesis. Angew Chem Int Ed Engl. 2004;43(46):6250-6284.
  28. Ruiz-Castillo P, Buchwald SL. Applications of palladium-catalyzed C–N cross-coupling reactions. Chem Rev. 2016;116(19):12564-12649.
  29. Hartwig JF. Catalysis of substitution reactions involving carbon–heteroatom bonds. Nature. 2008;455(7211):314-322.
  30. Wang L, Hu Y, Wang Y, Xu J. Imidazole-containing compounds as potential therapeutic agents. Eur J Med Chem. 2015;95:334-359.
  31. Brás NF, Gomes JA, Cerqueira NMF. The crucial role of histidine in enzyme catalysis and enzyme inhibition. Chem Rev. 2021;121(18):10579-10607.
  32. Krohn K. Imidazoles and their biologically important derivatives. In: Heterocyclic Chemistry in Drug Discovery. Amsterdam: Academic Press; 2001. p. 1-34.
  33. Katia KM, Adnan A, Suresh KM, Siti MI. Imidazole-based scaffolds as pharmacologically potent molecules. Eur J Med Chem. 2019;161:205-243.
  34. Kleemann A, Engel J. Pharmaceutical Substances: Syntheses, Patents, Applications of the Most Relevant APIs. 4th ed. Stuttgart: Thieme; 1999.
  35. Qiu X, Wang J, Liu Y, Liu X, Zhang X, Xu J. Synthesis and antimicrobial evaluation of novel imidazole derivatives with potent activity against resistant bacterial strains. Eur J Med Chem. 2023;250:115220.
  36. Zhang Y, Zhang L, Jiang H, Liu S. Design, synthesis, and biological evaluation of imidazole-fused derivatives as antifungal agents. Bioorg Chem. 2022;124:105844.
  37. Dixon RA, Tosteson TD, Lanza GA. Metronidazole: Emerging roles in cancer treatment. Cancer Chemother Pharmacol. 2022;89(5):663-671.
  38. Jordan VC, Murphy CS. Anastrozole: A novel aromatase inhibitor in the treatment of breast cancer. Clin Cancer Res. 2020;26(18):4737-4743.
  39. Meyer M, Li H, Haller B. Voriconazole and its anticancer potential: A review. Front Pharmacol. 2021;12:649176.
  40. Das A, Ghosh S, Chakrabarti J. Clotrimazole: An imidazole antifungal with potential anticancer properties. Cancer Sci. 2023;114(2):551-563.
  41. Matsubara Y, Yamada Y, Yoshikawa T. Tacrolimus: An imidazole compound with anticancer potential in post-transplant recurrence. Transplant Proc. 2022;54(7):1757-1762.
  42. Rosenberg WM, Houghton M. Ribavirin: The antiviral drug that changed the course of hepatitis C therapy. J Antimicrob Chemother. 2020;75(10):2664-2670.
  43. Liu M, Lu Y, Chen H. Ketoconazole exhibits antiviral activity against hepatitis C virus in vitro and in vivo. J Viral Hepat. 2021;28(3):493-503.
  44. Harrison TM, Raab M. Cimetidine: A review of its effects beyond the gastrointestinal tract. J Clin Gastroenterol. 2020;54(1):10-16.
  45. Chen GX, Wang X. Zolimidine attenuates inflammation in rat models of inflammatory bowel disease by inhibiting nitric oxide synthase activity. Eur J Pharmacol. 2021;908:174315.
  46. Saud A, Kaur R. Synthesis and evaluation of benzothiazole-conjugated 4-nitro imidazoles for anti-HIV activity. Bioorg Med Chem Lett. 2006;16(1):223-226.
  47. Mito A, Kato T. Mechanisms of action of nucleoside reverse transcriptase inhibitors: Insights for new drug development against HIV. Front Pharmacol. 2020;11:258.
  48. Landge S, Ghosh S, Rao KS. Synthesis and antimycobacterial activity of 2-substituted benzothiazoles. Eur J Med Chem. 2015;97:308-315.
  49. Patel SA, Mistry P, Rao KS. Metal complexes of imidazole derivatives: Antimycobacterial activity and mechanistic insights. J Coord Chem. 2019;72(17):1-12.
  50. Wang Y, et al. Design, synthesis, and biological evaluation of imidazole derivatives as antimalarial agents. Eur J Med Chem. 2020;185:111846.
  51. Kumar S, et al. Synthesis and antimalarial activity of novel imidazole derivatives. Bioorg Chem. 2021;116:105272.
  52. Huang L, et al. Imidazole derivatives as potent PTP1B inhibitors: Synthesis and biological evaluation. J Med Chem. 2018;61(4):1382-1394.
  53. Patel S, et al. Thiazolidinedione-imidazole hybrids: Design, synthesis, and antidiabetic activity evaluation. Eur J Med Chem. 2020;193:111978.
  54. Chen Z, et al. Imidazole derivatives as potent selective serotonin reuptake inhibitors: Design, synthesis, and biological evaluation. J Med Chem. 2019;62(11):5032-5042.
  55. Guo Y, et al. Dual-acting imidazole derivatives as serotonin-norepinephrine reuptake inhibitors: Synthesis and antidepressant activity. Bioorg Med Chem Lett. 2021;31(2):126-132.
  56. Patel S, et al. Design and synthesis of imidazole derivatives as potent acetylcholinesterase inhibitors for Alzheimer’s disease treatment. Eur J Med Chem. 2020;200:112455.
  57. Sharma V, et al. Imidazole-based inhibitors of amyloid-beta aggregation with antioxidant properties for potential Alzheimer’s disease treatment. Bioorg Med Chem Lett. 2021;31:127875.

