View Article

Abstract

Carrots are a multi-nutritional food source. They are an important root vegetable, rich in natural bioactive compounds, which are recognised for their nutraceutical effects and health benefits. This review summarises the occurrence, biosynthesis, factors affecting concentration, and health benefits of phytochemicals found in Daucus carota. Two hundred and fifty-five articles including original research papers, books, and book chapters were analysed, of which one hundred and thirty articles (most relevant to the topic) were selected for writing the review article. The four types of phytochemicals found in carrots, namely phenolics, carotenoids, polyacetylenes, and ascorbic acid, were summarised. These chemicals aid in the risk reduction of cancer and cardiovascular diseases due to their antioxidant, anti-inflammatory, plasma lipid modification, and anti-tumour properties. Numerous factors influence the amount and type of phytochemicals present in carrots. Genotype (colour differences) plays an important role; high contents of ? and-carotene are present in orange carrots, lutein in yellow carrots, lycopene in red carrots, anthocyanin in the root of purple carrots, and phenolic compounds abound in black carrots. Carotenoids range between 3.2 mg/kg and 170 mg/kg, while vitamin C varies from 21 mg/kg to 775 mg/kg between cultivars. Growth temperatures of carrots influence the level of the sugars, carotenoids, and volatile compounds, so that growing in cool conditions results in a higher yield and quality of carrots, while higher temperatures would increase terpene synthesis, resulting in carrots with a bitter taste. It is worthwhile to investigate the cultivation of different genotypes under various environmental conditions to increase levels of phytochemicals and enhance the nutritional value of carrot, along with the valorisation of carrot by-products.

Keywords

carrot; phenolic compounds; carotenoids; polyacetylenes; ascorbic acid; human health.

Introduction

Fruits and vegetables are rich sources of nutrients that contain phytochemicals (also known as bioactive compounds), which are recognised for their nutraceutical effects and health benefits [1]. The cultivated carrot (Daucus carota L.) is one of the most important vegetable plants in the world because of its high yield potential and use as fresh or processed product. With an annual world production (carrots and turnips) of >428 million tons and a total growing area of about 11.5 million hectares [2]. Carrots rank among the top 10 vegetable crops in the world [3]. They play a major role in human nutrition, because of their high dietary value and good storage attributes [4,5]. Phytochemicals contribute to the dietary value of carrots and comprise mainly four types; namely, phenolic compounds, carotenoids, polyacetylenes, and ascorbic acid. This review article comprehensively describes the occurrence, biosynthesis, factors affecting concentration, and health benefits of phytochemicals found in Daucus carota.

2. Methods:

The literature for this review paper was retrieved from Google Scholar by using the following key words: occurrence of phenolics or phenols or phenolic acids, carotenoids, polyacetylenes, and ascorbic acid or vitamin C in carrot; biosynthesis of phenolics, or phenols or phenolic acids or hydroxycinnamic acids or chlorogenic acids, carotenoids, polyacetylenes, and ascorbic acid or vitamin C, in carrot; factors affecting the concentration of phenolics or phenols or phenolic acids, carotenoids, polyacetylenes, and ascorbic acid or vitamin C in carrot; nutritional importance or nutritional benefits of phenolics or phenols or phenolic acids, carotenoids, polyacetylenes, and ascorbic acid or vitamin C in carrot; health effects of carrot phenolics, carotenoids, polyacetylenes, and ascorbic acid/vitamin C after carrot consumption. The key words: structures of phenols or phenolic acids, carotenoids, polyacetylenes, and ascorbic acid or vitamin C in carrot, were searched in the NCBI website and redrawn in MS word using PNG format. Two hundred and fifty-five (255) articles including original research papers, books, and book chapters were downloaded, of which one hundred and thirty articles (130) most relevant to the topic were selected for writing the review article. The rejected research papers were too old or irrelevant. Literature was summarised according to the four types of phytochemicals found in carrots; namely, phenolics, carotenoids, polyacetylenes, and ascorbic acid. Under each phytochemical, the literature was summarised according to occurrence, biosynthesis, factors affecting concentrations, and resulting health benefits.

Reagent and chemicals:

Folin Ciocalteu’s Phenol reagent, sodium carbonate, gallic acid, quercitin, 10%Aluminium chloride, ethanol, 2, 2 Diphenyl-1-picrylhydrazyl (DPPH), ascorbic acid, methanol, 2,2’-Azino-bis (3-ethylbenzthiazoline-6-sulphonic acid) (ABTS), potassium persulfate, beta carotene, chloroform, linoleic acid, butylated hydroxytoluene (BHT) were purchased from Sigma chemical.

Preparation of plant extracts:

Dry powder of Daucus carota were taken from local market.

Phytochemical screening:

Total phenolic content

The total phenolic contents in baby carrot and carrot crude extracts were determined by using the Folin-Ciocalteu method [6]. 50 µl of extracts (1 mg/ml) or standard solution of gallic acid (6.25, 12.5, 25, 50, 100 µg/ml) in distilled water were added to 50 µl of distilled water. Distilled water was used as blank. 50 µl of 10% Follin Cicocalteu’s phenol reagent and 50 µl of 1 M sodium carbonate solution were added to the mixture in a 96-well plate. Reactions were incubated for 60 minutes at room temperature and protected from light. The absorbance was measured at 750 nm with a Microplate Reader [7]. Total phenolic contents in baby carrot and carrot were expressed as mg Gallic Acid Equivalents per gram of dry plant material [8]. All samples were analyzed in triplicate.

Total flavonoid content:

Total flavonoid content in baby carrots and carrots determined by the aluminium chloride colorimetric assay. 50 µl of extracts (1 mg/ml) or standard solution of quercetin (6.25, 12.5, 25, 50, 100 µg/ml) in 80% ethanol was added to 10 µl of 10% the aluminium chloride solution and followed by 150 µl of 95% ethanol. 80% ethanol was used as reagent blank. 10 µl of 1 M sodium acetate was added to the mixture in a 96 well plate. All reagents were mixed and incubated for 40 minutes at room temperature protected from light. The absorbance was measured at 415nm. Total flavonoid contents in baby carrots and carrots were expressed as mg Quercitin Equivalents (QE) per gram of dry plant material. All samples were analyzed in triplicates.

Free radical scavenging activity:

DPPH assay:

The 2, 2-Diphenyl-1-picrylhydrazyl (DPPH) free radical scavenging activity was performed [8]. Briefly 20 µl of carrot extracts (1 mg/ml) or standard solution of ascorbic acid (3.125, 6.25, 12.5, 25, 50 µg/ml) in absolute methanol was added to 180 µl of DPPH reagent in 96 well plate. Absolute methanol was used for reagent blank. All reagents were mixed and incubated for 30 minutes at room temperature, protected from light. The absorbance was measured at 517 nm with a Microplate Reader [9]. Experiments were done in triplicates. The percentages of the DPPH free radical scavenging activity were calculated as follows:

% Scavenging activity = [(Abs control–Abs sample) Abs control] ×100

The percentages of the DPPH free radical scavenging activity were determined by comparing with free radical scavenging activity of ascorbic acid and expressed as mg vitamin C Equivalent Antioxidant Capacity (VCEAC) per gram of dry plant material.

