View Article

Abstract

Furan a five membered aromatic heterocyclic ring system with O present at 1st position made up of 4C and4 H atoms furan ring is a part of many natural productslikeFurano flavonoid, furanocoumarins, etc... Furan nucleus show several biological applications and also shows strong affinity for a range of receptorsfuran and its derivatives are used in synthesis of many novel drugs. The antibacterial, antifungal, antiviral, anti-inflammatory, analgesic, anti-depressant, anti-anxiolytic, anti-Parkinson, anti-glaucoma, muscle-relaxant, anti-hypertensive, diuretics, anti-ulcer, anti-aging, anti-cancer, anti-osteoporosis, anti-sickling activities of furan make them frequently utilized. Furan is a plane colourless fluid which is highly volatile and combustiblein nature. This article aimsto review about the biological activities of furan and it`s derivativesduring past years.

Keywords

Heterocyclic compound, Furan, Antifungal, Antiviral, Antiulcer, Anticancer.

Introduction

Cyclic ring systems with at least one hetero atom are called heterocycles. Atoms other than carbon atoms like Nitrogen(N),Oxygen(O),Sulphur(S) are some of the most frequently used hetero atoms. Heterocycles are fond in almost all plants and animal products and are major constituents of almost half of the natural organic compounds alkaloids, natural dyes, proteins, enzymes, etc…are some of the examples of natural organic compounds Hetero cycles have wide range of applications in agrochemicals, veterinary, and pharmaceutical products these compounds are very important in daily life activity of humans beings starting from food to most complex cancer treatment drugs hormones, haemoglobin, vitamins, dyes and pigments, antibiotics, even most essential amino acids have heterocyclic structures in them . heterocycles can be classified into different categories based on their electronic structures, presence of double bond based on presence of double bond they are classified as saturated compounds and unsaturated compounds. Saturated heterocycles include piperidine, oxetane, etc. behave like acyclic derivatives with modified steric properties and does not possess any double bonds. unsaturated compounds include furan, pyrrole; thiophene, pyridine, etc…and these compounds will have double bonds.[1]

Furan:

Fig-1Furan

Furan is afive membered aromatic heterocyclic ring system comes under the category of unsaturated heterocycles oxygen is the main hetero atom present in this heterocycle. Furan is a bioactive aromatic compound with numerous biological applications .2-furoic acid was the first furan derivative found by Carl Wilhelm Scheufound in 1780.[2]

Physical Properties

Furan is highly volatile and combustible in nature it is a plane colourless liquid which can be boiled almost at ambient temperature and pressure rangeand has a boiling point of 32? melting point of furan is -85.6? and smells like chloroform. It dissolves in most organic solvents but relatively weakly soluble in water and highly soluble in organic solvents like acetone, alcohol, bran, ether.

Molecular weight: 68.07g/mol and a density of 0.936g/ml

Dipole moment: 0.72 Dybe [2]

Chemical properties of furan:

Furan has an oxygen moiety at 1st position with 2 lone pair of electrons. So, furan generally undergo electrophilic substitution reactions (at 2nd position) like nitration, halogenation, sulfonation etc... all these electrophilic reactions are only possible because of electron donating effect shown by oxygen [2]

Aromatic Nature of Furan:

Furan has a total of 6π

 electrons and 32 protons. The electron:proton ratio of furan is 0.1875 (6:32)Furan is an electron rich compound it sources it`s electronsfrom both carbon nuclei (4) and oxygen nuclei(2).
  • π-Electrons:Furan has a planar ring structure with (4n+2)π electrons where n can be any integer with a positive value(including0) n=1 for furan.
  • Planarity: The ring is planar allowing for effective overlap of p-orbitals
  • Conjugation: Each atom in the ring has a p-orbital

This delocalisation of electrons across the ring provides furan with its aromatic stability.Aromaticity of furan helps in increasing the shelf life of the product any aromatic ring participate in π-π stacking interactions with DNA proteins and other biological targets such interactions can improve binding affinity between dug and target aromatic rings affects the electrons distribution between drug and target increase its potency and also increase metabolic stability of the drug all most all aromatic drugs have lipophilicity which helps in penetration of drugs into cell membranes , synergistic effect i.e aromatic compounds synergise with other drugs enhancing their efficacy (furan containing compounds will enhance the  efficacy of anti- bacterial activity of anti-biotics)[2]

Biological significance of furan and its derivatives:

Furan as Anti -bacterial agent:

This information has been extracted from the experiment done by Saeid H, Al-Sayeed-al…[20] 2,4-di substituted furans showed markable effects against the gram (+) bacteria than gram (-) ones  these show their activity by cell wall destruction method  the gram(+) bacteria has an cell wall which is made up of peptidoglycan layer which is ineffective and permeable to drug components whereas the gram (-) ones are made of peptidoglycan and phospholipidic layer which is impermeable and furan or its derivates show no action against it .The presence of methoxy, chloro and fluoro(more electro negative group ) substituted on phenyl groups (aromatic ring connected to amidenitrogen) improve its activity against bacteria (+) like Streptococcus pyogenes, Proteus vulgaris and Escherichia coli.

Results:

Minimum Inhibitory Concentration :100µg/ml High activity was shown by 5-[(Benzene Sulfonyl-methyl-amino)-methyl]-furan-3-carboxylicacid-(2,6-dimethoxy-phenyl)-amide when Ampicillin is taken as standard  Invitro studies are done using agar well diffusion method.

Fig-2 Anti-Bacterial Activity of Furan

Biological Significance of Furan & it`s derivatives as Anti-Cancer Agent:

This experiment was conducted by Jaros?aw Widelski [21] A kind of malignant neoplasm where abnormal cell growthand cell division is triggered by various factors which may lead to malignant anaemia, organ rupture, etc…. eventually to death. Furocoumarin is a secondary metabolite synthesised against bacterial or fungal infections these are used in combination with ultra violet radiation therapy in treating mainly breast cancer.

Mechanism: Psoralen is a linear furanocoumarin it inhibits cell cycle and proliferation and cells are programmed to death(apoptosis or autophagy) these components basically act by inhibition of the activation of transcription factor NFkB(nuclear factor kappa B) which is responsible for the converting polarised epithelial cells to mesenchymal cell and it also inhibit anti-apoptotic proteins (c-FLIP,FADD like 1L-1β-converting enzymes ) and activate pro apoptotic polypeptides(n-terminal kinase) this helps in blocking of cell cycle at G1/S phase. Psoralen and its derivatives reduce the count of cytoplasmic exosomes which are generally secreted out by the cell by reducing its count the amount of accumulation is also reduced and increase other cancer drug concentrations in blood plasma this phenomenon is also known as multidrug resistance (MDR) found by Dr Wang and his colleagues

Method of Analysis: Flow Cytometry

In this method we use HL60cell(cell line derived from peripheral blood) and PHA(phytohemagglutinin) stimulated PBLs(peripheral lymphocytes) to check the immunomodulating activity of Psoralen using fluorescent markers and taking cell size cell shape as parameters. And unstimulated PBLs cells as control group

Results: The % inhibition of cell growth from G0 to G1 phase.