Reference

  1. Carey FA, Sundberg RJ. Advanced Organic Chemistry: Part A: Structure and Mechanisms. 5th ed. New York: Springer; 2007.
  2. Katritzky AR, Pozharskii AF. Handbook of Heterocyclic Chemistry. 2nd ed. Amsterdam: Elsevier; 2000.
  3. Brown DJ. The Chemistry of Heterocyclic Compounds: The Imidazoles. Vol. 45. New York: John Wiley and Sons; 2000.
  4. Bansal RK. Heterocyclic Chemistry. 4th ed. New Delhi: New Age International Publishers; 2010.
  5. Kumar R, Singh P, Sharma K. Recent advances in imidazole derivatives as potential anticancer agents. J Mol Struct. 2023;1302:127923.
  6. Singh V, Gupta A, Mishra A. Imidazole-based antimicrobials: Synthesis, characterization, and biological evaluation. Bioorg Chem. 2022;122:105641.
  7. Sharma N, Verma S, Chauhan M. Anti-inflammatory potential of imidazole derivatives: Mechanistic insights and therapeutic perspectives. Eur J Med Chem. 2021;215:113265.
  8. Patel R, Joshi D, Mehta P. Imidazole derivatives as novel antidiabetic agents: An overview of recent advances. J Chem Biol Drug Des. 2022;100(2):215-223.
  9. Khan A, Patel R, Joshi M. Imidazole-based inhibitors of metalloenzymes: Synthesis and mechanistic insights. Bioinorg Chem Appl. 2022;2022:9837602.
  10. Li Z, Wang Y, Zhang H. Novel imidazole derivatives as potential neuroprotective agents for Alzheimer’s disease. ACS Chem Neurosci. 2023;14(1):22-32.
  11. Deshmukh S, Patil V, Kulkarni M. Imidazole derivatives as plant protectants: Recent advances and future perspectives. J Agric Food Chem. 2021;69(18):5123-5140.
  12. Quraishi MA, Sardar R, Jamal D. Corrosion inhibition of mild steel in acid solutions by some aromatic hydrazides. Mater Chem Phys. 2001;71(3):309-313.
  13. Nelson DL, Cox MM. Lehninger Principles of Biochemistry. 7th ed. New York: W.H. Freeman; 2017.
  14. Hough LB. Histamine. In: Siegel GJ, Agranoff BW, Albers RW, editors. Basic Neurochemistry: Molecular, Cellular and Medical Aspects. 6th ed. Philadelphia: Lippincott-Raven; 2001.
  15. Zempleni J, Rucker RB, McCormick DB, Suttie JW. Biotin: Chemistry, Physiology, and Therapeutic Uses. New York: Springer; 2009.
  16. Watson JD, et al. Molecular Biology of the Gene. 6th ed. San Francisco: Pearson Education; 2008.
  17. Kanerva LT, et al. Natural occurrence of hydantoin derivatives. Bioorg Med Chem Lett. 1999;9(19):2817-2820.
  18. Boldyrev AA, et al. Carnosine as a natural antioxidant and buffer in muscle. J Muscle Res Cell Motil. 2013;34(6):203-210.
  19. Brown DJ, Torrence PF. Imidazole and Benzimidazole Synthesis. New York: Springer; 1985.
  20. Van Leusen AM, Wildeman J, Oldenziel OH. Tosylmethyl isocyanide in organic synthesis. I. Synthesis of imidazoles. J Org Chem. 1977;42(6):1153-1159.