ABTS assay:

The ABTS free radical scavenging activity was performed [9]. The 2, 2’-azinobis (3-ethylbenzothiazoline-6-sulfonic acid) or ABTS•+ formation was generated by oxidation of ABTS reagent and potassium sulphate. 20 µl of extracts (1 mg/ml) or ascorbic acid standard (3.125, 6.25, 12.5, 25, 50 µg/ml) in absolute ethanol was added to 180 µl of ABTS•+ working reagent in a 96-well plate. Absolute ethanol was used as reagent blank. The plate was incubated for 45 minutes at room temperature in a dark condition. The absorbance was measured at 734 nm with a Microplate Reader [10]. Experiments were all done in triplicates.

% Scavenging activity = [(Abs control–Abs sample) Abs control] ×100

The percentages of the ABTS free radical scavenging activity were determined by comparing with calibration curve of ascorbic acid and expressed as mg vitamin C Equivalent Antioxidant Capacity (VCEAC)/g dry plant material.

MATERIALS AND METHODS:

No human or animal subjects were used, so this analysis did not require approval by an Institutional Animal Care and Use Committee or Institutional Review Board.

Composition of Carrot Powder:

The chemical composition of carrot powder samples is shown in Table 1. The moisture content of carrot powder was 4.5%, whereas ash, fat, TP, and fiber con tents were 4.80, 2.75, 8.25, and 11.94% on a dry basis, respectively. It was found that ash, fat, TP, and fibre in carrot powder were approximately 6.80, 2.90, 9.20, and 7.20%, respectively, on a dry basis [11]. Another study stated that carrot samples have moisture content of 11.70%, whereas ash, fat, TP, and fibre contents were approximately 13.40, 5.40, 10.40, and 13.70% on a dry basis, respectively [12]. The total carbohydrate content of carrot powder in current research recorded was around 72.30%, while the caloric value was 346.8 kcal/100 g on a dry basis. Our results were in agreement with those reported as they observed that carbohydrate and caloric values in carrot powder were 68.3% and 336.0 kcal/100 g on a dry basis, respectively [13]. Potassium, phosphorus, calcium, sodium, magnesium, iron, and zinc contents in carrot powder are illustrated in Table 1. In the present study, potassium, phosphorus, calcium, sodium, magnesium, iron, and zinc were approximately 532.7, 199.3, 880.0, 615.0, 171.7, 20.7, and 3.4 mg/100 g on a dry basis, respectively. Similar findings were exemplified, as they found that zinc content in carrots was 3.2 mg/100 g on a dry basis [14]. Moreover, it was reported that calcium, phosphorus, and iron contents in carrot pulp waste were 314.95, 317.77, and 12.65 mg/100 g on a dry basis, respectively [15].

Invitro process in carrot Powder:

Vitamin C, β-carotene, vitamin A, total phenolics, and antioxidant activity of carrot powder samples are presented in Table. Data showed that vitamin C content was 50.0 mg/100 g on a dry basis. It was reported that ascorbic acid was 8.0 mg/100 g of fresh orange-coloured carrots [16].

Furthermore:

in the current study, β-carotene content was 123.0 mg/100 g on a dry basis. However, another study observed lower content of β-carotene in carrot powder at a rate of 1,154.20 µg/g or 115.42 mg/100 g [17]. Whereas another reported higher β-carotene (254.0 mg/100 g) on a dry basis when compared with our findings [18]. Such differences could be attributed to the variety and environmental factors. Furthermore, The retinol equivalent of carrot powder was about 20,500 (RE/100g), which was obtained using the standard conversion formula. Likewise, others studies examined 5 groups of fresh carrots and found that the β-carotene and vitamin A contents were 12,300 µg/100 g and 2,054.1 RE/100 g, respectively [19].The total phenolics content  in carrot pow der was 203.6 mg/100 g on a dry basis sample, whereas it was reported that the range of total phenolic content in 15 varieties of orange carrot ranged from 18.7 to 33.8 mg/100 g as gallic acid equivalents on a fresh weight basis [20]. The antioxidant activity of carrot powder (determined by DPPH scavenging activity) was 64.45%. Our value is higher than the values reported in the study conducted by which ranged from 7.45 to 34.9% [21]. Another study by estimated radical scavenging activity using a stable DPPH radical. They found that the DPPH ranged from 3.5 to 13.7% in 15 varieties of orange carrot extracts (on a fresh weight basis) [22]. Moreover, the importance of carotenoids (which are located in orange carrots) was referred to as a valuable antioxidant component that can neutralize the effect of free radicals [23].

Cultivar:

A seven to eleven-fold difference in-carotene concentration was observed in cultivars with different genetic makeups [24]. There is controversy in the literature about the highest number of carotenoids present in different carrot genotypes. In previous studies, it was found 2.3 times more-carotenes in purple carrots than orange varieties. Similar results were presented [25,26]. However, according to recent studies, higher contents of and-carotene are present in orange carrots, lutein in yellow carrots, lycopene in red carrots, anthocyanin in the roots of purple carrots, and phenolic compounds in black carrots [27]. studied the effect of genetic variability on carotenoids in carrots of different colours (genotypes) and found that the range of carotenoids in yellow and purple carrots is 469 to 605 µg/100 g, while 10 times more carotenoids are present in orange carrots. The highest carotenoids’ content, particularly-carotene (170 mg/kg), is present in dark orange carrots, whereas purple carrots have the lowest-carotene content (3.2 mg/kg). Suggestions for retaining carotenoid concentrations include the usage of cultivars known to have higher ranges of the useful compounds, and those which might be more suited to the local weather and geographical location. Gene expression partly describes the differences in carotenoids’ accumulation in the secondary phloem and xylem of the fleshy roots of carrots [28].

Environment:

Environmental conditions during growth and packaging alter the level of carotenoids, sugars, and volatiles [29]. However, results may vary when research is conducted under different conditions. Other researchers and emphasise that crops grown in sandy soil tend to build up fewer provitamin A carotenoids than those grown in clay soils [30].

Storage Conditions and Temperature:

Retail storage of carrots often takes place at a temperature range of 18 to 22 C. Carrots can be subjected to these temperatures for a few days. Storage’s effect on carrot-carotene is inconsistent based on different temperature levels [31]. And-carotene concentrations increased up to 35% and 25%after three days of storage and up to 42% and 34% after ten days of storage in Nantes carrots stored at 2 C and 90% relative humidity. Significant increases in-carotene were observed in both Nevis and Kingston cultivars stored at 20 C for seven days. Longer storage periods of 21 days at 20 C have a negative effect on and-carotene [32]. After four weeks of storage, beta-carotene was enhanced from 8% to 23% at 4 C, compared to the levels at harvesting time reported that-carotene contents were reduced after eight days of storage at different temperatures, by 46% (7.5 to 8.5 C), 51% (17 to 21 C), and 70% (22 to 37.5 C) [33]. Some studies also evidenced slight variations in or-carotene when carrots were stored at 0 C, even for six months [34].

