View Article

Abstract

Wound healing is a complex, multi-phase biological process involving haemostasis, inflammation, proliferation, and tissue remodelling. Effective wound management requires materials that not only protect the wound site but also actively support tissue regeneration and prevent infection. Chitosan, a natural polysaccharide derived from chitin, has emerged as a promising biopolymer in wound care due to its excellent biocompatibility, biodegradability, intrinsic antimicrobial activity, haemostatic properties, and ability to promote cell proliferation and collagen synthesis. This review highlights the role of chitosan and its various formulation platforms including hydrogels, films, membranes, nanoparticles, nanofibers, sprayable systems, and injectable hydrogels in enhancing different stages of wound healing. These formulations offer versatile options for addressing the challenges of both acute and chronic wounds by maintaining a moist environment, delivering bioactive agents in a controlled manner, and facilitating tissue repair. Recent advances in formulation strategies and material modifications have further expanded the potential of chitosan-based wound dressings. However, clinical translation requires overcoming challenges related to scalability, standardization, and regulatory approval. This review provides a comprehensive overview of current developments in chitosan-based wound healing technologies and underscores the need for continued research to optimize their therapeutic efficacy and clinical applicability.

Keywords

Chitosan, Chitosan derivatives, Biopolymers, Hydrogel, Nanoparticles, Wound healing, Wound dressings, Skin regeneration.

Introduction

A wound is an injury that happens to a living tissue breaking the skin and mucous membrane and in turn causing pain and infection. It can be due to chemical, mechanical, or thermal trauma such as cut, blow, burn, pressure or any other impact on to the skin. It may also develop due to diseases like diabetes mellitus immunologic diseases or arterial insufficiency. A wound may vary in the appearance depending on location of injury, depth of injury, injury mechanism, acute vs chronic and wound sterility. Treatment strategies for wound healing will depend on classification of wound, whether acute or chronic.1,2

Figure 1: Types of wounds3

Figure 2: Wound classification with respect to thickness, complexity, age and origin4

WOUND HEALING

Wound healing is a highly coordinated complex biological process that restores the integrity as well as the function of injured tissue. It maintains haemostasis and prevents infection on the injured tissue. It involves a complex interaction of cellular and molecular mechanisms which includes inflammation, tissue regeneration and remodelling. The process is highly influenced by factors like age, infection, comorbidities (for ex. Diabetes mellitus) and whether the wound is acute or chronic.4,5

STAGES OF WOUND HEALING

The process of wound healing advances through four overlapping and distinct phases.

Stage 1: HAEMOSTASIS

This is an immediate response to any injury, which aims to stop bleeding. On injury, blood vessels constrict causing vasoconstriction, and the platelets aggregate, forming a fibrin clot, which also serves as a temporary matrix to support cell migration and the release of signalling molecules.

Stage 2: INFLAMMATION

This phase begins within four hours of injury and may last for several days. During this stage, vasodilation occurs, leading to infiltration of immune cells like macrophages and neutrophils to the wound site. This phase is essential for preparing wound bed and for tissue regeneration.

Stage 3: PROLIFERATION

The main characteristic of this phase is tissue regeneration and matrix formation. Fibroblasts produce extracellular matrix components like collagen and fibronectin. The wound is re-epithelised with keratinocytes. New blood vessels are formed from endothelial cells through angiogenesis which restores oxygen as well as nutrient supply. Granulation tissue fills the wound bed, serving as a platform for further development.

Stage 4: REMODELLING (maturation)

This is the final phase of wound healing that can last for several weeks and months. Here type III collagen is replaced by type I stronger collagen, tensile strength is increased by crosslinking and reorganization of collagen fibres. Extracellular matrix gets degraded by matrix metalloproteinases, normal tissue architecture is restored.

Understanding of all the phases of wound healing process is essential for designing proper wound healing strategies.6,7,8

Table 1: Factors affecting wound healing8,9

LOCAL FACTORS

SYSTEMIC FACTORS

Oxygenation

Age

Infection

Sex hormones

Tissue oedema

Stress

Maceration

Ischemia

Necrosis

Diseases like diabetes, keloids, fibrosis, healing disorders, jaundice

 

Medications like glucocorticoids, NSAIDs, chemotherapy

 

Obesity

 

Alcoholism and smoking

 

Immunocompromised conditions like cancer, radiation therapy, AIDS

 

Nutrition

Figure 2: Different treatment strategies used for wound healing

Even though, the body has the ability to heal itself, sometimes wounds fail to heal by normal process, leading to chronic wounds like pressure sores, diabetic foot ulcers, and venous leg ulcers. These chronic wounds can impact the quality of life of the patients and can cause a significant burden to healthcare. Thus, the development of advanced wound care materials is very essential, especially those that promote faster wound healing as well as prevent infection.

Among varieties of biomaterials Chitosan based materials are of growing interest. Chitosan is a natural polysaccharide explored for wound healing, which is derived from chitin. It has gained attention due to its biodegradability, biocompatibility, non-toxicity, and antimicrobial and haemostatic properties. Chitosan based formulations ranging from films and hydrogels to nanoparticles and scaffolds have shown excellent promise in promoting wound healing.4

CHITOSAN

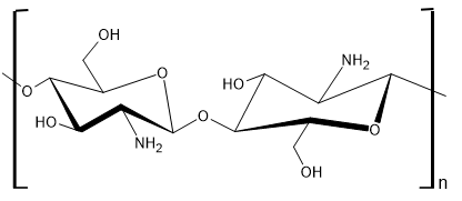
Chitosan is a biodegradable polysaccharide obtained by deacetylation of chitin, which is extracted from the shells of crustaceans like crab, lobster, shrimp etc., insects and fungal cell walls. Chemical composition of chitosan consists of β-(1     4)- linked D-glucosamine and N-acetyl-D-glucosamine units.10,11

 

Figure 3: Structure of Chitosan

Figure 3: Properties of chitosan10

Chitosan is a highly attractive biomaterial due its properties as well as its availability. It has vast biomedical applications, particularly in the field of wound healing.4