Table-4[21]

Time

Control group

Psoralen

24hrs(HL60 cells)

41.1 %

44.0%

24hrs(PBLs cells)

66.0 %

56.9%

Minimum Effective Concentration :80µg/ml

The presence of Methoxy groups(5-methoxypsoralen) showed maximum effect with least concentration(100µM)

Fig-3 Anti-Cancer Activity of Furan

Biological significance of furan& it`s derivatives as an Anti-Inflammatory agent:

The information has been extracted from the experiment done by Marques RV, Sestito SEet-al..[22] Inflammation is a basic reactionto any kind of infections or injury. Redness warmth, swelling & pain are absorbed as a response which activates the immune system to produce inflammatory mediators like Nitric oxide synthase, cellular cytokinin interleukins and prostaglandin,however prolonged inflammation may lead to autoimmune disorders, cancer, vascular disorders.

Mechanism: it involves down regulation of mitogen activated protein kinase and activator protein-1 activation.

Method used to analyse: Using RAW 264.7 murine macrophage cell culture (macrophage cell line obtained from tumour in male mouse) when induced with Abelson murine leukaemia virus) with different concentrations in the presence and absence of LPS (Lippo polysaccharide a pathogen associated molecular pathway) LPS induced inflammatory mediators were analysed by ELISA and real time PCR and modifications in the   signalling pathway is analysed by western blotting technique Danshen (Methoxy benzo(B) Furan) bioactive compound obtained from salvia miltiorrhiza a type of microbe

Results: 20µM is maximum effective concentration after this it may lead to neuro & hepatotoxicity it showed a decrease in levels of IL-1β, IL-6, NO, PEG2

Fig-4 Anti-Inflammatory activity of furan

Biological significance of furan& it`s derivatives as anti- glaucoma agent:

This information has been extracted from the experiment done by Ayla Balaban, Gokhan Parlakgumus et-al….[23] Glaucoma is a condition with elevated intra ocular pressure(caused by increased aqueous humour levels) in the eye which may lead to optic nerve damage followed by vision impairment. Carbonic anhydrase enzyme responsible to produce aqueoushumourhelps to maintain the eye pressure by converting co2&water to bicarbonates and its products which influence fluid transport. 2- acetylfuranmethanesulfonylhydrazone, 5-nitro-2-furaldedehydemethanesulfonylhydrazone furansulfonyl hydrazone derivatives synthesised from hydrazine and sulfonic acid as primary reactants

Mechanism: These compounds competitively inhibithCA-1 (hydroxy carboxylic acid receptor -1)decrease production of aqueous humour in the ciliary bodyof eye there by it decreases the IOP.

Methods used to analysis:

Spectrophotometric method used to analyse inhibitory effects of compounds using parameters like Km, IC50& K. Electro chemical method used to analyse redox behaviours of the compounds the peaks are determinedusing differential pulse voltameter

Results:5-nitro-2-furaldedehydemethanesulfonylhydrazone had shown moreinhibitory effect than the other due to the presence of NO2 groupsbecause of its electron withdrawing nature which increased affinity with enzymes active sites with nearest activity to standard compound AAZ (acetazolamide).

Table-5[23]

 

Compound

Km(M)

IC50(M)

Ki(M)

Inhibition type

 

 

 

25.30×10-5

1.02×10-4

5.88×10-6

Competitive

 

 

24.21×10-5

1.12×10-3

2.55×10-5

Competitive

Fig-5,6 Anti-Glaucomactivity of Furan.

Biological significance of furan & it`s derivatives as Anti-ulcer agent:

This information has been extracted from the experiment done by Mariano Ezequiel Vera, María Laura Mariani et-al… [24] Any destruction caused in the gut mucosal liningwill lead to ulcer formation there are many factors which can trigger this condition some of them are Helicobacter pylori infections, anti- inflammatory drugs and imbalance in serotonin levels, excessive activation of mast cell (leads to excessive HCL) Derivatives of sesquiterpene lactones showed remarkable effects. (40mg/kg) Dehydroleucodine (obtained from Artemisia douglasiana), (40mg/kg) Xanthain (Xanthium cavanillesii Schouw), (40mg/kg)3-benzoxy methyl-5H-furan-2-one (semi synthetic butanolide)

Mechanism: These lactones exhibit their mast cell stabilizing effect by inhibiting degranulation and serotonin release from human and murine(rat) mast cell and also block signalling pathway downstream of cytosolic calcium increase it’s a dose dependent mechanism

Methods used to analyse:2 methods of evaluation is done lesion. Effect of 3 lactones Effect of 3 lactones on erosion

1.Scoring system:estimates efficiency through degree of erosion

2.Light microscopy: gives an estimation on no.of mast cells and degree of lesion

Carboxy methyl cellulose is taken as reference group(0.4%)

Results:
comparison betweeneffect on ulcer both individually and in combination with 48/80 (a standard polymer decrease ulcer by degranulating mast cells) 48/80 also taken standard as control group all thelactones’groups showed same effect individually and in combination with48/80SEM(structural equation modelling p is just its degree of indication)++ p<0.001 and for individually 48/80 SEM+++ p,0.001.

Serum serotonin concentrations:

The lactones SEM+++p<0.001 FOR 48\80 group SEM+p<0.005 it shows that the lactone groups has shown overall great anti- ulcer activity than the control and the 48/80 compound.

Fig-7 Anti-Ulcer Activity of Furan

Fig-8 Anti-Ulcer Activity of Furan

Fig-9 Anti-Ulcer Activity of Furan

Biological significance of furan & it`s derivatives as Anti-Parkinsoniansagent:

This information has been extracted from the experiment done by. LeWitt PA, Aradi SD, Hauser et-al..[25] Parkinsons is a neurological disorder characterised by tremors, bradykinesia, rigidity, impaired coordination due to lot of reasons like age, loss of dopamine producing neurons (in substantia nigra part of brain) or Lewybodies (abnormal protein lumps in brain). Preladenant is an adenosine receptor antagonist(A2A) that improves motor functionsit`s is obtained by modifying side chain of SCH-58261(10)which is currently under phase 2 clinical trialsregistered with no:NCT00406029

Mechanism: Adinosine (A2A) receptorare generally responsible for brake on movement or stopping the motor activity by blocking its functions we can improve the motor function in parkinsonian patients. preladenant acts as an antagonist to the receptor and reduce mean daily off time

Study design: according to block randomised schedule patients (234)were given 1mg,2mg,5mg,10mgor a placebo. Efficacy analysis:234Patients (189preladenant,45 placebo)

Efficacy results: mean daily off is the major parameter considered here which means how effectively the medication managing the symptoms for a longer period of time 5mg Preladenant: reduced mean daily off time by 1hrcompared to placebo(95%CI(Confidance Index)2.1to0 p(probability of observed results)=0.0486 10mg preladenant: reduced mean daily off time by 1.2 hr compared to placebo (95% CI:2.2to0.2;p=0.019) Both 1mg &2mg didn’t show any significant effect mean daily off time is also low 1mg(0.2hr), 2mg(-0.7hr)

Side effects:

Table-6[25]

Name Side Effect

Preladenant

Placebo

Somnolence

10%

6%

Dyskinesia

9%

13%

Insomnia

5%

9%

Results: 5mg and 10mg showed significant result and significantly reduced off time in patients.