Health Benefits of Carotenoids:

The dietary intake of carotenoids, especially vitamin A, has been related to the protection of DNA, proteins, and lipids from oxidative damage; as well as to the maintenance of the normal function of the immune system, normal skin, normal mucosal membranes, and normal vision [35]. Digested purple carrot extract when passed through the colon mucosal cells, decreases oxidative DNA damage by 20.7%, protecting colon cells against reactive oxygen species stress [36]. Beta-carotene, which is present in purple and orange carrots, is the most widely studied carotenoid so far, due to its significance in medical science. Dietary provitamin A carotenoids derived from plants are a major source of our vitamin A needs, and bioconversion to retinol may account for one-third of total retinol intake in developed countries. Vitamin A is essential for normal organogenesis, immune functions, tissue differentiation, and eyesight [37]. Alpha-carotene, beta-carotene, and-cryptoxanthin obtained from carrot consumption are the carotenes that are converted into retinol in the human body. Lutein from yellow carrot and its isomer, zeaxanthin, both accumulate in the centre of the retina (also known as the macula) of the eye. These are the only carotenoids that pass through the retinal barrier and form the macula in the eye. The macula enhances eyesight through its light-filtering characteristics. They are also powerful antioxidants and essential for healthy eyes. They protect eyes from diseases by absorbing harmful blue light that enters the eye. Lutein is also the most dominant carotenoid in brain tissue and the predominant carotenoid in the developing primate brain and retina. The amount of lutein is twice as much in paediatric brains than in adult brains, indicating its role in neural growth, and it may play a role in biological functions, including anti-oxidation, anti-inflammation, and in structural activity. It shields neural tissue, especially during infancy when the retina and brain are continuously in a state of change after birth. In adults, it is linked to cognitive health, and its supplementation enhances cognition. High ingestion (near 6 mg per day) of lutein is associated with low risk of muscular degeneration during old age, although actual intake of lutein varies between 1 and 2 mg per day in adults. It can also prevent the production of harmful free radicals, such as reactive oxygen species, via physical or chemical quenching of singlet oxygen.

Ascorbic Acid:

l-ascorbic acid or vitamin C is one of the most abundant water-soluble low molecular weight antioxidants found throughout the kingdom Plantae. It is known to play a central role in regulating the cellular redox potential in cells [38]. As humans and some other primates lack the ability to synthesize and store vitamin C, they depend on fresh fruits and vegetables to cover their daily requirements (75–90 mg RDA). All recent studies point toward a diet rich in vitamin C for improving human health [39]. Suggest that vitamin C should be a clear target for the nutritional enhancement of horticultural crops. The accumulation of vitamin C within the same species may vary between different cultivars tissue types and developmental stages. Regardless of this variability, vitamin C is tightly regulated through net biosynthesis, recycling, degradation/oxidation, and/or intercellular and intracellular transport [40].

Occurrence of Ascorbic Acid:

There are many authors reporting on differences between carrot cultivars regarding the content of vitamin C [41]. According to [42]. Vitamin C content in six carrot cultivars ranged from 54 mg/kg to 132 mg/kg, while concentrations as low as 21 mg/kg [43]. And high as 775 mg/kg of Vitamin C may accumulate at up to 20 mM in chloroplasts, and occurs in almost all parts of the cell [44]. Dark orange carrots contain 4 times more vitamin C than yellow, purple and orange carrots [45].

Biosynthesis of Ascorbic Acid:

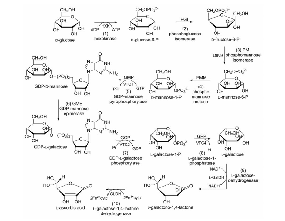
In plants, four alternative pathways for ascorbic acid biosynthesis have been reported; namely, the d-mannose/l-galactose (d-Man/l-Gal) pathway, myoinositol pathway, galacturonate pathway, and l-glucose pathway. The ten-step d-Man/l-Gal pathway is the most acceptable for ascorbic acid biosynthesis in carrots (Figure). d-Glucose-6-phosphate (d-glucose-6-P), obtained from the hexokinase of d-glucose, is converted into its furanose derivative d-fructose-6-phosphate (d-fructose-6-P in the presence of phosphor glucose isomerase (PGI). Phosphomannose isomerase (PMI) convertsd-fructose-6-P into d-mannose-6-phosphate (d-mannose-6-P). d-Mannose-6-P subsequently rearranges (phosphate moves from C6 to C1) due to the catalytic action of phosphomannose mutase (PMM) to yield d-mannose-1-phosphate (d-Mannose-1-P).

Figure: Schematic representation of the biosynthetic path way of ascorbic acid in carrot: (1) hexokinase; (2) phosphoglucose isomerase; (3) phosphomannose isomerase; (4) phosphomannose mutase; (5) guanosine diphosphate (GDP)-mannose pyro phosphorylase; (6) GDP-mannose epimerase; (7) GDP l-galactose phosphorylase; (8) l-galactose-phosphatase; (9) l-galactose-dehydrogenase; (10) l-galactose 1,4-lactone dehydrogenase.

d-Mannose-1-P is converted into glucose diphosphated-mannose (GDP-d-mannose) in the presence of GDP-d-mannose pyro phosphorylase (GMP). GDP-d-Mannose undergoes a reversible reaction catalysed by GDP-d-mannose-30,50-epimerase (GME), and the unstable intermediate GDP-l-glucose is then readily converted into its isomer, GDP-l-galactose. GDP-l-galactose phosphorylase (GGP) converts GDP-l-galactose into l-galactose-1-phosphate (l-galactose-1-P), followed by dephosphorylation via the catalytic action of l-galactose-1-P phosphatase (GPP) to afford l-galactose. l-Galactose is converted into 1-galactono-1,4-lactone in the presence of l-galactose dehydrogenase (GalDH), which is dehydrogenase

Factors effecting Ascorbic Acid Concentration:

Numerous factors affect the concentration of ascorbic acid in carrots, such as cultivar, carbon dioxide, temperature, processing, and storage.