PREPARATION OF CHITOSAN

The deacetylation of chitin is the basis for both chemical and enzymatic processes that convert it to chitosan. In order to create D-glucosamine units, which contain free amino groups and improve the polymers' solubility in aqueous conditions, acetyl groups from N-acetylglucosamine are removed during the process of deacetylation, which turns chitin into chitosan. Acetamide groups are chemically hydrolysed at higher temperatures and in highly alkaline atmosphere. Typically, the reaction is conducted in a heterogeneous phase with concentrated KOH or NaOH solutions (40–50%) at temperatures over 100°C, preferably in an inert atmosphere to prevent the polymer from depolymerizing. The source of the material utilized and the desired level of deacetylation are a couple of the variables that affect the reaction's specific conditions. To create biological chitosan, enzymatic techniques employing chitinases or chitin deacetylases are a viable alternative. For the first time, these enzymes were discovered and partially isolated from Absidia coerulea and Mucor roxii fungal extracts.11,12

Table 2: General properties and grades of Chitosan10,13

GENERAL PROPERTIES

Synonyms

Poly(D-glucosamine), deacetylated chitin, poliglusam, chicol

Molecular formula

C56H103N9O39

Molecular weight

50-2000 kDa

CAS number

9012-76-4

Degree of deacetylation

70-95%

GRADES OF CHITOSAN

Degree of deacetylation 70-85%

Partially soluble in water and commonly used in various applications, including food preservation, wastewater treatment, and drug delivery.

Degree of deacetylation 85-95%

More soluble in water and suitable for applications requiring water solubility, such as pharmaceutical formulations and cosmetic products.

Degree of deacetylation 95-100%

Very difficult to achieve and requires specialized processing, but offers the best water solubility and is suitable for specific applications.

Low Mw (<300 kDa)

Suitable for applications like wound dressings, food preservation, and molecular imprinting.

Moderate Mw (300 kDa - 1000 kDa)

Versatile and used for a wide range of applications, including drug delivery, tissue engineering, and food packaging.

High Mw (>300 kDa)

Often preferred for drug delivery systems, scaffold materials for tissue engineering, and cell immobilization

Chitosan Oligosaccharides

Smaller fragments of chitosan with increased water solubility, suitable for applications like plant growth stimulation and drug delivery.

Modified chitosan

Chitosan modified with various functional groups (e.g., glycol chitosan, carboxyl chitosan) to enhance solubility, biocompatibility, and specific biological activities.

WOUND HEALING ACTIVITY OF CHITOSAN

The most remarkable feature of chitosan is its bioactivity in the wound environment, where it exerts multiple effects that jointly enhance the healing process. Because of the positively charged amino groups at physiological pH, chitosan can interact with bioactive molecules and negatively charged cell membrane, leading to diverse biological effects.

Chitosan contributes to various phases of wound healing cascade through different mechanisms such as haemostatic activity, stimulation of cell proliferation and migration, anti-inflammatory effect, promotion of collagen synthesis, moisture retention and barrier formation.4

 HEMOSTSTIC ACTIVITY:

Chitosan promotes platelet adhesion and aggregation, which in turn facilitates rapid blood clot formation useful in trauma or surgical wounds.

STIMULATION OF CELL PROLIFERATION AND MIGRATION:

Chitosan aids the migration and proliferation of fibroblasts, endothelial cells and keratinocytes which promotes proliferation as well as enhance granulation tissue formation and reepithelization.

ANTI-INFLAMMATORY EFFECTS:

Chitosan regulates inflammatory response by reducing infiltration of inflammatory cells and supressing cytokines. This can favour wound healing.

PROMOTION OF COLLAGEN SYNTHESIS AND EXTRACELLULAR MATRIX REMODELLING:

Chitosan stimulate fibroblast to produce collagen and extra cellular matrix proteins, thereby supporting tissue remodelling and restoring skin structure.

MOISTURE RETENTION AND BARRIER FORMATION:

Chitosan based films and hydrogels provide moist wound environment, which can promote healing process and act as physical barrier to many contaminants.4

ANTIMICROBIAL ACTIVITY OF CHITOSAN

One of the most important advantages of chitosan in wound healing application is its broad-spectrum antimicrobial activity. It is effective against both gram-positive and gram-negative bacteria as well as fungi. The antimicrobial mechanism is primarily due to electrostatic interactions, inhibition of nutrient uptake, chelation of essential ions and DNA binding.14,15

ELECTROSTATIC INTERACTIONS:

Chitosan binds to negatively charged bacterial cell walls because of its polycationic nature. This binding disrupts membrane integrity which leads to leakage of intracellular contents.

INHIBITION OF NUTRIENT UPTAKE:

Chitosan forms a polymeric barrier around microbial cells thereby inhibiting nutrient transport and metabolism.

CHELATION OF ESSENTIAL IONS:

Chitosan chelates essential trace elements like Ca2+, Fe2+, Mg2+ etc., which disrupts microbial enzymes and growth.

DNA BINDING:

Low molecular weight chitosan can penetrate bacterial cells, binds to DNA, thereby interfering transcription and replication.15

APPLICATION OF CHITOSAN BASED FORMULATION FOR WOUND HEALING

CHITOSAN FILMS AND MEMBRANES:

Chitosan films and membranes are now being utilized for its biodegradability, mechanical flexibility, non-irritancy, compatibility with wide range of materials, moisture retaining capacity as well as antimicrobial effect. Chitosan films serve multiple functions as wound dressing, they form a protective barrier against microbial invasion and mechanical trauma. They also maintain a moist environment for tissue repair and allows gaseous exchange which is essential for maintaining cellular activity. Moreover, chitosan films have shown its ability in skin tissue engineering by acting as a base for supporting cell attachment, proliferation and differentiation. Many studies explore the versatility of chitosan for acute wound, ulcers, surgical wounds and burns.16,17

Table 3: Chitosan films and their applications

STUDY

RESULT

Reference

Chitosan/PVA based hydrogel films containing honey for treatment of wound healing

The film showed remarkable swelling, moisture uptake and mechanical properties, as well as smooth surface which was ideal for wound healing. The in-vitro release of honey demonstrated its potential to be formulated as controlled drug delivery system.

16

Chitosan/pectin/ZnO porous films for the treatment of wounds

 

The film showed improved cell proliferation and migration ability for the effective wound healing; and exhibited antimicrobial activity against bacteria (E. coli and S. aureus) and fungi (A. niger).