Fig-10Anti-Parkinson activity of furan

Biological significance of furan & it`s derivatives as Muscle relaxant& Anti- hypertensive agent:

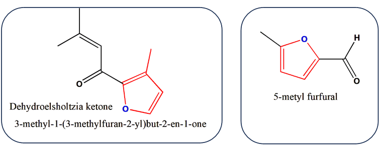
This information has been extracted from the experiment conducted by Irma Martinsen, Vilma Zigmantaitet-al…[26] In a recent invitro study on male Wistarratsshowed anti -hypertensive and muscle relaxant propertiesof essential oil which has been extracted from the Elsholtzia Ciliata. it showed a concentration dependent reduction in phenylephrine induced contraction in both prostate and aorta. The main constituents of this essential oil are 2-acetyl furan (2AF) and 5-methyl furan(5-AF)Dehydroelsholtzia ketone(86.23%), Elsholtzia ketone (10.64%)

Mechanism: they show these activities by blockingα-adrenergic receptors mostly ofα1A1Dsubtypesit also showed inhibitory effects on Na+ and Ca2+ current this effect is mediated by inhibition of L-type calcium channels

Method of analysis: They used Tension measurement as a parameter in this we record the force generated by the aortic rings and ventral prostrate strips when they contract Resting tension: the tissues initially stretched to a specific resting tension for aortic rings is 1.5g and for prostrate strip is 1g to stimulate one contraction or to stimulate physiological conditions

Results: n represents no.of experiments conducted

Table-7[26]

Values

Prostrate

Aortic rings

IC50

0.24±0.03µL/ml(n=10)

0.72 0.11(n=4)

EC50 values of phenylephrine is0.18 0.13 (n=5)

EC50 values of2AF is 0.81 0.3 (n=5)

EC50 values of 5MF is 0.69 0.23 (n=5)

SEM p<0.005

The essential oil showed significant efforts as anti-hypertensive agent and smooth muscle relaxant on both aortic rings and prostrate strips.

Fig-11,12Muscle relaxant &anti-hypertensive activity of furan

Biological significance of furan & it`s derivatives as Anti-Microbial agent:

The information hasbeen extracted from the experiment done by Piotr Iwanowski, Ashima Bhatia et-al..[27]

Antibiotic resistance is the major concern in the pharmaceutical field resistance it can be developed by many reasons due to misuse of antibiotics etc... One of such cases is Macrolide resistant to Pneumoniacoharbouring penicillin resistant isolates in community -acquired pneumonia in adults.

Nafithromycin(WCK4873)(96) is a semi synthetic antibiotic derived from kitasamycin a natural macrolide produced by a bacterium called Streptomyces kitasatoensis

Mechanism:

 Though nafithromycinclassified as a ketolide it has an additionalγ-lactone ring instead of carbon moiety. This plays an important role in inhibiting RNA-dependent protein biosynthesis and enables nafithromycin to show potent activity againstmacrolide-resistantPneumonia,methicillin-susceptibleS.aureus21ATCC29213 E.faecalisATCC29211,S.pyogenes, H.influenza.

Methods used to analyse:

Pharmacokinetics and pharmacodynamics were tested using randomised double bindplacebo-controlled studies (clinicaltrialsno:NCTO3979859)

Single Ascending Dose study:

Dose:100to1200mg

Conditions: Administered under fasted and fed conditions

Findings: Nafithromycin was well tolerated at all dose levels recorded no deaths and emergency adverse conditions the study didn’t show any significant difference in tolerability between fed and fasted conditions.

Multiple Ascending Dose Study:

Doses: 600,800&1000mg administered once daily for 7 days under fed conditions

Findings: Nafithromycin was well tolerated at all doses no serious ADRS recorded.

Results:

Single Dose Study:

Highest plasma concentrations wereobserved between 1 and 6 hours post dose. Maximum plasma concentration ranged from 0.099 to 1.742 mg/L Plasmaexposure increased more than dose proportionallyand was influenced by food intake

Multiple dose study:

On 7 days, highest plasma concentration (1.340 to 2.987mg/L) AUCO-24 ranged from 13.48 to 43.46hmg/L Steady state was achieved after 3 days for 600&800 mg doses and after 4 days for 1000mg dose.

Fig-15 Anti-Microbial Activity Of Furan

(3R,3aS,4R,6R,8R,9R,10R,12R,15R)-9-{[(2S,3R,4S,6R)-4-(Diméthylamino)-3-hydroxy-6-méthyltétrahydro-2H-pyran-2-yl]oxy}-15-éthyl-8-méthoxy-4,6,8,10,12,15a-hexaméthyl-2,5,11,13-tétraoxo-N′-{(1S)-1-[5-(2-p yridinyl)-1,3,4-thiadiazol-2-yl]éthoxy}tétradécahydro-2H-furo[2,3-c]oxacyclotétradécine-3-carboximidamide (Nafithromycin).

Biological significance of furan & its derivatives as Anti-Sickling agent:

This information has been extracted from the experiment done by Pak Hin Chow Charles D et-al..[28] Sickle cell anaemia is a pathological disorder related to RBC. Shape of RBC is generally biconcave which has a larger surface area but in this condition the patients RBC will change their shape into a sickle-like structure which reduces surface area and O2 carrying capacity of cell there may be many causes for this condition like genetic mutations, dehydration, decrease in haemoglobin level. 5-HMF(5-hydroxymetyl furfural), 5-PMFC(5-(phenoxymethyl)furan2-carbaldehyde) are obtained as by products from Maillard reaction in which we use sweet potatoand other sugar  containing food to obtain it. It can be extracted by dehydration of carbohydrates such as fructose, glucose etc.under acidic conditions. It is currently under phase-2 clinicaltrails(NCT01737814)

Mechanism: Under hypoxic conditions RBC activate a cation(aquaporin) leak which may lead to cellular dehydration and sickle cell formation.Aquaporin-1 is a water channel present in blood cells which maintains water homeostasis and cell structure 5-HMF and its derivatives act by blockingAQP-1 ION channel and inhibiting itsleakage(conductance) which decreases chances of haemolysis and sickle cell formation.