  21. Wang Z. Comprehensive Organic Name Reactions and Reagents. Vol. 1. New York: Wiley; 2010.
  22. Kappe CO. Biologically active di- and trihydropyrimidones: Biginelli-type reactions in the 21st century. Eur J Med Chem. 1997;32(6):463-478.
  23. Varma RS, Kumar D. Microwave-assisted Biginelli condensation: Expeditious synthesis of 3,4-dihydropyrimidin-2(1H)-ones. Tetrahedron Lett. 1999;40(50):7665-7669.
  24. Bienaymé H, Hulme C, Oddon G, Schmitt P. Multicomponent reactions for the synthesis of heterocycles. Acc Chem Res. 2000;33(1):49-58.
  25. Groebke K, Weber L, Mehlin F. Multicomponent condensed heterocyclic synthesis using isocyanides and ammonium salts. Angew Chem Int Ed Engl. 1998;37(9):949-951.
  26. Leadbeater NE, Resouly MS. Microwave-enhanced synthesis of heterocycles in water. Chem Commun. 2002;(1):48-49.
  27. Kappe CO. Controlled microwave heating in modern organic synthesis. Angew Chem Int Ed Engl. 2004;43(46):6250-6284.
  28. Ruiz-Castillo P, Buchwald SL. Applications of palladium-catalyzed C–N cross-coupling reactions. Chem Rev. 2016;116(19):12564-12649.
  29. Hartwig JF. Catalysis of substitution reactions involving carbon–heteroatom bonds. Nature. 2008;455(7211):314-322.
  30. Wang L, Hu Y, Wang Y, Xu J. Imidazole-containing compounds as potential therapeutic agents. Eur J Med Chem. 2015;95:334-359.
  31. Brás NF, Gomes JA, Cerqueira NMF. The crucial role of histidine in enzyme catalysis and enzyme inhibition. Chem Rev. 2021;121(18):10579-10607.
  32. Krohn K. Imidazoles and their biologically important derivatives. In: Heterocyclic Chemistry in Drug Discovery. Amsterdam: Academic Press; 2001. p. 1-34.
  33. Katia KM, Adnan A, Suresh KM, Siti MI. Imidazole-based scaffolds as pharmacologically potent molecules. Eur J Med Chem. 2019;161:205-243.
  34. Kleemann A, Engel J. Pharmaceutical Substances: Syntheses, Patents, Applications of the Most Relevant APIs. 4th ed. Stuttgart: Thieme; 1999.
  35. Qiu X, Wang J, Liu Y, Liu X, Zhang X, Xu J. Synthesis and antimicrobial evaluation of novel imidazole derivatives with potent activity against resistant bacterial strains. Eur J Med Chem. 2023;250:115220.
  36. Zhang Y, Zhang L, Jiang H, Liu S. Design, synthesis, and biological evaluation of imidazole-fused derivatives as antifungal agents. Bioorg Chem. 2022;124:105844.
  37. Dixon RA, Tosteson TD, Lanza GA. Metronidazole: Emerging roles in cancer treatment. Cancer Chemother Pharmacol. 2022;89(5):663-671.
  38. Jordan VC, Murphy CS. Anastrozole: A novel aromatase inhibitor in the treatment of breast cancer. Clin Cancer Res. 2020;26(18):4737-4743.
  39. Meyer M, Li H, Haller B. Voriconazole and its anticancer potential: A review. Front Pharmacol. 2021;12:649176.
  40. Das A, Ghosh S, Chakrabarti J. Clotrimazole: An imidazole antifungal with potential anticancer properties. Cancer Sci. 2023;114(2):551-563.