17

Chitosan stabilized silver nanoparticle-containing film for wound healing

The optimized chitosan stabilized silver nanoparticles film showed the highest % inhibition against E. coli, higher wound closure rate and faster wound healing compared to the marketed gel and blank chitosan film.

18

Chitosan, carboxymethyl cellulose, beeswax and tannic acid composite thin film for enhanced wound healing

Thin film enhanced burn and excision wound healing in rabbit model. Complete regeneration of skin was observed in 10–12 days.

19

Periplaneta americana remnant chitosan/polysaccharide composite film for enhanced wound healing

P. americana remnant chitosan has a low crystallinity, low molecular weight, and easily modifiable structural properties. It is easy-to-administer, cost-effective, as well as effective dressing candidate for wound treatment.

20

Wound Healing Property of quercetin ZnO/CuO nanocomposite embedded Chitosan Film

The ZnO/CuO-Chitosan exhibited predominantly enhanced cell migration and wound closure at 12 h. it also showed progressive recovery in 14 days

21

Chitosan associated with pentoxifylline films for healing cutaneous wounds

All materials demonstrated a positive effect on wound healing with around minimum of 82%-90% wound reduction after nine days of treatment. Higher concentration of pentoxifylline accelerates skin-wound reduction.

22

Chitosan-based composite film dressings with pH-sensitive purple cabbage anthocyanins, copper sulphide nanoparticles, and gentamicin for hastened diabetic wound healing

The film hastened the recovery of infected defective skin of diabetic rats, which could heal around 92.05 % of open wounds over a period of two-week of treatment.

23

Natural fluorescent carbon quantum dots implanted polyvinyl alcohol/chitosan film with high bactericidal activity and photoregulation for infected wound healing

The composite film showed magnificant bacteriostatic and wound healing effects in a mouse model with infected wounds

24

Ethanolic Allium Sativum extract and chitosan-based hydrogel film, serving as skin tissue regeneration platform for 2nd degree burn wound healing

The film potentially reduced the wound size and increased percent re-epithelization on the 14th day of the in vivo experiment. It also attracted fibroblasts and macrophages at the wound site along with uniform and compact development of collagen fibers

25

CHITOSAN HYDROGELS:

Chitosan hydrogels are three-dimensional, crosslinked polymer networks, which is formed by hydrating chitosan in aqueous solutions, capable of absorbing and retaining large amounts of water while maintaining their structural integrity. These hydrogels combine the intrinsic bioactivity of chitosan with the beneficial properties of hydrogel systems, making them highly suitable for wound healing applications.

The high-water content of chitosan hydrogels provides a moist wound environment that promotes faster wound healing, reduces dehydration and pain, and promotes cellular functions such as migration and proliferation. The soft, elastic nature of chitosan hydrogel mimics the native extracellular matrix, providing an ideal scaffold for tissue regeneration.

Table 4: Chitosan hydrogels and their applications

STUDY

RESULT

Reference

Injectable self-healing adhesive chitosan hydrogel with tannic acid for skin wound repair

This hydrogel showed higher level of reactive oxygen species scavenging activity, broad-spectrum antibacterial ability, as well as rapid hemostatic capability

26

An injectable, self-healing hydrogel with intrinsic antibacterial and antioxidant properties was developed using dynamic covalent bonding between boronic acid and catechol groups in quaternized chitosan, combined with in-situ encapsulation of epigallocatechin-3-gallate

The dynamic covalent network enabled shear-thinning injection and rapid self-healing. In vivo studies using a full-thickness skin defect model demonstrated effective wound healing and tissue regeneration, highlighting the hydrogel's potential as an advanced wound dressing

27

Injectable oxidized alginate/ carboxylmethyl chitosan hydrogels functionalized with keratin nanoparticles with facilitating epithelization capability and nanosized-EGCG covered with Ag nanoparticles with radicals scavenging capability for wound repair

In this work, keratin nanoparticles and Ag nanoparticles functionalization endowed injectable hydrogels with the capabilities of scavenging radicals and facilitating epithelization, which is a promising application in wound repair

28

Adhesive, antibacterial and double crosslinked carboxylated polyvinyl alcohol/chitosan hydrogel to enhance dynamic skin wound healing

The hydrogel exhibited excellent swelling ratio and suitable biodegradability, which is beneficial to the tissue repair. The hydrogel could shorten skin healing time to 14 days, and obviously accelerated skin structure reconstruction by promoting angiogenesis and collagen deposition

29

CHITOSAN NANOPARTICLES AND NANOFIBERS:

Chitosan based nanostructures like nanoparticles and nanofibers have emerged as an advanced platform for wound healing owing to their large surface area, tunable physiochemical properties, ability to deliver bioactive components in a controlled manner. Chitosan nanoparticles are synthesized by ionic gelation, emulsion crosslinking or self-assembly, resulting in nanocarriers with excellent drug entrapment efficiency and controlled release properties. Chitosan nanoparticles have positive surface charge which can adhere to negatively charged bio-membranes, thereby enhancing cellular uptake and interaction with wound bed. Chitosan nanofibers are formulated via electrospinning, producing a fibrous mat that closely mimic natural extracellular matrix structure. These nanofibers exhibit high porosity and surface area, moisture retention as well as customizable, therefore enhance re-epithelization, angiogenesis and collagen deposition. This makes them promising candidates for advanced wound care.