Methods used to analyse: To know about efficacies of different products

Electrophysiology: in this method we record voltage between two electrodes in both non-AQP-1 controlled and AQP-1 expressing oocytes

Quantitative swelling assay: In this method swelling rate is measured the oocytes are kept in 50% hypotonic saline and cross- sectional area of the oocytes are measured.

Results:

5-PMFC is the most potent inhibitor of AQP-1ion conductance (98%blocking rate at 100µM) When AQP-1ion channel blocker(80µM) given along with a selective haemoglobin modifying agent 5-NMFC(2.5mM) showed increased effectiveness to anti-sickling property in red blood cells of humans suffering with sickle cell anaemia. RBC has another non selective cation channel known as piezo-1 is also not affected by 5-HMF[at 2.55mM]

Fig-16Anti-sickling agent of furan

Fig-17 Anti-Sickling Agent of Furan

Biological significance of furan& it`s derivatives as Anti- analgesic agent:

This information has been extracted from the experiment done by Sergei N. Igidov, Irina A. Gorbunova et-al..[28] Anti-analgesic activity of drugs helps in pain management in patients suffering from chronic pain,post-surgical pain, and pain from injuries even used in treatment of arthritis, neuropathic pain. 5-aryl-1-(furan-2-carbonyl)-1H-pyrazole-3-carboxylates by decyclizationreaction the obtained product was analysed by NMR &IR spectroscopy

Mechanism: Neurons present in the peripheral somatosensory system which includes sensory nerve endings known as nociceptors which has the capacity to detect pain and produce a neurotransmitter (prostaglandin) in response which increase the sensation of pain. The compound we took act by blocking the cyclooxygenase (COX-1) enzyme which is responsible for the synthesis of prostaglandins.

Method used for analysis: Hot plate method is used for the analysis the compound to be analysed is given as an intraperitoneal injection for both sexes of mice here the length of time mice stayed on the hot plate without any signs of defensive pain reflex acts as an indicator to change in pain sensitivity. Every compound is tested on 6 animals  Here we used Metamizole sodium injection with a dose of 93mg/kg (ED50)has been used as a standard. Latent period is the time taken for the onset of defensive reflex from the start maximum latent period was 40 s but in the experiment animals with latent period of not more than 15 seconds were used.

Results: Table-8[28]

 

Compound

Dosage

(Mg/Kg)

Latent Period of Defensive Reflex (120min), S

N'-[5-(4-Methylphenyl)-2-oxofuran-3(2H)-

ylidene]furan-2-carbohydrazide (4b)

50

26.60±1.36

N'-(2-Oxo-5-phenylfuran-3(2?)-ylidene)furan-2-

carbohydrazide (4a)

50

24.80±0.97

Metamizole sodium

93 (ED50)

16.60±1.00

From the above table we can say that compounds 4b had shown highest analgesic activity.

Fig-18 Anti-Analgesic Activity of Furan

Fig-19Anti-Analgesic Activity of Furan

Fig-20Metamizole Sodium

Biological significance of furan& its derivatives as Anti-Depressant & Anti-Anxiety agents:

The information has been extracted from the experiment done by Jagdish Kumar, Gita Chawla et-al..[29] These central nervous system disorders occur due to various physiological and sociological factors. The pathophysiology of depression is not clearly known but decrease in concentrations of monoamines such as dopamine, serotonin and norepinephrine lead to these conditions. 3-(furan-2-yl)-5-(substituted phenyl)-4,5-dihydro-1,2-oxazole derivatives are obtained by a condensation reaction known as Claisen Schmidt different types of aromatic aldehydes are also used which further undergo cyclisation reaction to form products

Mechanism: The compoundact by stopping the metabolism if monoamines by inhibiting an enzyme called monoamine oxidase. Italso binds with falcipain-2 receptor stops the receptor activity by occupying its active site by forming a hydrogen bond with it. Which decrease oxidative stress and therefore it also decreases anxiety and depression.

Methods used to analyse:

For Depression: (Forced swim Test)

Albino mice 0f 20 to 25 g they are injected with synthesised compound injected intraperitoneally (10 mg/kg) and placed into a smallcylinder containing water with fixed volume for 6mins in the span of 6 mins we only record the duration of immobility (after 2mins of struggle the rats are immobile and only moments required to keep their head float was observed(last 4min) After 24hrs imipramine reference drug is injected to same mice and 5mins swim cycle is conducted and results are noted

For Anxiety: (Elevated plus maze method)

Mice were divided into different groupsinjected with diazepam (2mg/kg) and test compounds 2ml/kg intraperitoneally givenno. of entries towards open arms and closed arms and time of stay was recorded

Docking Studies

Glide module of Schrodinger-9 software is used to perform the experiment a using protein preparation wizard method&root mean square deviation <303D structure of falcipain-2 receptor is prepared using proper protonation and ioniser subprogramme at pH 7.2±0.2 energy minimised /cleaned up and Glide XP used for final docking studies.

Results:(4-[3-(Furan-2-yl)-4,5-dihydro-1,2-oxazol-5-yl]phenol)has the best anti-depressant activity with immobility time153.16±0.30**change from control -7.46 MAO inhibition 47.33±0.49Neurotoxicity 62.00±0.57

Anti-anxiety activity: 15.86 preference to open arm and with an average time spent at the open arm 46.00±0.57**With neurotoxicity as 62.00±0.

Fig-21 Anti -Depressant& Analgesic Activity of Furan

Biological significance of furan &it`s derivatives as Anti-Cholinesterase& Anti-Alzheimer agent:

This information has been extracted from the experiment done by Sadaf Saeed, Ameer Fawad Zahoor et-al..[30] Alzheimer`s is a neuro logical disorder characterised with symptoms like progressive memory loss, behavioural abnormalities, disorientation, decline in speech. It mainly occurs when there is an imbalance between the levels of acetyl cholinesterase (Ach) neurotransmitter. Ach increases memory encoding capacity by making cortical circuits respond to sensory stimuli. Benzofuran thiazole derivatives are biproducts of hydrazinolysis of ester-4 with hydrazine monohydrate followed by cyclocondensation.

Mechanism: Benzo furo thiazole derivatives block the entrance of active site present in the acetylcholinesterase which blocks the entry of acetyl choline these benzo furo derivatives restricts the swinging gate present in the enzyme which is important for the entry of substrate band release of product these compounds enter the catalytic triad (a set of 3 amino acid residues that work together in the active site) of AchE and stop the enzymatic activity.

Methods used to analyse:

Ellman`s Method:

It`s is a spectrophotometric method in which the quantity of sulfhydryl groups are measured Achecatalyses the acetyl choline to produce thiocholine and acetate thiocholine and acetate thiocholine reacts with the Elliman reagent from yellow colour which is measured at412nm.