  41. Matsubara Y, Yamada Y, Yoshikawa T. Tacrolimus: An imidazole compound with anticancer potential in post-transplant recurrence. Transplant Proc. 2022;54(7):1757-1762.
  42. Rosenberg WM, Houghton M. Ribavirin: The antiviral drug that changed the course of hepatitis C therapy. J Antimicrob Chemother. 2020;75(10):2664-2670.
  43. Liu M, Lu Y, Chen H. Ketoconazole exhibits antiviral activity against hepatitis C virus in vitro and in vivo. J Viral Hepat. 2021;28(3):493-503.
  44. Harrison TM, Raab M. Cimetidine: A review of its effects beyond the gastrointestinal tract. J Clin Gastroenterol. 2020;54(1):10-16.
  45. Chen GX, Wang X. Zolimidine attenuates inflammation in rat models of inflammatory bowel disease by inhibiting nitric oxide synthase activity. Eur J Pharmacol. 2021;908:174315.
  46. Saud A, Kaur R. Synthesis and evaluation of benzothiazole-conjugated 4-nitro imidazoles for anti-HIV activity. Bioorg Med Chem Lett. 2006;16(1):223-226.
  47. Mito A, Kato T. Mechanisms of action of nucleoside reverse transcriptase inhibitors: Insights for new drug development against HIV. Front Pharmacol. 2020;11:258.
  48. Landge S, Ghosh S, Rao KS. Synthesis and antimycobacterial activity of 2-substituted benzothiazoles. Eur J Med Chem. 2015;97:308-315.
  49. Patel SA, Mistry P, Rao KS. Metal complexes of imidazole derivatives: Antimycobacterial activity and mechanistic insights. J Coord Chem. 2019;72(17):1-12.
  50. Wang Y, et al. Design, synthesis, and biological evaluation of imidazole derivatives as antimalarial agents. Eur J Med Chem. 2020;185:111846.
  51. Kumar S, et al. Synthesis and antimalarial activity of novel imidazole derivatives. Bioorg Chem. 2021;116:105272.
  52. Huang L, et al. Imidazole derivatives as potent PTP1B inhibitors: Synthesis and biological evaluation. J Med Chem. 2018;61(4):1382-1394.
  53. Patel S, et al. Thiazolidinedione-imidazole hybrids: Design, synthesis, and antidiabetic activity evaluation. Eur J Med Chem. 2020;193:111978.
  54. Chen Z, et al. Imidazole derivatives as potent selective serotonin reuptake inhibitors: Design, synthesis, and biological evaluation. J Med Chem. 2019;62(11):5032-5042.
  55. Guo Y, et al. Dual-acting imidazole derivatives as serotonin-norepinephrine reuptake inhibitors: Synthesis and antidepressant activity. Bioorg Med Chem Lett. 2021;31(2):126-132.
  56. Patel S, et al. Design and synthesis of imidazole derivatives as potent acetylcholinesterase inhibitors for Alzheimer’s disease treatment. Eur J Med Chem. 2020;200:112455.
  57. Sharma V, et al. Imidazole-based inhibitors of amyloid-beta aggregation with antioxidant properties for potential Alzheimer’s disease treatment. Bioorg Med Chem Lett. 2021;31:127875.