Table 5: Chitosan nanoparticles and nanofibers and their applications

STUDY

RESULT

Reference

Chitosan nanofiber biocomposites (chitosan/polyethylene oxide nanofibers armed with antibacterial silver and zinc oxide nanoparticles) for application in wound healing

The nanocomposites exhibited a high antioxidant effect as well as antibacterial activity against Pseudomonas aeruginosa, Staphylococcus aureus, and Escherichia coli

30

Nano-based wound dressing containing nanoparticles of chitosan encapsulated with green synthesized cerium oxide nanoparticles using Thymus vulgaris plant extract

The nanocomposites exhibited high antibacterial performance against S. aureus, also it significantly boosted the repair rate of diabetic wounds by up to 95.47 % after 15 days

31

Composite electrospun chitosan nanofibrous material containing combination of silver and curcumin nanoparticles

It showed effective activity against both Gram-negative and Gram-positive bacteria. Also enhanced wound closure rates when compared to commercial AquacelAg

32

chitosan/polyethyleneoxide/ CuFe2O4 nanofibers for potential application in wound healing

 

The nanofibers exhibited significant migration and growth of fibroblast cells at the edge of the wound. Histopathological analysis of the wounds showed increased wound healing ability and regeneration of sebaceous glands and hair follicles within the skin

33

Electrospun mesoporous hydroxyapatite nanoparticle-loaded chitosan nanofiber developed using pluronic F127 for enhanced wound healing

wound dressing showed higher wound closure efficacy than the control group. As well as the pathological analysis demonstrated better granulation tissue development and greater re-epithelialization of wounds

34

Modified nanofiber containing chitosan and graphene oxide-magnetite nanoparticles as potent material for smart wound dressing

Nanofiber dressing showed good antimicrobial properties against gram-positive and gram-negative bacteria.

35

Novel bilayered PCL/PVA electrospun nanofiber incorporated Chitosan-LL37 and Chitosan-VEGF nanoparticles for wound dressing

Faster epidermal formation and improved antibacterial activity in wounds covered with nano mats. Addition of LL37 and VEGF to the composite material improves the immune response and promoted blood vessel formation, accelerated wound healing and decreased inflammation.

36

CHITOSAN BASED INJECTABLE AND SPRAYABLE FORMULATIONS:

To enhance ease of application, patient comfort, and effectiveness in treating complex or irregular wound geometries, sprayable and injectable chitosan-based formulations have gained increasing attention in modern wound care.

Sprayable chitosan systems are typically low-viscosity solutions or dispersions that can be applied directly to wounds using aerosol or pump-spray devices. Upon contact with the wound, these formulations form a thin film or gel, creating a conformal and protective barrier over the injured area. Sprayable chitosan dressings are particularly beneficial in first-aid and field settings, where fast and sterile wound coverage is essential.

Injectable chitosan formulations are typically in situ forming hydrogels or gels, designed to be delivered via syringe and solidify upon contact with the wound site through temperature, pH, or ionic triggers. These systems are especially useful for deep wounds, tunnelling wounds, or post-surgical cavities where conventional dressings are impractical.

These advanced formulations expand the versatility of chitosan in clinical wound care, offering targeted, patient-friendly solutions for both acute and chronic wounds.37,38

Table 6: Chitosan based injectable and sprayable formulations and their applications

STUDY

RESULT

Reference

Sprayable and self-healing chitosan-based hydrogels was developed using hydroxypropyl chitosan, caffeic acid functionalized chitosan, oxidized dextran for promoting healing of infected wound

Hydrogels exhibited self-healing, self-adaptable and sprayable properties, as well as excellent antibacterial ability, antioxidant property, low-cytotoxicity and angiogenetic activity. In vivo experiments showed that hydrogels promoted tissue regeneration and healing of bacteria-infected wound by eliminating bacteria, reducing inflammatory and facilitating angiogenesis with a rate of approximately 98.4 % on day 11

37

Silver nanoparticle-impregnated biogenic spray hydrogel supplemented with collagen and chitosan

The hydrogel showed excellent biocompatibility, supporting cell proliferation as well as tissue repair without toxic effects. It also accelerated wound healing, improved collagen deposition, and enhanced tissue regeneration in the tested animals by reducing proinflammatory cytokines

38

Sprayable chitosan nanogel with nitric oxide to accelerate diabetic wound healing

Wound healing was achieved through bacteria inhibition, biofilm eradication and macrophage polarization. Nitric oxide reduced tumour necrosis factor α release and relieved inflammation

39

sprayable carboxymethyl chitosan/polyphenol hydrogel for enhanced wound healing

The hydrogel accelerates skin wound healing due to its three-dimensional network structure and continuous release of active components at the wound site, thereby enhancing re-epithelialization, improving collagen deposition, and increasing angiogenesis. The wound healing rate was 93.98 ± 0.63 % on the 10th day.

40

 

CHALLENGES

Despite the significant progress in developing chitosan-based wound healing formulations, several challenges have to be addressed to fully utilize their clinical potential.

1. Variability in Raw Material and Processing

Chitosan is typically derived from crustacean shells, and its physicochemical properties like molecular weight and degree of deacetylation can vary significantly depending upon the source and method of extraction. These variations can affect the solubility, bioactivity, and consistency in formulation performance.41

2. Lack of Standardization and Regulatory Hurdles

There is a need for standard protocols in the preparation, characterization, and quality control of chitosan-based products. Additionally, regulatory approval processes for biomaterials can be complex and time-consuming, especially for novel or composite systems.

3. Limited Clinical Studies

While preclinical results are promising, there remains a gap in large-scale, controlled clinical trials that validate the efficacy and safety of chitosan-based dressings across different wound types and patient populations.

4. Mechanical and Stability Limitations

Native chitosan films and hydrogels often have weak mechanical strength and may degrade quickly in moist environments. Blending with other polymers or crosslinking agents can address this, but this can introduce biocompatibility concerns.36

5. Drug Loading and Release Challenges

While chitosan can encapsulate a variety of therapeutic agents, achieving sustained and targeted drug release without compromising the structural integrity of the dressing remains as a challenge41

FUTURE PERSPECTIVES

1. Advanced Formulation Techniques

Innovations such as stimuli-responsive hydrogels, 3D-printed scaffolds, electrospun nanofibers, and smart dressings incorporating biosensors or nanocarriers can significantly enhance the functionality and responsiveness of chitosan-based wound care systems.36

2. Personalized and Regenerative Wound Therapies

Integration of stem cells, exosomes, or growth factor delivery systems into chitosan-based matrices holds promise for next-generation regenerative wound therapies for personalised medicines.

3. Sustainable and Scalable Manufacturing

Developing eco-friendly, cost-effective, and scalable production methods for medical-grade chitosan will be crucial for commercial viability and broader clinical utilization.

4. Combination Therapies

Future research may focus on multifunctional composites, such as chitosan combined with silver nanoparticles, antimicrobial peptides, herbal extracts, or synthetic polymers, to enhance therapeutic outcomes through synergistic effects.