Results:

10d shown highest inhibition activity due the presence of phenyl ring of acetamide and triazole when eserine taken as reference compound

Table-9[30]

 

Compound

Inhibition%(0.5mM)

IC50 (µM)

5-bromobenzofuran-triazoles derivative

81.45 ± 0.50

0.55 ± 1.00

Eserine

93.20 ± 1.15

0.06 ± 0.01

Fig-22 Eserine

Fig-23 Anti-Cholinesterase &Ant-Alzheimer’s Activity O Furan

Biological significance of furan & it`s derivatives as Anti-osteoporosis agent:

Si-tu Xue, Lei Zhang et-al.. did this experiment.et-al. [31] Our skeletal system generally consists of 2 types of cells osteoclast(bone breaking) and osteoblast(bone making)when heavy loss of bone occurs due to osteoclast cell activity or other factors may lead to osteoporosis. N-(2-(dimethylamine) ethyl)-6-methoxy benzofuran-2-carboxamide (125 compound) a benzofuran derivative this is used as a novel drug.

Mechanism: BMP-2(Bone Morphogenetic Protein) transcription pathway. BMP-2 is a protein which phosphorylates SMADs (proteins these activate Runx-2(runt-related transcription factor) protein through transcription induce cell differentiation and cell growth of osteoblast in bones Benzofurans show their action by upregulating BMP-2 protein and help reduce resorption.

Method of analysis:

Dexamethasone treated zebra fish model

In this model induce dexamethasone intotibia bone with various concentrations like 1,5,25,100µM And the untreated fish is taken as reference group. Bone resorption is observed and equal ratios of 125 compound is also given using integrated optical density the bone is measured in both

Effect of Runx-2 transcription in invitro:

Lovastatin is taken as reference compound at different concentration its upregulation of proteins is compared with 125 group analysed by blotting techniques using protein samples.

Results:

In dexamethasone treated fish model 25µM of 125 completely offset the dexamethasone effect and reversed the resorption. In effect of Runax-2 transcription assay was performed and gave a comparison between upregulation activity of the protein factor table-10[30]

 

Lovastatin

125compound

Concentration

10µM

100µM

%of upregulation atthat conc.

255.6%

267.2%

Fig-24 Anti-osteoporosis activity of furan

Biological significance of furan & it`s derivatives as Anti-convulsant agents:

This information has been extracted from the experiment done by Khan SA, Naim MJ, Akhtar MJ. et-al...[32] Convulsions are involuntary muscle contraction of body experienced by people suffering with epilepsy, brain trauma (i/njuries to brain) people suffering with infections which affect brain. 1-(4-(2-(4-chlorobenzoyl) benzofuran-3-ylamino)-4- oxo butyl)pyrrolidine-2-carboxylic acid (8b)1-(3-(2-(4-chlorobenzoyl)benzofuran-3-ylamino)-3- oxo propyl)pyrrolidine-2-carboxylic acid (7b)are analysed using NMR spectroscopy.

Mechanism:

MES model (Maximal Electroshock Seizure) in this method compounds act by inhibiting voltage- gated sodium channels which decrease the neuronal excitation and prevent conclusions. Sc MET model (subcutaneous Metrazol) in this method compounds act inhibiting GABA a g-protein couple receptor responsible for the excitation of neurons.

Method of analysis:

MES test:

60HZ alternating current of 50mA is induced for 0.2 sec and different concentrations 30,100,300mg/kg of compound 7b and 8b are also administered through ip every 1hr interval

Sc MET test:

It was mainly performed by to know about neurotoxicity Metrazol induce seizures (50mg/kg) different concentrations 30,100,300mg/kg of compound 7b and 8b are also administered through ip every 1hr interval.

Results:

MES test:

Effective median dose (ED50) 7b-56.7mg/kg dose (ED50)-8b-36.1mg/kg scMEt test: compounds did not show any significant neurotoxic effects at 300mg/kg 7b-(100mg/kg, 0.5h;300mg/kg) 8b-(100mg/kg o.5h and 4h) showed maximum anti-convulsive effect.

Fig-25Anti-convulsant activity of furan         Fig-26 Anti-convulsant activity of furan

CONCLUSION:

The reviewed compounds of furan and it`s derivatives had shown affinity towards wide range of biological activities their biological and therapeutical values has been given by wide range of researchers and scientists. many significant activities like antibacterial, antifungal, antiviral, anti-inflammatory, analgesic, anti-depressant,anti-anxiolytic, anti-Parkinson, anti-glaucoma, muscle-relaxant, anti-hypertensive, diuretics, anti-ulcer, anti-aging, anti-cancer, anti-osteoporosis, anti-sickling activities have been showed by furan and its derivatives. In recent years the pharmaceuticals containing furan nucleus are rapidly growing and becoming very important in class or therapeutic agents they are likely to replace existing drugs in market due to their low toxicity and high efficacy many novel drug delivery systems are also being formulated using furan moiety drugs. these drugs show promising results in treat of many medical conditions and show a promising progress with regard to order compounds.