CONCLUSIONS AND FUTURE CHALLENGES:

It is evident from the present review that there is an abundant diversity of carrot cultivars grown successfully worldwide, delivering high agricultural yields. Due to the rich source of phytochemicals present in carrots, they serves as a multi-nutritional food source. The biological activities of some of the phytochemicals found in carrots; namely, phenolic compounds (particularly chlorogenic acid), carotenoids, polyacetylenes, and ascorbic acid (vitamin C), have indicated their potential to improve human health due to their anticancer, antioxidant, anti-inflammatory, antibacterial, plasma lipid modification, and serotogenic effects. However, the concentration and nature of phytochemicals are affected by several factors, such as carrot genotype (colour differences), environmental conditions, and the preparation and storage of carrot products. Experiments addressing these factors are of great importance to improve the quality of carrots, and to develop genotypes enriched for selected beneficial phytochemicals. Large quantities of carrots are annually discarded in different parts of the world because they do not meet market standards. Additionally, the carrot-processing industry (puree and juice) gives rise to a number of waste products, such as carrot peel, that can be recovered and used as a source of bioactive compounds. Thus, series of valuable by-products, such as carotenoids, phenolic compounds, fractions of dietary fibre, and bioethanol, can be obtained from food-processing wastes and discarded carrots [46]. In addition, carrots can be processed for the production of anthocyanin-rich concentrate for pigment industry, while the resulting pomace can be extracted to obtain high-value-added phenolic compounds that can be used as functional food ingredients [47].