5. Regulatory Framework Development

Establishing clearer guidelines and standards for the classification, testing, and approval of chitosan-based medical products will facilitate smoother clinical translation and commercialization

INNOVATION OPPORTUNITIES

The unique physicochemical and biological properties of chitosan present numerous innovation opportunities for the development of next-generation wound healing systems. Advances in material science, nanotechnology, and biomedical engineering can be harnessed to expand the therapeutic functionality and clinical applicability of chitosan-based formulations.

1. Smart and Responsive Wound Dressings

Chitosan can be integrated into stimuli-responsive systems that responds to environmental changes such as pH, temperature, moisture, or bacterial load. These smart dressings release therapeutic agents on-demand or signal wound status through colour changes or embedded biosensors, enabling real-time wound monitoring as well as personalized treatment.

2. 3D Printing and Bio-fabrication

The use of 3D bioprinting to fabricate chitosan-based scaffolds tailored to the specific geometry and depth of a wound provides a great potential for patient-specific wound management. These structures can be loaded with cells, growth factors, or drugs, creating a customizable scaffold for regenerative medicine.

3. Nanotechnology-Enhanced Delivery Systems

Combining chitosan with nanoparticles, liposomes, micelles, or solid lipid carriers enables accurate control over drug release kinetics, improves solubility of poorly water-soluble drugs, and enhances penetration of therapeutic molecule into the wound tissue. Targeted drug delivery systems using chitosan's mucoadhesive and electrostatic properties can decrease dosing frequency and systemic toxicity.

4. Hybrid and Composite Materials

Blending chitosan with other natural (e.g., alginate, gelatin, collagen) or synthetic polymers (e.g., Poly caprolactone, PEG, PLGA) can overcome mechanical barriers while introducing new functionalities. For instance, composite membranes or nanofiber mats can provide enhanced tensile strength, elasticity, and sustained release profiles, suitable for dynamic wound environments.36

5. Integration with Regenerative Therapies

Chitosan serves as a top-notch scaffold for the delivery of stem cells, exosomes, or tissue-engineered skin substitutes. These regenerative approaches, combined with chitosan’s healing-promoting effects, offer advanced solutions for chronic and non-healing wounds like diabetic ulcers and pressure sores.42,43

6. Eco-friendly and Sustainable Manufacturing

There is growing interest in green synthesis and biorefinery approaches to produce chitosan from non-traditional sources (ex. fungal or insect chitin) using enzymatic or microbial methods. This enhances sustainability and reduces risk of allergy, paving the way for scalable and ethical production of medical-grade chitosan.

7. Digital Health Integration

Merging of chitosan-based smart dressings with wearable electronics and mobile health platforms can revolutionize wound care by providing continuous monitoring, remote data access, and AI-driven treatment adjustments, improving outcomes as well as reducing healthcare costs.

Figure 4: Innovative opportunities of chitosan

CONCLUSION

Chitosan, a versatile and bioactive natural polymer, has shown significant promise in the field of wound healing due to its biocompatibility, biodegradability, haemostatic activity, and broad-spectrum antimicrobial properties. Its adaptability into various formulations—including films, hydrogels, nanoparticles, nanofibers, and sprayable or injectable systems—allows for targeted and effective wound management across a range of clinical scenarios.

Each form of chitosan-based dressing offers unique advantages, from maintaining a moist healing environment and preventing infections to promoting tissue regeneration and accelerating re-epithelialization. Advances in formulation strategies and functional modifications continue to enhance the performance of chitosan-based wound dressings, making them suitable for both acute and chronic wound care.

Despite the progress, further clinical validation, standardization of preparation methods, and regulatory approvals are needed to facilitate the translation of these promising technologies into routine clinical practice. Continued interdisciplinary research will be key to optimizing these systems and unlocking the full therapeutic potential of chitosan in wound healing applications.