REFERENCES

        1. Kabir E, Uzzaman M. A review on biological and medicinal impact of heterocyclic compounds. Results in Chemistry. 2022 Jan 1;4:100606.
        2. Nivrutti GP. Furan: A Promising Scaffold for Biological Activity.
        3. Stiller CO, Hjemdahl P. Lessons from 20 years with COX?2 inhibitors: Importance of dose–response considerations and fair play in comparative trials. Journal of Internal Medicine. 2022 Oct;292(4):557-74.
        4. Fadel C, Giorgi M. Synopsis of the pharmacokinetics, pharmacodynamics, applications, and safety of firocoxib in horses. Veterinary and Animal Science. 2023 Mar 1;19:100286.
        5. Loh GO, Wong EY, Tan YT, Ong LM, Ng RS, Wee HC, Peh KK. Simple and fast LC-MS/MS method for quantification of terazosin in human plasma and application to bioequivalence study. Journal of Chromatography B. 2021 Jan 15;1163:122517
        6. Reist C, Streja E, Tang CC, Shapiro B, Mintz J, Hollifield M. Prazosin for treatment of post-traumatic stress disorder: a systematic review and meta-analysis. CNS spectrums. 2021 Aug;26(4):338-44.
        7. Kapourani A, Kontogiannopoulos KN, Barmpalexis P. A review on the role of pilocarpine on the management of xerostomia and the importance of the topical administration systems development. Pharmaceuticals. 2022 Jun 18;15(6):762.
        8. Dos Santos C, Dos Santos LS, Franco OL. Fosfomycin and nitrofurantoin: classic antibiotics and perspectives. The Journal of Antibiotics. 2021 Sep;74(9):547-58.
        9. Yang G, Ding S, Zhang J, Gu L, Zhai W, Kong C. Research progress on metabolites of nitrofurazone in aquatic products. Heliyon. 2024 Apr 16.
        10. McCarrell JL, Bailey TA, Duncan NA, Covington LP, Clifford KM, Hall 2nd RG, Blaszczyk AT. A review of citalopram dose restrictions in the treatment of neuropsychiatric disorders in older adults. Mental Health Clinician. 2019 Jul 1;9(4):280-6.
        11. Johansson S, Read J, Oliver S, Steinberg M, Li Y, Lisbon E, Mathews D, Leese PT, Martin P. Pharmacokinetic evaluations of the co-administrations of vandetanib and metformin, digoxin, midazolam, omeprazole or ranitidine. Clinical pharmacokinetics. 2014 Sep;53:837-47.
        12. Hughes AN, Li X, Lehman JS, Nelson SA, DiCaudo DJ, Mudappathi R, Hwang A, Kechter J, Pittelkow MR, Mangold AR, Sekulic A. Drug Repurposing Using Molecular Network Analysis Identifies Jak as Targetable Driver in Necrobiosis Lipoidica. JID Innovations. 2024 Nov 1;4(6):100296.
        13. Shing RH, Clayton LB, Smith SL, Watson MJ, McKenzie LM, Chalmers DP, Whitaker G, Bilmen JG. The novel rapid formulation of intravenous dantrolene (NPJ5008) versus standard dantrolene (Dantrium®): A clinical part-randomised phase 1 study in healthy volunteers. European Journal of Anaesthesiology| EJA. 2024 May 1;41(5):381-90.
        14. Ebrahim I, Maartens G, Wiesner L, Orrell C, Smythe W, McIlleron H. Pharmacokinetic profile and safety of adjusted doses of darunavir/ritonavir with rifampicin in people living with HIV. Journal of Antimicrobial Chemotherapy. 2020 Apr;75(4):1019-25.
        15. Cash TP, Alcalá S, Rico-Ferreira MD, Hernández-Encinas E, García J, Albarrán MI, Valle S, Muñoz J, Martínez-González S, Blanco-Aparicio C, Pastor J. Induction of lysosome membrane permeabilization as a therapeutic strategy to target pancreatic cancer stem cells. Cancers. 2020 Jul 4;12(7):1790.
        16. Rose R, Mitchell E, Van Der Graaf P, Takaichi D, Hosogi J, Geerts H. A quantitative systems pharmacology model for simulating OFF-Time in augmentation trials for Parkinson’s disease: application to preladenant. Journal of Pharmacokinetics and Pharmacodynamics. 2022 Dec;49(6):593-606.
        17. Joshi AS, Shah RK, Suthar MH, Keharia UH. Evaluation of rationality of antimicrobial and antidiarrheal fixed dose combination available in Indian market. National Journal of Physiology, Pharmacy and Pharmacology. 2021;11(2):222-6.
        18. Saeid H, Al-sayed H, Bader M. A review on biological and medicinal significance of furan. AlQalam Journal of Medical and Applied Sciences. 2023 Feb 18:44-58.
        19. Sumorek-Wiadro J, Zaj?c A, Maciejczyk A, Jakubowicz-Gil J. Furanocoumarins in anticancer therapy–For and against. Fitoterapia. 2020 Apr 1;142:104492.
        20. Marques RV, Sestito SE, Bourgaud F, Miguel S, Cailotto F, Reboul P, Jouzeau JY, Rahuel-Clermont S, Boschi-Muller S, Simonsen HT, Moulin D. Anti-inflammatory activity of bryophytes extracts in LPS-stimulated RAW264. 7 murine macrophages. Molecules. 2022 Mar 17;27(6):1940.
        21. Gündüzalp AB, Parlakgümü? G, Uzun D, Özmen ÜÖ, Özbek N, Sar? M, Tunç T. Carbonic anhydrase inhibitors: Synthesis, characterization and inhibition activities of furan sulfonylhydrazones against carbonic anhydrase I (hCA I). Journal of Molecular Structure. 2016 Feb 5;1105:332-40.
        22. Vera ME, Mariani ML, Aguilera C, Penissi AB. Effect of a Cytoprotective Dose of Dehydroleucodine, Xanthatin, and 3-Benzyloxymethyl-5 H-furan-2-one on Gastric Mucosal Lesions Induced by Mast Cell Activation. International Journal of Molecular Sciences. 2021 Jun 1;22(11):5983..LeWitt PA, Aradi SD, Hauser RA, Rascol O. The challenge of developing adenosine A2A antagonists for Parkinson disease: Istradefylline, preladenant, and tozadenant. Parkinsonism & Related Disorders. 2020 Nov 1;80:S54-63.
        23. LeWitt PA, Aradi SD, Hauser RA, Rascol O. The challenge of developing adenosine A2A antagonists for Parkinson disease: Istradefylline, preladenant, and tozadenant. Parkinsonism & Related Disorders. 2020 Nov 1;80:S54-63.
        24. Martišien? I, Zigmantait? V, Pudžiuvelyt? L, Bernatonien? J, Jurevi?ius J. Elsholtzia ciliata Essential Oil Exhibits a Smooth Muscle Relaxant Effect. Pharmaceuticals. 2023 Oct 15;16(10):1464.
        25. Mazur M, Mas?owiec D. Antimicrobial activity of lactones. Antibiotics. 2022 Sep 29;11(10):1327.
        26. Chow PH, Cox CD, Pei JV, Anabaraonye N, Nourmohammadi S, Henderson SW, Martinac B, Abdulmalik O, Yool AJ. Inhibition of the aquaporin-1 cation conductance by selected furan compounds reduces red blood cell sickling. Frontiers in Pharmacology. 2022 Jan 17;12:794791.
        27. Igidov SN, Gorbunova IA, Turyshev AY, Shipilovskikh DA, Kozlov DA, Rogova AS, Makhmudov RR, Silaichev PS, Igidov NM. Synthesis, recyclization under the action of methanol and analgetic activity of N'-(5-aryl-2-oxofuran-3 (2 H)-ylidene) furan-2-carbohydrazides. Chimica Techno Acta. 2023;10(1):202310101.
        28. Kumar J, Chawla G, Gupta H, Akhtar M, Tanwar OP, Bhowmik M. Synthesis and neuropharmacological evaluation of some new isoxazoline derivatives as antidepressant and anti-anxiety agents. Afr. J. Pharm. Pharmacol. 2013;7(22):1523-30.
        29. Saeed S, Zahoor AF, Kamal S, Raza Z, Bhat MA. Unfolding the antibacterial activity and acetylcholinesterase inhibition potential of benzofuran-triazole hybrids: Synthesis, antibacterial, acetylcholinesterase inhibition, and molecular docking studies. Molecules. 2023 Aug 10;28(16):6007
        30. Xue ST, Zhang L, Xie ZS, Jin J, Guo HF, Yi H, Liu ZY, Li ZR. Substituted benzothiophene and benzofuran derivatives as a novel class of bone morphogenetic Protein-2 upregulators: Synthesis, anti-osteoporosis efficacies in ovariectomized rats and a zebrafish model, and ADME properties. European Journal of Medicinal Chemistry. 2020 Aug 15;200:112465.
        31. Pal R, Singh K, Paul J, Khan SA, Naim MJ, Akhtar MJ. Overview of chemistry and therapeutic potential of non-nitrogen heterocyclics as anticonvulsant agents. Current Neuropharmacology. 2022 Aug 1;20(8):1519-53.