REFERENCES

  1. Tiwari, U.; Cummins, E. Factors influencing levels of phytochemicals in selected fruit and vegetables during pre-and post-harvest food processing operations. Food Res. Int. 2013, 50, 497–506. [CrossRef]
  2. Food and Agriculture Organization of the United Nations Carrots and Turnips. Available online: http: //www.fao.org/faostat/en/#data/QC/visualize (accessed on 10 July 2019).
  3. Dawid, C.; Dunemann, F.; Schwab, W.; Nothnagel, T.; Hofmann, T. Bioactive C 17-Polyacetylenes in Carrots (Daucus carota L.): Current Knowledge and Future Perspectives. J. Agric. Food Chem. 2015, 63, 9211–9222. [CrossRef] [PubMed]
  4. Leja, M.; Kami ´nska, I.; Kramer, M.; Maksylewicz-Kaul, A.; Kammerer, D.; Carle, R.; Baranski, R. The Content of Phenolic Compounds and Radical Scavenging Activity Varies with Carrot Origin and Root Color. Plant. Foods Hum. Nutr. 2013, 68, 163–170. [CrossRef] [PubMed]
  5. Umar, G.; Kaur, S.; Gurumayum, S.; Rasane, P. Effect of Hot Water Blanching Time and Drying Temperature on the Thin Layer Drying Kinetics of and Anthocyanin Degradation in Black Carrot (Daucus carota L.) Shreds. Food Technol. Biotechnol. 2015, 53, 324–330.
  6. Nguyen, H.H.V.; Nguyen, L.T. Carrot processing. In Handbook of Vegetable Preservation Processing, 2nd ed.; Hui, Y.H., Evranuz, E.Ö., Eds.; CRC Press: Boca Raton, FL, USA, 2015; pp. 449–478.
  7. Tsao, R. Chemistry and Biochemistry of Dietary Polyphenols. Nutrients 2010, 2, 1231–1246. [CrossRef]
  8. Balasundram, N.; Sundram, K.; Samman, S. Phenolic compounds in plants and agri-industrial by-products: Antioxidant activity, occurrence, and potential uses. Food Chem. 2006, 99, 191–203. [CrossRef]
  9. Brglez Mojzer, E.; Knez Hrn?ci?c, M.; Škerget, M.; Knez, Ž.; Bren, U. Polyphenols: Extraction methods, antioxidative action, bioavailability and anticarcinogenic eects. Molecules 2016, 21, 901. [CrossRef]
  10. Di Mauro, M.D.; Giardina, R.C.; Fava, G.; Mirabella, E.F.; Acquaviva, R.; Renis, M.; D’Antona, N. Polyphenolic profile and antioxidant activity of olive mill wastewater from two Sicilian olive cultivars: Cerasuola and Nocellara etnea. Eur. Food Res. Technol. 2017, 243, 1895–1903. [CrossRef]
  11. Pandey, K.B.; Rizvi, S.I. Plant polyphenols as dietary antioxidants in human health and disease. Oxid. Med. Cell. Longev. 2009, 2, 270–278. [CrossRef]
  12. Gonçalves, E.M.; Pinheiro, J.; Abreu, M.; Brandão, T.R.S.; Silva, C.L.M. Carrot (Daucus carota L.) peroxidase inactivation, phenolic content and physical changes kinetics due to blanching. J. Food Eng. 2013, 97, 574–581. [CrossRef]
  13. Czepa, A.; Hofmann, T. Quantitative Studies and Sensory Analyses on the Influence of Cultivar, Spatial Tissue Distribution, and Industrial Processing on the Bitter O-Taste of Carrots (Daucus carota L.) and Carrot Products. J. Agric. Food Chem. 2004, 52, 4508–4514. [CrossRef] [PubMed]
  14. Sharma, K.D.; Karki, S.; Thakur, N.S.; Attri, S. Chemical composition, functional properties and processing of carrot—A review. J. Food Sci. Technol. 2012, 49, 22–32. [CrossRef] [PubMed]
  15. Zhang, D.; Hamauzu, Y. Phenolic compounds and their antioxidant properties in dierent tissues of carrots (Daucus carota L.). J. Food Agric. Environ. 2004, 2, 95–100.
  16. Alasalvar, C.; Al-Farsi, M.; Quantick, P.; Shahidi, F.; Wiktorowicz, R. Effect of chill storage and modified atmosphere packaging (MAP) on antioxidant activity, anthocyanins, carotenoids, phenolics and sensory quality of ready-to-eat shredded orange and purple carrots. Food Chem. 2005, 89, 69–76. [CrossRef]
  17. Gajewski, M.; Szymczak, P.; Elkner, K.; D ?abrowska, A.; Kret, A.; Danilcenko, H. Some Aspects of Nutritive and Biological Value of Carrot Cultivars with Orange, Yellow and Purple-Coloured Roots. Veg. Crop. Res. Bull. 2007, 67, 149–161. [CrossRef]
  18. Oviasogie, P.; Okoro, D.; Ndiokwere, C. Determination of total phenolic amount of some edible fruits and vegetables. African J. Biotechnol. 2009, 8, 2819–2820.
  19. Korkina, L.; Kostyuk, V.; De Luca, C.; Pastore, S. Plant phenylpropanoids as emerging anti-inflammatory agents. Mini-Rev. Med. Chem. 2011, 11, 823–835. [CrossRef]
  20. El-Seedi, H.R.; El-Said, A.M.A.; Khalifa, S.A.M.; Göransson, U.; Bohlin, L.; Borg-Karlson, A.-K.; Verpoorte, R. Biosynthesis, Natural Sources, Dietary Intake, Pharmacokinetic Properties, and Biological Activities of Hydroxycinnamic Acids. J. Agric. Food Chem. 2012, 60, 10877–10895. [CrossRef]
  21. Bartley, G.E.; Avena-Bustillos, R.J.; Du, W.-X.; Hidalgo, M.; Cain, B.; Breksa, A.P., III. Transcriptional regulation of chlorogenic acid biosynthesis in carrot root slices exposed to UV-B light. Plant. Gene 2016, 7, 1–10. [CrossRef]
  22. Vogt, T. Phenylpropanoid biosynthesis. Mol. Plant. 2010, 3, 2–20. [CrossRef]
  23. Gross, G.G. Phenolic acids. In Secondary Plant Products; Conn, E.E., Ed.; In the series The Biochemistry of Plants — A Comprehensive Treatise; Academic Press: New York, NY, USA, 1981; Volume 7, pp. 301–316.
  24. Manach, C.; Scalbert, A.; Morand, C.; Rémésy, C.; Jiménez, L. Polyphenols: Food sources and bioavailability. Am. J. Clin. Nutr. 2004, 79, 727–747. [CrossRef] [PubMed]
  25. Søltoft, M.; Nielsen, J.; Holst Laursen, K.; Husted, S.; Halekoh, U.; Knuthsen, P. Eects of Organic and Conventional Growth Systems on the Content of Flavonoids in Onions and Phenolic Acids in Carrots and Potatoes. J. Agric. Food Chem. 2010, 58, 10323–10329. [CrossRef] [PubMed]