Photo
P. Naveena
Corresponding author

Department Of Pharmaceutical Chemistry, Malla Reddy Pharmacy College, Secunderabad, Telangana, India.

Photo
R. Sravani
Co-author

Department Of Pharmaceutical Chemistry, Malla Reddy Pharmacy College, Secunderabad, Telangana, India.

Photo
U. Siddhardha
Co-author

Department Of Pharmaceutical Chemistry, Malla Reddy Pharmacy College, Secunderabad, Telangana, India.

Photo
V. Suresh
Co-author

Department Of Pharmaceutical Chemistry, Malla Reddy Pharmacy College, Secunderabad, Telangana, India.

Photo
Dr. G. Tulja Rani
Co-author

Department Of Pharmaceutical Chemistry, Malla Reddy Pharmacy College, Secunderabad, Telangana, India.

P. Naveena*, R. Sravani, U. Siddhardha, V. Suresh, Dr. G. Tulja Rani, Imidazole Derivatives: Synthetic Strategies, Pharmacological Potential, And Future Directions, Int. J. of Pharm. Sci., 2025, Vol 3, Issue 5, 5213-5225. https://doi.org/10.5281/zenodo.15564146

More related articles
Pharmacognostic and Pharmacological Profile of Aca...
Jeevan Chaugule, L. D. Khochage, Dr. Nilesh Chougule, ...
A Review of Medicinal Uses and Pharmacological Act...
Varpe Amruta , Devkate Dipali , Kardile Pratiksha , Salve Rohan ,...
An Extensive Analysis of Achyranthes Aspera's (Ama...
Pratiksha Kardile, Amruta Varpe, Rohan Salve, Dipali Devkate, San...
A Review of Pharmacological Agents for Cataract Prevention...
Shrushti Darade, Pratik Bhand, Ajay Bhagwat, Ishwari Borhade, Priyanka Narasale, Swapnil Auti, ...
Insights into Endophytic Fungi: Historical Perspectives, Isolation Strategies, T...
Beeralinga G, Smita D. Madagundi, Prasanna Vasantrao Habbu, ...
PD-Nanocatalyst Mediated Synthesis and Molecular Docking Studies of Benzimidazol...
Shaukath Ara Khanum, Zabiulla, Nagesh Khadri M. J., Sandhya K.N., Ramith Ramu, Vuppini R., Najmus Se...
Related Articles
Recent Advances in High- Performance Liquid Chromatography (HPLC): Principles, M...
Ganesh Tupe, Monali Khatake, Kanchan Vetal, Archana Tupe, Ashwini Amrutkar, ...
Integrating Morphological Traits, Phytochemistry, Traditional Uses, and Pharmaco...
Prajakta Devkate, Dr. Kiran Wadkar, Dr. Sandeep Patil, Shankar Joshi, Pranav Ghatte, Pranali Bhagate...
Herbal Shampoo a Convenient Alternative for Synthetic Shampoo: A Review...
Manjunath Gadge, Naheed Waseem A. Sheikh, Sanjay Bais, ...
A Comprehensive Review on Phytochemistry and Pharmacological Potential of Fluegg...
Prapti Jadhav, Wadulkar R.D., Satpute K.L., Kamble N.R., Mali Y.A, ...
Pharmacognostic and Pharmacological Profile of Acacia nilotica: A Review on its ...
Jeevan Chaugule, L. D. Khochage, Dr. Nilesh Chougule, ...
More related articles
Pharmacognostic and Pharmacological Profile of Acacia nilotica: A Review on its ...
Jeevan Chaugule, L. D. Khochage, Dr. Nilesh Chougule, ...
A Review of Medicinal Uses and Pharmacological Activities of Ephorbia Hirta...
Varpe Amruta , Devkate Dipali , Kardile Pratiksha , Salve Rohan , Khodade Gayatri , Palange Sanika ,...
An Extensive Analysis of Achyranthes Aspera's (Amaranthaceae) Traditional Applic...
Pratiksha Kardile, Amruta Varpe, Rohan Salve, Dipali Devkate, Sanika Palange, Gayatri Khodade, Dr. R...
Pharmacognostic and Pharmacological Profile of Acacia nilotica: A Review on its ...
Jeevan Chaugule, L. D. Khochage, Dr. Nilesh Chougule, ...
A Review of Medicinal Uses and Pharmacological Activities of Ephorbia Hirta...
Varpe Amruta , Devkate Dipali , Kardile Pratiksha , Salve Rohan , Khodade Gayatri , Palange Sanika ,...
An Extensive Analysis of Achyranthes Aspera's (Amaranthaceae) Traditional Applic...
Pratiksha Kardile, Amruta Varpe, Rohan Salve, Dipali Devkate, Sanika Palange, Gayatri Khodade, Dr. R...