Reference

  1. Kabir E, Uzzaman M. A review on biological and medicinal impact of heterocyclic compounds. Results in Chemistry. 2022 Jan 1;4:100606.
  2. Nivrutti GP. Furan: A Promising Scaffold for Biological Activity.
  3. Stiller CO, Hjemdahl P. Lessons from 20 years with COX?2 inhibitors: Importance of dose–response considerations and fair play in comparative trials. Journal of Internal Medicine. 2022 Oct;292(4):557-74.
  4. Fadel C, Giorgi M. Synopsis of the pharmacokinetics, pharmacodynamics, applications, and safety of firocoxib in horses. Veterinary and Animal Science. 2023 Mar 1;19:100286.
  5. Loh GO, Wong EY, Tan YT, Ong LM, Ng RS, Wee HC, Peh KK. Simple and fast LC-MS/MS method for quantification of terazosin in human plasma and application to bioequivalence study. Journal of Chromatography B. 2021 Jan 15;1163:122517
  6. Reist C, Streja E, Tang CC, Shapiro B, Mintz J, Hollifield M. Prazosin for treatment of post-traumatic stress disorder: a systematic review and meta-analysis. CNS spectrums. 2021 Aug;26(4):338-44.
  7. Kapourani A, Kontogiannopoulos KN, Barmpalexis P. A review on the role of pilocarpine on the management of xerostomia and the importance of the topical administration systems development. Pharmaceuticals. 2022 Jun 18;15(6):762.
  8. Dos Santos C, Dos Santos LS, Franco OL. Fosfomycin and nitrofurantoin: classic antibiotics and perspectives. The Journal of Antibiotics. 2021 Sep;74(9):547-58.
  9. Yang G, Ding S, Zhang J, Gu L, Zhai W, Kong C. Research progress on metabolites of nitrofurazone in aquatic products. Heliyon. 2024 Apr 16.
  10. McCarrell JL, Bailey TA, Duncan NA, Covington LP, Clifford KM, Hall 2nd RG, Blaszczyk AT. A review of citalopram dose restrictions in the treatment of neuropsychiatric disorders in older adults. Mental Health Clinician. 2019 Jul 1;9(4):280-6.
  11. Johansson S, Read J, Oliver S, Steinberg M, Li Y, Lisbon E, Mathews D, Leese PT, Martin P. Pharmacokinetic evaluations of the co-administrations of vandetanib and metformin, digoxin, midazolam, omeprazole or ranitidine. Clinical pharmacokinetics. 2014 Sep;53:837-47.
  12. Hughes AN, Li X, Lehman JS, Nelson SA, DiCaudo DJ, Mudappathi R, Hwang A, Kechter J, Pittelkow MR, Mangold AR, Sekulic A. Drug Repurposing Using Molecular Network Analysis Identifies Jak as Targetable Driver in Necrobiosis Lipoidica. JID Innovations. 2024 Nov 1;4(6):100296.
  13. Shing RH, Clayton LB, Smith SL, Watson MJ, McKenzie LM, Chalmers DP, Whitaker G, Bilmen JG. The novel rapid formulation of intravenous dantrolene (NPJ5008) versus standard dantrolene (Dantrium®): A clinical part-randomised phase 1 study in healthy volunteers. European Journal of Anaesthesiology| EJA. 2024 May 1;41(5):381-90.
  14. Ebrahim I, Maartens G, Wiesner L, Orrell C, Smythe W, McIlleron H. Pharmacokinetic profile and safety of adjusted doses of darunavir/ritonavir with rifampicin in people living with HIV. Journal of Antimicrobial Chemotherapy. 2020 Apr;75(4):1019-25.
  15. Cash TP, Alcalá S, Rico-Ferreira MD, Hernández-Encinas E, García J, Albarrán MI, Valle S, Muñoz J, Martínez-González S, Blanco-Aparicio C, Pastor J. Induction of lysosome membrane permeabilization as a therapeutic strategy to target pancreatic cancer stem cells. Cancers. 2020 Jul 4;12(7):1790.
  16. Rose R, Mitchell E, Van Der Graaf P, Takaichi D, Hosogi J, Geerts H. A quantitative systems pharmacology model for simulating OFF-Time in augmentation trials for Parkinson’s disease: application to preladenant. Journal of Pharmacokinetics and Pharmacodynamics. 2022 Dec;49(6):593-606.
  17. Joshi AS, Shah RK, Suthar MH, Keharia UH. Evaluation of rationality of antimicrobial and antidiarrheal fixed dose combination available in Indian market. National Journal of Physiology, Pharmacy and Pharmacology. 2021;11(2):222-6.
  18. Saeid H, Al-sayed H, Bader M. A review on biological and medicinal significance of furan. AlQalam Journal of Medical and Applied Sciences. 2023 Feb 18:44-58.
  19. Sumorek-Wiadro J, Zaj?c A, Maciejczyk A, Jakubowicz-Gil J. Furanocoumarins in anticancer therapy–For and against. Fitoterapia. 2020 Apr 1;142:104492.
  20. Marques RV, Sestito SE, Bourgaud F, Miguel S, Cailotto F, Reboul P, Jouzeau JY, Rahuel-Clermont S, Boschi-Muller S, Simonsen HT, Moulin D. Anti-inflammatory activity of bryophytes extracts in LPS-stimulated RAW264. 7 murine macrophages. Molecules. 2022 Mar 17;27(6):1940.
  21. Gündüzalp AB, Parlakgümü? G, Uzun D, Özmen ÜÖ, Özbek N, Sar? M, Tunç T. Carbonic anhydrase inhibitors: Synthesis, characterization and inhibition activities of furan sulfonylhydrazones against carbonic anhydrase I (hCA I). Journal of Molecular Structure. 2016 Feb 5;1105:332-40.
  22. Vera ME, Mariani ML, Aguilera C, Penissi AB. Effect of a Cytoprotective Dose of Dehydroleucodine, Xanthatin, and 3-Benzyloxymethyl-5 H-furan-2-one on Gastric Mucosal Lesions Induced by Mast Cell Activation. International Journal of Molecular Sciences. 2021 Jun 1;22(11):5983..LeWitt PA, Aradi SD, Hauser RA, Rascol O. The challenge of developing adenosine A2A antagonists for Parkinson disease: Istradefylline, preladenant, and tozadenant. Parkinsonism & Related Disorders. 2020 Nov 1;80:S54-63.
  23. LeWitt PA, Aradi SD, Hauser RA, Rascol O. The challenge of developing adenosine A2A antagonists for Parkinson disease: Istradefylline, preladenant, and tozadenant. Parkinsonism & Related Disorders. 2020 Nov 1;80:S54-63.
  24. Martišien? I, Zigmantait? V, Pudžiuvelyt? L, Bernatonien? J, Jurevi?ius J. Elsholtzia ciliata Essential Oil Exhibits a Smooth Muscle Relaxant Effect. Pharmaceuticals. 2023 Oct 15;16(10):1464.
  25. Mazur M, Mas?owiec D. Antimicrobial activity of lactones. Antibiotics. 2022 Sep 29;11(10):1327.
  26. Chow PH, Cox CD, Pei JV, Anabaraonye N, Nourmohammadi S, Henderson SW, Martinac B, Abdulmalik O, Yool AJ. Inhibition of the aquaporin-1 cation conductance by selected furan compounds reduces red blood cell sickling. Frontiers in Pharmacology. 2022 Jan 17;12:794791.
  27. Igidov SN, Gorbunova IA, Turyshev AY, Shipilovskikh DA, Kozlov DA, Rogova AS, Makhmudov RR, Silaichev PS, Igidov NM. Synthesis, recyclization under the action of methanol and analgetic activity of N'-(5-aryl-2-oxofuran-3 (2 H)-ylidene) furan-2-carbohydrazides. Chimica Techno Acta. 2023;10(1):202310101.
  28. Kumar J, Chawla G, Gupta H, Akhtar M, Tanwar OP, Bhowmik M. Synthesis and neuropharmacological evaluation of some new isoxazoline derivatives as antidepressant and anti-anxiety agents. Afr. J. Pharm. Pharmacol. 2013;7(22):1523-30.
  29. Saeed S, Zahoor AF, Kamal S, Raza Z, Bhat MA. Unfolding the antibacterial activity and acetylcholinesterase inhibition potential of benzofuran-triazole hybrids: Synthesis, antibacterial, acetylcholinesterase inhibition, and molecular docking studies. Molecules. 2023 Aug 10;28(16):6007
  30. Xue ST, Zhang L, Xie ZS, Jin J, Guo HF, Yi H, Liu ZY, Li ZR. Substituted benzothiophene and benzofuran derivatives as a novel class of bone morphogenetic Protein-2 upregulators: Synthesis, anti-osteoporosis efficacies in ovariectomized rats and a zebrafish model, and ADME properties. European Journal of Medicinal Chemistry. 2020 Aug 15;200:112465.
  31. Pal R, Singh K, Paul J, Khan SA, Naim MJ, Akhtar MJ. Overview of chemistry and therapeutic potential of non-nitrogen heterocyclics as anticonvulsant agents. Current Neuropharmacology. 2022 Aug 1;20(8):1519-53.