  26. Singh, D.P.; Beloy, J.; McInerney, J.K.; Day, L. Impact of boron, calcium and genetic factors on vitamin C, carotenoids, phenolic acids, anthocyanins and antioxidant capacity of carrots (Daucus carota). Food Chem. 2012, 132, 1161–1170. [CrossRef] [PubMed]
  27. Kamiloglu, S.; Pasli, A.A.; Ozcelik, B.; Van Camp, J.; Capanoglu, E. Colour retention, anthocyanin stability and antioxidant capacity in black carrot (Daucus carota) jams and marmalades: Effect of processing, storage conditions and in vitro gastrointestinal digestion. J. Funct. Foods 2015, 13, 1–10. [CrossRef]
  28. Simões, A.D.N.; Allende, A.; Tudela, J.A.; Puschmann, R.; Gil, M.I. Optimum controlled atmospheres minimise respiration rate and quality losses while increase phenolic compounds of baby carrots. LWT Food Sci. Technol. 2011, 44, 277–283. [CrossRef]
  29. Becerra-Moreno, A.; Redondo-Gil, M.; Benavides, J.; Nair, V.; Cisneros-Zevallos, L.; Jacobo-Velázquez, D.A. Combined effect of water loss and wounding stress on gene activation of metabolic pathways associated with phenolic biosynthesis in carrot. Front. Plant. Sci. 2015, 6, 837. [CrossRef] [PubMed]
  30. Alegria, C.; Gonçalves, E.M.; Moldão-Martins, M.; Cisneros-Zevallos, L.; Abreu, M. Peel removal improves quality without antioxidant loss, through wound-induced phenolic biosynthesis in shredded carrot. Postharvest Biol. Technol. 2016, 120, 232–239. [CrossRef]
  31. Del Rosario Cuéllar-Villarreal, M.; Ortega-Hernández, E.; Becerra-Moreno, A.; Welti-Chanes, J.; CisnerosZevallos, L.; Jacobo-Velázquez, D.A. Eects of ultrasound treatment and storage time on the extractability and biosynthesis of nutraceuticals in carrot (Daucus carota). Postharvest Biol. Technol. 2016, 119, 18–26. [CrossRef]
  32. Carolina Formica-Oliveira, A.; Benito Martínez-Hernández, G.; Díaz-López, V.; Artés, F.; Artés-Hernández, F. Eects of UV-B and UV-C combination on phenolic compounds biosynthesis in fresh-cut carrots. Postharvest Biol. Technol. 2017, 127, 99–104. [CrossRef]
  33. Surjadinata, B.; Jacobo-Velázquez, D.; Cisneros-Zevallos, L. UVA, UVB and UVC Light Enhances the Biosynthesis of Phenolic Antioxidants in Fresh-Cut Carrot through a Synergistic Effect with Wounding. Molecules 2017, 22, 668. [CrossRef]
  34. Jacobo-Velázquez, D.A.; Martínez-Hernández, G.B.; del C. Rodríguez, S.; Cao, C.-M.; Cisneros-Zevallos, L. Plants as Biofactories: Physiological Role of Reactive Oxygen Species on the Accumulation of Phenolic Antioxidants in Carrot Tissue under Wounding and Hyperoxia Stress. J. Agric. Food Chem. 2011, 59, 6583–6593. [CrossRef] [PubMed]
  35. Surjadinata, B.B.; Cisneros-Zevallos, L. Biosynthesis of phenolic antioxidants in carrot tissue increases with wounding intensity. Food Chem. 2012, 134, 615–624. [CrossRef] [PubMed]
  36. Ma, T.; Tian, C.; Luob, J.; Zhouc, R.; Sun, X.; Ma, J. Influence of technical processing units on polyphenols and antioxidant capacity of carrot (Daucus carrota L.) juice. Food Chem. 2013, 141, 1637–1644. [CrossRef] [PubMed]
  37. Patras, A.; Tiwari, B.K.; Brunton, N.P. Influence of blanching and low temperature preservation strategies on antioxidant activity and phytochemical content of carrots, green beans and broccoli. LWT Food Sci. Technol. 2011, 44, 299–306. [CrossRef]
  38. Soto-Vaca, A.; Gutierrez, A.; Losso, J.N.; Xu, Z.; Finley, J.W. Evolution of Phenolic Compounds from Color and Flavor Problems to Health Benefits. J. Agric. Food Chem. 2012, 60, 6658–6677. [CrossRef]
  39. Stan, S.D.; Kar, S.; Stoner, G.D.; Singh, S.V. Bioactive food components and cancer risk reduction. J. Cell. Biochem. 2008, 104, 339–356. [CrossRef]
  40. Ghasemzadeh, A.; Ghasemzadeh, N. Flavonoids and phenolic acids: Role and biochemical activity in plants and human. J. Med. Plants Res. 2011, 5, 6697–6703. [CrossRef]
  41. Del Rio, D.; Rodriguez-Mateos, A.; Spencer, J.P.E.; Tognolini,M.; Borges, G.; Crozier, A. Dietary (Poly)phenolics in Human Health: Structures, Bioavailability, and Evidence of Protective Eects Against Chronic Diseases. Antioxid. Redox Signal. 2013, 18, 1818–1892. [CrossRef]
  42. Jing, P.; Bomser, J.A.; Schwartz, S.J.; He, J.; Magnuson, B.A.; Giusti, M.M. Structure-function relationships of anthocyanins from various anthocyanin-rich extracts on the inhibition of colon cancer cell growth. J. Agric. Food Chem. 2008, 56, 9391–9398. [CrossRef]
  43. Netzel, M.; Netzel, G.; Kammerer, D.R.; Schieber, A.; Carle, R.; Simons, L.; Bitsch, I.; Bitsch, R.; Konczak, I. Cancer cell antiproliferation activity and metabolism of black carrot anthocyanins. Innov. Food Sci. Emerg. Technol. 2007, 8, 365–372. [CrossRef]
  44. Akhtar, S.; Rauf, A.; Imran, M.; Qamar, M.; Riaz, M.; Mubarak, M.S. Black carrot (Daucus carota L.), dietary and health promoting perspectives of its polyphenols: A review. Trends Food Sci. Technol. 2017, 66, 36–47. [CrossRef] 45. Wang, L.S.; Stoner, G.D. Anthocyanins and their role in cancer prevention. Cancer Lett. 2008, 269, 281–290. [CrossRef] [PubMed]
  45. Wright, O.R.L.; Netzel, G.A.; Sakzewski, A.R. A randomized, double-blind, placebo-controlled trial of the effect of dried purple carrot on body mass, lipids, blood pressure, body composition, and inflammatory markers in overweight and obese adults: The QUENCH Trial. Can. J. Physiol. Pharmacol. 2013, 91, 480–488. [CrossRef] [PubMed]
  46. Águila Ruiz-Sola, M.; Rodríguez-Concepción, M. Carotenoid biosynthesis in arabidopsis: A colorful pathway. BioOne 2012, 1–28. [CrossRef] [PubMed].