REFERENCES

  1. Rodrigues M, Kosaric N, Bonham CA, Gurtner GC. Wound Healing: A Cellular Perspective. Physiological Reviews [Internet]. 2018;99(1):665–706. Available from: https://journals.physiology.org/doi/full/10.1152/physrev.00067.2017
  2. Young A, McNaught CE. The physiology of wound healing. Surgery (Oxford). 2011 Oct;29(10):475–9.
  3. Irfan-maqsood M. Classification of Wounds: Know before Research and Clinical Practice. Journal of Genes and Cells. 2018 Jan 15;4:1.
  4. Patrulea V, Ostafe V, Borchard G, Jordan O. Chitosan as a starting material for wound healing applications. European Journal of Pharmaceutics and Biopharmaceutics. 2015 Nov;97:417–26.
  5. Enoch S, Leaper DJ. Basic science of wound healing. Surgery (Oxford). 2008 Feb;26(2):31–7.
  6. Broughton G, Janis JE, Attinger CE. The Basic Science of Wound Healing. Plastic and Reconstructive Surgery. 2006 Jun;117(SUPPLEMENT):12S34S.
  7. Schreml S, Szeimies RM, Prantl L, Landthaler M, Babilas P. Wound healing in the 21st century. Journal of the American Academy of Dermatology [Internet]. 2010 Nov;63(5):866–81. Available from: https://www.sciencedirect.com/science/article/abs/pii/S0190962209014996
  8. Guo S, DiPietro LA. Factors Affecting Wound Healing. Journal of Dental Research [Internet]. 2010 Mar;89(3):219–29. Available from: https://www.ncbi.nlm.nih.gov/pmc/articles/PMC2903966/
  9. Thomas Hess C. Checklist for Factors Affecting Wound Healing. Advances in Skin & Wound Care [Internet]. 2011 Apr;24(4):192. Available from: https://journals.lww.com/aswcjournal/fulltext/2011/04000/Checklist_for_Factors_Affecting_Wound_Healing.10.aspx
  10. Aranaz I, Alcántara AR, Civera MC, Arias C, Elorza B, Heras Caballero A, et al. Chitosan: An Overview of Its Properties and Applications. Polymers. 2021 Sep 24;13(19):3256.
  11. Kou S (Gabriel), Peters LM, Mucalo MR. Chitosan: A review of sources and preparation methods. International Journal of Biological Macromolecules. 2021 Feb;169:85–94.
  12. Sánchez-Machado DI, López-Cervantes J, Correa-Murrieta MaA, Sánchez-Duarte RG, Cruz-Flores P, de la Mora-López GS. Chitosan. Nonvitamin and Nonmineral Nutritional Supplements. 2019;485–93.
  13. Pellis A, Guebitz GM, Nyanhongo GS. Chitosan: Sources, Processing and Modification Techniques. Gels [Internet]. 2022 Jun 21;8(7):393. Available from: https://www.ncbi.nlm.nih.gov/pmc/articles/PMC9322947/
  14. Goy RC, Britto D de, Assis OBG. A review of the antimicrobial activity of chitosan. Polímeros [Internet]. 2009;19(3):241–7. Available from: https://www.scielo.br/scielo.php?script=sci_arttext&pid=S0104-14282009000300013#:~:text=Three%20antibacterial%20mechanisms%20have%20been
  15. Confederat LG, Tuchilus CG, Dragan M, Sha’at M, Dragostin OM. Preparation and Antimicrobial Activity of Chitosan and Its Derivatives: A Concise Review. Molecules (Basel, Switzerland) [Internet]. 2021 Jun 17;26(12). Available from: https://pubmed.ncbi.nlm.nih.gov/34204251/
  16. Chopra H, Bibi S, Kumar S, Khan MS, Kumar P, Singh I. Preparation and Evaluation of Chitosan/PVA Based Hydrogel Films Loaded with Honey for Wound Healing Application. Gels. 2022 Feb 11;8(2):111.
  17. Soubhagya AS, Moorthi A, Prabaharan M. Preparation and characterization of chitosan/pectin/ZnO porous films for wound healing. International Journal of Biological Macromolecules. 2020 Aug;157:135–45.
  18. Pansara C, Mishra R, Mehta T, Parikh A, Garg S. Formulation of chitosan stabilized silver nanoparticle-containing wound healing film: In-vitro and in-vivo characterization. Journal of Pharmaceutical Sciences. 2020 Mar;
  19. Ali M, Ullah S, Ullah S, Shakeel M, Afsar T, Husain FM, et al. Innovative biopolymers composite based thin film for wound healing applications. Scientific Reports [Internet]. 2024 Nov 9 [cited 2025 May 29];14(1). Available from: https://www.nature.com/articles/s41598-024-79121-8
  20. Li X, Liu Y, Song H, Zhao M, Song Q. Antioxidant, antibacterial, and anti-inflammatory Periplaneta americana remnant chitosan/polysaccharide composite film: In vivo wound healing application evaluation. International Journal of Biological Macromolecules. 2023 May;237:124068.
  21. G Ambarasan Govindasamy, Rabiatul Basria S. M. N. Mydin, Nasrin K Ramtan Gadaime, Srimala Sreekantan. Phytochemicals, Biodegradation, Cytocompatibility and Wound Healing Profiles of Chitosan Film Embedded Green Synthesized Antibacterial ZnO/CuO Nanocomposite. Journal of polymers and the environment. 2023 May 10;31(10):4393–409.
  22. Moreira VM, Leite JM da S, Medeiros K de A, Assis KMA de, Borges JC, Santana LMB, et al. Pentoxifylline/Chitosan Films on Wound Healing: In Vitro/In Vivo Evaluation. Pharmaceutics [Internet]. 2023 Mar 31 [cited 2025 Apr 29];15(4):1122. Available from: https://www.mdpi.com/1999-4923/15/4/1122
  23. Li C, Chang F, Gao F, Wang Y, Sun Z, Zhao L, et al. Chitosan-based composite film dressings with efficient self-diagnosis and synergistically inflammation resolution for accelerating diabetic wound healing. Applied surface science. 2024 Jan 1;642:158578–8.