Photo
Dr. K. Chandra Sekhar M. S.
Corresponding author

Dr. K.V. Subba Reddy Institute of Pharmacy, Dupadu, Kurnool.

Photo
K. Sravana Lakshmi
Co-author

Dr. K.V. Subba Reddy Institute of Pharmacy, Dupadu, Kurnool.

Dr. K. Chandra Sekhar M. S.*, K. Sravana Lakshmi, A Review Article on Recent Advances in The Pharmacological Diversification of Imidazole Derivatives, Int. J. of Pharm. Sci., 2025, Vol 3, Issue 4, 1581-1599 https://doi.org/10.5281/zenodo.15205082

More related articles
Oral Candidiasis Mimicking Leukoplakia in An Immun...
Dr. S. Mahalakshmi, Jayasri K., V. Nafeela Safreen, R. Sivaraj, G...
The Therapeutic Role of Aloe Barbadensis Miller Le...
shreeya sanjay shinde, Rushikesh Gajanan Deshmukh, J. S. Kolsure,...
Herbal Shampoos Enriched with Grape Extract: A Rev...
Aryan Satpute, Apurva Kamble, Prajakta Vidhate, Shalaka Katkar, V...
An Overview of Medicinal Plants Available in Vikas Institute of Pharmaceutical S...
Suresh Babu Emandi, Dr. G. Sumalatha, Pasalapudi Lakshmi Poojitha, Pedde Kusumanjali, Penki Anusha, ...
A Comprehensive Review Article On: Antimicrobial and Antiviralpotential of Pomeg...
Jamdhade Rutuja , Kedar Pratiksha, Kanade Satwik, Shubham Mhaske, ...
A Review on Medicinal Plants with Anti- Ulcer Activity ...
Viraj Shelke, Dr. Arshu Patel, Apeksha Fulsundar, ...
Related Articles
Unlocking the Benefits of Antioxidants Beta Carotene and Quercetin Potential for...
Kavita Gaisamudre, Prakash Sarwade, Lakshay Gupta, Mohd. Zubair Arshad, Jay Gupta, Roshan Kumar, Sen...
A Review on Diabetes Mellitus...
Jagruti G. Musale, Dikshita D. Wagh, Rishikesh S. Bachhav, Smita S. Aher, ...
Molecular Detection and Drug Resistance in Multidrug-Resistant Tuberculosis (MDR...
Debobrata Sharma, Zannatul Ferdouse, Jannat Jabbar, Md. Rakibul Islam, Marjia Islam Jemi, ...
A Review on Design, Formulation, and Performance Evaluation of Cosmetic Face Ser...
Shweta Ram, Gyaneshwar Jain, Dr. Gyanesh Kumar Sahu, Suchita Wamankar, ...
Oral Candidiasis Mimicking Leukoplakia in An Immunocompetent Male: A Rare Case R...
Dr. S. Mahalakshmi, Jayasri K., V. Nafeela Safreen, R. Sivaraj, G. R. Haripriya, B. Deepasree, ...
More related articles
Oral Candidiasis Mimicking Leukoplakia in An Immunocompetent Male: A Rare Case R...
Dr. S. Mahalakshmi, Jayasri K., V. Nafeela Safreen, R. Sivaraj, G. R. Haripriya, B. Deepasree, ...
The Therapeutic Role of Aloe Barbadensis Miller Leaf in Managing Asthma and Infl...
shreeya sanjay shinde, Rushikesh Gajanan Deshmukh, J. S. Kolsure, ...
Herbal Shampoos Enriched with Grape Extract: A Review...
Aryan Satpute, Apurva Kamble, Prajakta Vidhate, Shalaka Katkar, Vedika Andhale, Harshada Pardhi, G. ...
Oral Candidiasis Mimicking Leukoplakia in An Immunocompetent Male: A Rare Case R...
Dr. S. Mahalakshmi, Jayasri K., V. Nafeela Safreen, R. Sivaraj, G. R. Haripriya, B. Deepasree, ...
The Therapeutic Role of Aloe Barbadensis Miller Leaf in Managing Asthma and Infl...
shreeya sanjay shinde, Rushikesh Gajanan Deshmukh, J. S. Kolsure, ...
Herbal Shampoos Enriched with Grape Extract: A Review...
Aryan Satpute, Apurva Kamble, Prajakta Vidhate, Shalaka Katkar, Vedika Andhale, Harshada Pardhi, G. ...