Reference

  1. Tiwari, U.; Cummins, E. Factors influencing levels of phytochemicals in selected fruit and vegetables during pre-and post-harvest food processing operations. Food Res. Int. 2013, 50, 497–506. [CrossRef]
  2. Food and Agriculture Organization of the United Nations Carrots and Turnips. Available online: http: //www.fao.org/faostat/en/#data/QC/visualize (accessed on 10 July 2019).
  3. Dawid, C.; Dunemann, F.; Schwab, W.; Nothnagel, T.; Hofmann, T. Bioactive C 17-Polyacetylenes in Carrots (Daucus carota L.): Current Knowledge and Future Perspectives. J. Agric. Food Chem. 2015, 63, 9211–9222. [CrossRef] [PubMed]
  4. Leja, M.; Kami ´nska, I.; Kramer, M.; Maksylewicz-Kaul, A.; Kammerer, D.; Carle, R.; Baranski, R. The Content of Phenolic Compounds and Radical Scavenging Activity Varies with Carrot Origin and Root Color. Plant. Foods Hum. Nutr. 2013, 68, 163–170. [CrossRef] [PubMed]
  5. Umar, G.; Kaur, S.; Gurumayum, S.; Rasane, P. Effect of Hot Water Blanching Time and Drying Temperature on the Thin Layer Drying Kinetics of and Anthocyanin Degradation in Black Carrot (Daucus carota L.) Shreds. Food Technol. Biotechnol. 2015, 53, 324–330.
  6. Nguyen, H.H.V.; Nguyen, L.T. Carrot processing. In Handbook of Vegetable Preservation Processing, 2nd ed.; Hui, Y.H., Evranuz, E.Ö., Eds.; CRC Press: Boca Raton, FL, USA, 2015; pp. 449–478.
  7. Tsao, R. Chemistry and Biochemistry of Dietary Polyphenols. Nutrients 2010, 2, 1231–1246. [CrossRef]
  8. Balasundram, N.; Sundram, K.; Samman, S. Phenolic compounds in plants and agri-industrial by-products: Antioxidant activity, occurrence, and potential uses. Food Chem. 2006, 99, 191–203. [CrossRef]
  9. Brglez Mojzer, E.; Knez Hrn?ci?c, M.; Škerget, M.; Knez, Ž.; Bren, U. Polyphenols: Extraction methods, antioxidative action, bioavailability and anticarcinogenic eects. Molecules 2016, 21, 901. [CrossRef]
  10. Di Mauro, M.D.; Giardina, R.C.; Fava, G.; Mirabella, E.F.; Acquaviva, R.; Renis, M.; D’Antona, N. Polyphenolic profile and antioxidant activity of olive mill wastewater from two Sicilian olive cultivars: Cerasuola and Nocellara etnea. Eur. Food Res. Technol. 2017, 243, 1895–1903. [CrossRef]
  11. Pandey, K.B.; Rizvi, S.I. Plant polyphenols as dietary antioxidants in human health and disease. Oxid. Med. Cell. Longev. 2009, 2, 270–278. [CrossRef]
  12. Gonçalves, E.M.; Pinheiro, J.; Abreu, M.; Brandão, T.R.S.; Silva, C.L.M. Carrot (Daucus carota L.) peroxidase inactivation, phenolic content and physical changes kinetics due to blanching. J. Food Eng. 2013, 97, 574–581. [CrossRef]
  13. Czepa, A.; Hofmann, T. Quantitative Studies and Sensory Analyses on the Influence of Cultivar, Spatial Tissue Distribution, and Industrial Processing on the Bitter O-Taste of Carrots (Daucus carota L.) and Carrot Products. J. Agric. Food Chem. 2004, 52, 4508–4514. [CrossRef] [PubMed]
  14. Sharma, K.D.; Karki, S.; Thakur, N.S.; Attri, S. Chemical composition, functional properties and processing of carrot—A review. J. Food Sci. Technol. 2012, 49, 22–32. [CrossRef] [PubMed]
  15. Zhang, D.; Hamauzu, Y. Phenolic compounds and their antioxidant properties in dierent tissues of carrots (Daucus carota L.). J. Food Agric. Environ. 2004, 2, 95–100.
  16. Alasalvar, C.; Al-Farsi, M.; Quantick, P.; Shahidi, F.; Wiktorowicz, R. Effect of chill storage and modified atmosphere packaging (MAP) on antioxidant activity, anthocyanins, carotenoids, phenolics and sensory quality of ready-to-eat shredded orange and purple carrots. Food Chem. 2005, 89, 69–76. [CrossRef]
  17. Gajewski, M.; Szymczak, P.; Elkner, K.; D ?abrowska, A.; Kret, A.; Danilcenko, H. Some Aspects of Nutritive and Biological Value of Carrot Cultivars with Orange, Yellow and Purple-Coloured Roots. Veg. Crop. Res. Bull. 2007, 67, 149–161. [CrossRef]
  18. Oviasogie, P.; Okoro, D.; Ndiokwere, C. Determination of total phenolic amount of some edible fruits and vegetables. African J. Biotechnol. 2009, 8, 2819–2820.
  19. Korkina, L.; Kostyuk, V.; De Luca, C.; Pastore, S. Plant phenylpropanoids as emerging anti-inflammatory agents. Mini-Rev. Med. Chem. 2011, 11, 823–835. [CrossRef]
  20. El-Seedi, H.R.; El-Said, A.M.A.; Khalifa, S.A.M.; Göransson, U.; Bohlin, L.; Borg-Karlson, A.-K.; Verpoorte, R. Biosynthesis, Natural Sources, Dietary Intake, Pharmacokinetic Properties, and Biological Activities of Hydroxycinnamic Acids. J. Agric. Food Chem. 2012, 60, 10877–10895. [CrossRef]
  21. Bartley, G.E.; Avena-Bustillos, R.J.; Du, W.-X.; Hidalgo, M.; Cain, B.; Breksa, A.P., III. Transcriptional regulation of chlorogenic acid biosynthesis in carrot root slices exposed to UV-B light. Plant. Gene 2016, 7, 1–10. [CrossRef]
  22. Vogt, T. Phenylpropanoid biosynthesis. Mol. Plant. 2010, 3, 2–20. [CrossRef]
  23. Gross, G.G. Phenolic acids. In Secondary Plant Products; Conn, E.E., Ed.; In the series The Biochemistry of Plants — A Comprehensive Treatise; Academic Press: New York, NY, USA, 1981; Volume 7, pp. 301–316.
  24. Manach, C.; Scalbert, A.; Morand, C.; Rémésy, C.; Jiménez, L. Polyphenols: Food sources and bioavailability. Am. J. Clin. Nutr. 2004, 79, 727–747. [CrossRef] [PubMed]
  25. Søltoft, M.; Nielsen, J.; Holst Laursen, K.; Husted, S.; Halekoh, U.; Knuthsen, P. Eects of Organic and Conventional Growth Systems on the Content of Flavonoids in Onions and Phenolic Acids in Carrots and Potatoes. J. Agric. Food Chem. 2010, 58, 10323–10329. [CrossRef] [PubMed]
  26. Singh, D.P.; Beloy, J.; McInerney, J.K.; Day, L. Impact of boron, calcium and genetic factors on vitamin C, carotenoids, phenolic acids, anthocyanins and antioxidant capacity of carrots (Daucus carota). Food Chem. 2012, 132, 1161–1170. [CrossRef] [PubMed]
  27. Kamiloglu, S.; Pasli, A.A.; Ozcelik, B.; Van Camp, J.; Capanoglu, E. Colour retention, anthocyanin stability and antioxidant capacity in black carrot (Daucus carota) jams and marmalades: Effect of processing, storage conditions and in vitro gastrointestinal digestion. J. Funct. Foods 2015, 13, 1–10. [CrossRef]
  28. Simões, A.D.N.; Allende, A.; Tudela, J.A.; Puschmann, R.; Gil, M.I. Optimum controlled atmospheres minimise respiration rate and quality losses while increase phenolic compounds of baby carrots. LWT Food Sci. Technol. 2011, 44, 277–283. [CrossRef]
  29. Becerra-Moreno, A.; Redondo-Gil, M.; Benavides, J.; Nair, V.; Cisneros-Zevallos, L.; Jacobo-Velázquez, D.A. Combined effect of water loss and wounding stress on gene activation of metabolic pathways associated with phenolic biosynthesis in carrot. Front. Plant. Sci. 2015, 6, 837. [CrossRef] [PubMed]
  30. Alegria, C.; Gonçalves, E.M.; Moldão-Martins, M.; Cisneros-Zevallos, L.; Abreu, M. Peel removal improves quality without antioxidant loss, through wound-induced phenolic biosynthesis in shredded carrot. Postharvest Biol. Technol. 2016, 120, 232–239. [CrossRef]
  31. Del Rosario Cuéllar-Villarreal, M.; Ortega-Hernández, E.; Becerra-Moreno, A.; Welti-Chanes, J.; CisnerosZevallos, L.; Jacobo-Velázquez, D.A. Eects of ultrasound treatment and storage time on the extractability and biosynthesis of nutraceuticals in carrot (Daucus carota). Postharvest Biol. Technol. 2016, 119, 18–26. [CrossRef]
  32. Carolina Formica-Oliveira, A.; Benito Martínez-Hernández, G.; Díaz-López, V.; Artés, F.; Artés-Hernández, F. Eects of UV-B and UV-C combination on phenolic compounds biosynthesis in fresh-cut carrots. Postharvest Biol. Technol. 2017, 127, 99–104. [CrossRef]
  33. Surjadinata, B.; Jacobo-Velázquez, D.; Cisneros-Zevallos, L. UVA, UVB and UVC Light Enhances the Biosynthesis of Phenolic Antioxidants in Fresh-Cut Carrot through a Synergistic Effect with Wounding. Molecules 2017, 22, 668. [CrossRef]
  34. Jacobo-Velázquez, D.A.; Martínez-Hernández, G.B.; del C. Rodríguez, S.; Cao, C.-M.; Cisneros-Zevallos, L. Plants as Biofactories: Physiological Role of Reactive Oxygen Species on the Accumulation of Phenolic Antioxidants in Carrot Tissue under Wounding and Hyperoxia Stress. J. Agric. Food Chem. 2011, 59, 6583–6593. [CrossRef] [PubMed]
  35. Surjadinata, B.B.; Cisneros-Zevallos, L. Biosynthesis of phenolic antioxidants in carrot tissue increases with wounding intensity. Food Chem. 2012, 134, 615–624. [CrossRef] [PubMed]
  36. Ma, T.; Tian, C.; Luob, J.; Zhouc, R.; Sun, X.; Ma, J. Influence of technical processing units on polyphenols and antioxidant capacity of carrot (Daucus carrota L.) juice. Food Chem. 2013, 141, 1637–1644. [CrossRef] [PubMed]
  37. Patras, A.; Tiwari, B.K.; Brunton, N.P. Influence of blanching and low temperature preservation strategies on antioxidant activity and phytochemical content of carrots, green beans and broccoli. LWT Food Sci. Technol. 2011, 44, 299–306. [CrossRef]
  38. Soto-Vaca, A.; Gutierrez, A.; Losso, J.N.; Xu, Z.; Finley, J.W. Evolution of Phenolic Compounds from Color and Flavor Problems to Health Benefits. J. Agric. Food Chem. 2012, 60, 6658–6677. [CrossRef]
  39. Stan, S.D.; Kar, S.; Stoner, G.D.; Singh, S.V. Bioactive food components and cancer risk reduction. J. Cell. Biochem. 2008, 104, 339–356. [CrossRef]
  40. Ghasemzadeh, A.; Ghasemzadeh, N. Flavonoids and phenolic acids: Role and biochemical activity in plants and human. J. Med. Plants Res. 2011, 5, 6697–6703. [CrossRef]
  41. Del Rio, D.; Rodriguez-Mateos, A.; Spencer, J.P.E.; Tognolini,M.; Borges, G.; Crozier, A. Dietary (Poly)phenolics in Human Health: Structures, Bioavailability, and Evidence of Protective Eects Against Chronic Diseases. Antioxid. Redox Signal. 2013, 18, 1818–1892. [CrossRef]
  42. Jing, P.; Bomser, J.A.; Schwartz, S.J.; He, J.; Magnuson, B.A.; Giusti, M.M. Structure-function relationships of anthocyanins from various anthocyanin-rich extracts on the inhibition of colon cancer cell growth. J. Agric. Food Chem. 2008, 56, 9391–9398. [CrossRef]
  43. Netzel, M.; Netzel, G.; Kammerer, D.R.; Schieber, A.; Carle, R.; Simons, L.; Bitsch, I.; Bitsch, R.; Konczak, I. Cancer cell antiproliferation activity and metabolism of black carrot anthocyanins. Innov. Food Sci. Emerg. Technol. 2007, 8, 365–372. [CrossRef]
  44. Akhtar, S.; Rauf, A.; Imran, M.; Qamar, M.; Riaz, M.; Mubarak, M.S. Black carrot (Daucus carota L.), dietary and health promoting perspectives of its polyphenols: A review. Trends Food Sci. Technol. 2017, 66, 36–47. [CrossRef] 45. Wang, L.S.; Stoner, G.D. Anthocyanins and their role in cancer prevention. Cancer Lett. 2008, 269, 281–290. [CrossRef] [PubMed]
  45. Wright, O.R.L.; Netzel, G.A.; Sakzewski, A.R. A randomized, double-blind, placebo-controlled trial of the effect of dried purple carrot on body mass, lipids, blood pressure, body composition, and inflammatory markers in overweight and obese adults: The QUENCH Trial. Can. J. Physiol. Pharmacol. 2013, 91, 480–488. [CrossRef] [PubMed]
  46. Águila Ruiz-Sola, M.; Rodríguez-Concepción, M. Carotenoid biosynthesis in arabidopsis: A colorful pathway. BioOne 2012, 1–28. [CrossRef] [PubMed].