  24. Norouzi F, Pourmadadi M, Yazdian F, Khoshmaram K, Mohammadnejad J, Sanati MH, et al. PVA-Based Nanofibers Containing Chitosan Modified with Graphene Oxide and Carbon Quantum Dot-Doped TiO2 Enhance Wound Healing in a Rat Model. Journal of Functional Biomaterials. 2022 Dec 15;13(4):300.
  25. Wen F, Su W, Cen L, Chen Y, Huo L, Zhong H, et al. Natural fluorescent carbon quantum dots embedded polyvinyl alcohol/chitosan film with photoregulation and high antibacterial efficiency for infected wound healing. International Journal of Biological Macromolecules. 2025 Mar 1;141716–6.
  26. Guo S, Ren Y, Chang R, He Y, Zhang D, Guan F, et al. Injectable Self-Healing Adhesive Chitosan Hydrogel with Antioxidative, Antibacterial, and Hemostatic Activities for Rapid Hemostasis and Skin Wound Healing. ACS Applied Materials & Interfaces. 2022 Jul 20;
  27. Zhong Y, Seidi F, Wang Y, Zheng L, Jin Y, Xiao H. Injectable chitosan hydrogels tailored with antibacterial and antioxidant dual functions for regenerative wound healing. Carbohydrate Polymers. 2022 Dec;298:120103.
  28. Ma L, Tan Y, Chen X, Ran Y, Tong Q, Tang L, et al. Injectable oxidized alginate/carboxylmethyl chitosan hydrogels functionalized with nanoparticles for wound repair. Carbohydrate Polymers. 2022 Oct;293:119733.
  29. Liu S, Li D, Wang Y, Zhou G, Ge K, Jiang L. Adhesive, antibacterial and double crosslinked carboxylated polyvinyl alcohol/chitosan hydrogel to enhance dynamic skin wound healing. International Journal of Biological Macromolecules [Internet]. 2022 Dec 20;228:744–53. Available from: https://www.sciencedirect.com/science/article/pii/S014181302203080X?via%3Dihub
  30. Bagheri M, Validi M, Gholipour A, Makvandi P, Sharifi E. Chitosan nanofiber biocomposites for potential wound healing applications: Antioxidant activity with synergic antibacterial effect. Bioengineering & Translational Medicine. 2021 Sep 16;
  31. Kamalipooya S, Fahimirad S, Abtahi H, Golmohammadi M, Satari M, Dadashpour M, et al. Diabetic wound healing function of PCL/cellulose acetate nanofiber engineered with chitosan/cerium oxide nanoparticles. International Journal of Pharmaceutics [Internet]. 2024 Feb 11 [cited 2024 Mar 1];653:123880. Available from: https://pubmed.ncbi.nlm.nih.gov/38350498/#:~:text=The%20in%20vivo%20diabetic%20wound
  32. Liu C, Zhu Y, Lun X, Sheng H, Yan A. Effects of wound dressing based on the combination of silver@curcumin nanoparticles and electrospun chitosan nanofibers on wound healing. Bioengineered. 2022 Feb 1;13(2):4328–39.
  33. Sharifi E, Rezvan Jamaledin, Fatemeh Familsattarian, Fereshteh Nejaddehbashi, Bagheri M, Chehelgerdi M, et al. Bioactive chitosan/poly(ethyleneoxide)/CuFe2O4 nanofibers for potential wound healing. Environmental Research. 2023 Oct 18;239:117448–8.
  34. Mansooreh Derakhshi, Mahdi Naseri, Zeinab Vafaeipour, Bizhan Malaekeh-Nikouei, Amir Hossein Jafarian, Ansari L. Enhanced wound-healing efficacy of electrospun mesoporous hydroxyapatite nanoparticle-loaded chitosan nanofiber developed using pluronic F127. International Journal of Biological Macromolecules. 2023 Apr 13;240:124427–7.
  35. Hosseini SM, Abdouss M, Mazinani S, Soltanabadi A, Kalaee M. Modified nanofiber containing chitosan and graphene oxide-magnetite nanoparticles as effective materials for smart wound dressing. Composites Part B: Engineering. 2022 Feb;231:109557.
  36. Fahimirad S, Khaki M, Ghaznavi-Rad E, Abtahi H. Investigation of a novel bilayered PCL/PVA electrospun nanofiber incorporated Chitosan-LL37 and Chitosan-VEGF nanoparticles as an advanced antibacterial cell growth-promoting wound dressing. International Journal of Pharmaceutics. 2024 Aug;661:124341.
  37. Tan Y, Xu C, Liu Y, Bai Y, Li X, Wang X. Sprayable and self-healing chitosan-based hydrogels for promoting healing of infected wound via anti-bacteria, anti-inflammation and angiogenesis. Carbohydrate Polymers. 2024 Aug;337:122147.
  38. Markandeywar TS, Narang RK. Collagen and chitosan-based biogenic sprayable gel of silver nanoparticle for advanced wound care. Naunyn-Schmiedeberg’s Archives of Pharmacology. 2024 Nov 22;398(5):5543–67.
  39. Huang Q, Yang Z, Tao X, Ma C, Cao P, Wei P, et al. Sprayable chitosan nanogel with nitric oxide to accelerate diabetic wound healing through bacteria inhibition, biofilm eradication and macrophage polarization. International Journal of Biological Macromolecules. 2024 Jan;254:127806.
  40. Xue R, He L, Wu J, Kong X, Wang Q, Chi Y, et al. Multifunctional sprayable carboxymethyl chitosan/polyphenol hydrogel for wound healing. International Journal of Biological Macromolecules. 2024 Jun 24;275:133303–3.
  41. Samuel SE, Ghosh T, Nayak AD, R. Deveswaran, B.V. Basavaraj. Exploring self-crosslinked hydrogel: Carboxymethyl chitosan and oxidized alginate for wound healing applications. Journal of Drug Delivery Science and Technology. 2024 May 6;97:105746–6.
  42. Liu X, Ma L, Mao Z, Gao C. Chitosan-Based Biomaterials for Tissue Repair and Regeneration. Advances in Polymer Science. 2011;81–127.