Photo
Syed Sabreen
Corresponding author

Assistant Professor, Department of Pharmacology, SIMS College of Pharmacy, Affiliated to Acharya Nagarjuna University, Guntur, Andhra Pradesh, India.

Photo
L. Sucharitha
Co-author

SIMS College of Pharmacy, Affiliated to Acharya Nagarjuna University, Guntur, Andhra Pradesh, India.

Photo
Dr. Dhulipalla Curie
Co-author

SIMS College of Pharmacy, Affiliated to Acharya Nagarjuna University, Guntur, Andhra Pradesh, India.

Photo
T. Srinivas
Co-author

SIMS College of Pharmacy, Affiliated to Acharya Nagarjuna University, Guntur, Andhra Pradesh, India.

Photo
Thangabalan B
Co-author

Principal, SIMS College of Pharmacy, Affiliated to Acharya Nagarjuna University, Guntur, Andhra Pradesh, India.

Photo
Manitha Kumari
Co-author

SIMS College of Pharmacy, Affiliated to Acharya Nagarjuna University, Guntur, Andhra Pradesh, India.

Photo
Yalagala Jaya Manoj
Co-author

SIMS College of Pharmacy, Affiliated to Acharya Nagarjuna University, Guntur, Andhra Pradesh, India.

Photo
Th. Billgates
Co-author

SIMS College of Pharmacy, Affiliated to Acharya Nagarjuna University, Guntur, Andhra Pradesh, India.

Photo
Sk. Nousheen
Co-author

SIMS College of Pharmacy, Affiliated to Acharya Nagarjuna University, Guntur, Andhra Pradesh, India.

Syed Sabreen, Manitha Kumari, Yalagala Jaya Manoj, Th. Billgates, Sk. Nousheen, L. Sucharitha, Dr. Dhulipalla Curie, T. Srinivas, Thangabalan B., A Review Article of an Antioxidant Activity of Daucus Carota Root (Carrot), Int. J. of Pharm. Sci., 2026, Vol 4, Issue 3, 3291-3302. https://doi.org/10.5281/zenodo.19229448

More related articles
Preventive Medicine and Pharmacoeconomics: Shaping...
Galla Naga Deepika, Bandi Aasritha, Dasari Cherishma Sri, Dr. Adu...
Formulation And Evaluation of Herbal Body Wash Sol...
Tanuja Kadam , Bahaisti Patel, Sakshi Labhade , Rutuja Shirode ,...
Review On Abutilion Indicum (Mudra)...
Lahoo Balu Palave , Snehal Kothavale , Mahendra Shendkar, Leena p...
Development Of 1,5-Benzothiazepine-Based Molecules with Potential Antimicrobial ...
Priyanka, Neha Sahay, Deepak Kumar, Vineeta Rawat, Deval Harswrup, Priyanshu, Monika, ...
Spirulina: Nutritional and Therapeutic Potential as a Superfood...
Pooja Meka, Maheswari Geddada, Revanth Durga Chodipilli, Lokesh Babu Peddireddy, Sheba Khandavalli, ...
Synthesis, Characterization And Anti-Bacterial Activity Of Novel Chalcone Deriva...
R.Parasuraman , Vardhineedi Shirisha, K Pavan kumar, N Namitha, M Keerthana , N Prashanth reddy, ...
Related Articles
Formulation And Evaluation Of An Osmotic Drug Delivery System For An Antidiabeti...
Vishal R. Rasve, Vidya D. Waghmode, Akash S. Malthankar, Supriya S. Darandale, Rajiya A. Khan, Swati...
Revitalizing Pharmacy Education: Leveraging Freshers' Insights To Level Up Pedag...
S. G. Santhoshkumar, M. Jeyarahavi, S. Jerlin Epsiba, M. Manoj Gupta, Niranjani, T. Vishnu, ...
Topical Emulgel: Combining Emulsion and Gel for Improved Drug Delivery Efficienc...
Beeravelli Harshitha Reddy, M. Sunitha Reddy, K. Anie Vijetha, ...
Preventive Medicine and Pharmacoeconomics: Shaping Sustainable Healthcare System...
Galla Naga Deepika, Bandi Aasritha, Dasari Cherishma Sri, Dr. Adusumalli Surendra, ...
More related articles
Preventive Medicine and Pharmacoeconomics: Shaping Sustainable Healthcare System...
Galla Naga Deepika, Bandi Aasritha, Dasari Cherishma Sri, Dr. Adusumalli Surendra, ...
Formulation And Evaluation of Herbal Body Wash Solution ...
Tanuja Kadam , Bahaisti Patel, Sakshi Labhade , Rutuja Shirode , Shubham Bodkhe , Roshni Sayyad, Ka...
Review On Abutilion Indicum (Mudra)...
Lahoo Balu Palave , Snehal Kothavale , Mahendra Shendkar, Leena parkhi, Lalit Ambhore , Manish Bhosl...
Preventive Medicine and Pharmacoeconomics: Shaping Sustainable Healthcare System...
Galla Naga Deepika, Bandi Aasritha, Dasari Cherishma Sri, Dr. Adusumalli Surendra, ...
Formulation And Evaluation of Herbal Body Wash Solution ...
Tanuja Kadam , Bahaisti Patel, Sakshi Labhade , Rutuja Shirode , Shubham Bodkhe , Roshni Sayyad, Ka...
Review On Abutilion Indicum (Mudra)...
Lahoo Balu Palave , Snehal Kothavale , Mahendra Shendkar, Leena parkhi, Lalit Ambhore , Manish Bhosl...