Reference

  1. Rodrigues M, Kosaric N, Bonham CA, Gurtner GC. Wound Healing: A Cellular Perspective. Physiological Reviews [Internet]. 2018;99(1):665–706. Available from: https://journals.physiology.org/doi/full/10.1152/physrev.00067.2017
  2. Young A, McNaught CE. The physiology of wound healing. Surgery (Oxford). 2011 Oct;29(10):475–9.
  3. Irfan-maqsood M. Classification of Wounds: Know before Research and Clinical Practice. Journal of Genes and Cells. 2018 Jan 15;4:1.
  4. Patrulea V, Ostafe V, Borchard G, Jordan O. Chitosan as a starting material for wound healing applications. European Journal of Pharmaceutics and Biopharmaceutics. 2015 Nov;97:417–26.
  5. Enoch S, Leaper DJ. Basic science of wound healing. Surgery (Oxford). 2008 Feb;26(2):31–7.
  6. Broughton G, Janis JE, Attinger CE. The Basic Science of Wound Healing. Plastic and Reconstructive Surgery. 2006 Jun;117(SUPPLEMENT):12S34S.
  7. Schreml S, Szeimies RM, Prantl L, Landthaler M, Babilas P. Wound healing in the 21st century. Journal of the American Academy of Dermatology [Internet]. 2010 Nov;63(5):866–81. Available from: https://www.sciencedirect.com/science/article/abs/pii/S0190962209014996
  8. Guo S, DiPietro LA. Factors Affecting Wound Healing. Journal of Dental Research [Internet]. 2010 Mar;89(3):219–29. Available from: https://www.ncbi.nlm.nih.gov/pmc/articles/PMC2903966/
  9. Thomas Hess C. Checklist for Factors Affecting Wound Healing. Advances in Skin & Wound Care [Internet]. 2011 Apr;24(4):192. Available from: https://journals.lww.com/aswcjournal/fulltext/2011/04000/Checklist_for_Factors_Affecting_Wound_Healing.10.aspx
  10. Aranaz I, Alcántara AR, Civera MC, Arias C, Elorza B, Heras Caballero A, et al. Chitosan: An Overview of Its Properties and Applications. Polymers. 2021 Sep 24;13(19):3256.
  11. Kou S (Gabriel), Peters LM, Mucalo MR. Chitosan: A review of sources and preparation methods. International Journal of Biological Macromolecules. 2021 Feb;169:85–94.
  12. Sánchez-Machado DI, López-Cervantes J, Correa-Murrieta MaA, Sánchez-Duarte RG, Cruz-Flores P, de la Mora-López GS. Chitosan. Nonvitamin and Nonmineral Nutritional Supplements. 2019;485–93.
  13. Pellis A, Guebitz GM, Nyanhongo GS. Chitosan: Sources, Processing and Modification Techniques. Gels [Internet]. 2022 Jun 21;8(7):393. Available from: https://www.ncbi.nlm.nih.gov/pmc/articles/PMC9322947/
  14. Goy RC, Britto D de, Assis OBG. A review of the antimicrobial activity of chitosan. Polímeros [Internet]. 2009;19(3):241–7. Available from: https://www.scielo.br/scielo.php?script=sci_arttext&pid=S0104-14282009000300013#:~:text=Three%20antibacterial%20mechanisms%20have%20been
  15. Confederat LG, Tuchilus CG, Dragan M, Sha’at M, Dragostin OM. Preparation and Antimicrobial Activity of Chitosan and Its Derivatives: A Concise Review. Molecules (Basel, Switzerland) [Internet]. 2021 Jun 17;26(12). Available from: https://pubmed.ncbi.nlm.nih.gov/34204251/
  16. Chopra H, Bibi S, Kumar S, Khan MS, Kumar P, Singh I. Preparation and Evaluation of Chitosan/PVA Based Hydrogel Films Loaded with Honey for Wound Healing Application. Gels. 2022 Feb 11;8(2):111.
  17. Soubhagya AS, Moorthi A, Prabaharan M. Preparation and characterization of chitosan/pectin/ZnO porous films for wound healing. International Journal of Biological Macromolecules. 2020 Aug;157:135–45.
  18. Pansara C, Mishra R, Mehta T, Parikh A, Garg S. Formulation of chitosan stabilized silver nanoparticle-containing wound healing film: In-vitro and in-vivo characterization. Journal of Pharmaceutical Sciences. 2020 Mar;
  19. Ali M, Ullah S, Ullah S, Shakeel M, Afsar T, Husain FM, et al. Innovative biopolymers composite based thin film for wound healing applications. Scientific Reports [Internet]. 2024 Nov 9 [cited 2025 May 29];14(1). Available from: https://www.nature.com/articles/s41598-024-79121-8
  20. Li X, Liu Y, Song H, Zhao M, Song Q. Antioxidant, antibacterial, and anti-inflammatory Periplaneta americana remnant chitosan/polysaccharide composite film: In vivo wound healing application evaluation. International Journal of Biological Macromolecules. 2023 May;237:124068.
  21. G Ambarasan Govindasamy, Rabiatul Basria S. M. N. Mydin, Nasrin K Ramtan Gadaime, Srimala Sreekantan. Phytochemicals, Biodegradation, Cytocompatibility and Wound Healing Profiles of Chitosan Film Embedded Green Synthesized Antibacterial ZnO/CuO Nanocomposite. Journal of polymers and the environment. 2023 May 10;31(10):4393–409.
  22. Moreira VM, Leite JM da S, Medeiros K de A, Assis KMA de, Borges JC, Santana LMB, et al. Pentoxifylline/Chitosan Films on Wound Healing: In Vitro/In Vivo Evaluation. Pharmaceutics [Internet]. 2023 Mar 31 [cited 2025 Apr 29];15(4):1122. Available from: https://www.mdpi.com/1999-4923/15/4/1122
  23. Li C, Chang F, Gao F, Wang Y, Sun Z, Zhao L, et al. Chitosan-based composite film dressings with efficient self-diagnosis and synergistically inflammation resolution for accelerating diabetic wound healing. Applied surface science. 2024 Jan 1;642:158578–8.
  24. Norouzi F, Pourmadadi M, Yazdian F, Khoshmaram K, Mohammadnejad J, Sanati MH, et al. PVA-Based Nanofibers Containing Chitosan Modified with Graphene Oxide and Carbon Quantum Dot-Doped TiO2 Enhance Wound Healing in a Rat Model. Journal of Functional Biomaterials. 2022 Dec 15;13(4):300.
  25. Wen F, Su W, Cen L, Chen Y, Huo L, Zhong H, et al. Natural fluorescent carbon quantum dots embedded polyvinyl alcohol/chitosan film with photoregulation and high antibacterial efficiency for infected wound healing. International Journal of Biological Macromolecules. 2025 Mar 1;141716–6.
  26. Guo S, Ren Y, Chang R, He Y, Zhang D, Guan F, et al. Injectable Self-Healing Adhesive Chitosan Hydrogel with Antioxidative, Antibacterial, and Hemostatic Activities for Rapid Hemostasis and Skin Wound Healing. ACS Applied Materials & Interfaces. 2022 Jul 20;
  27. Zhong Y, Seidi F, Wang Y, Zheng L, Jin Y, Xiao H. Injectable chitosan hydrogels tailored with antibacterial and antioxidant dual functions for regenerative wound healing. Carbohydrate Polymers. 2022 Dec;298:120103.
  28. Ma L, Tan Y, Chen X, Ran Y, Tong Q, Tang L, et al. Injectable oxidized alginate/carboxylmethyl chitosan hydrogels functionalized with nanoparticles for wound repair. Carbohydrate Polymers. 2022 Oct;293:119733.
  29. Liu S, Li D, Wang Y, Zhou G, Ge K, Jiang L. Adhesive, antibacterial and double crosslinked carboxylated polyvinyl alcohol/chitosan hydrogel to enhance dynamic skin wound healing. International Journal of Biological Macromolecules [Internet]. 2022 Dec 20;228:744–53. Available from: https://www.sciencedirect.com/science/article/pii/S014181302203080X?via%3Dihub
  30. Bagheri M, Validi M, Gholipour A, Makvandi P, Sharifi E. Chitosan nanofiber biocomposites for potential wound healing applications: Antioxidant activity with synergic antibacterial effect. Bioengineering & Translational Medicine. 2021 Sep 16;
  31. Kamalipooya S, Fahimirad S, Abtahi H, Golmohammadi M, Satari M, Dadashpour M, et al. Diabetic wound healing function of PCL/cellulose acetate nanofiber engineered with chitosan/cerium oxide nanoparticles. International Journal of Pharmaceutics [Internet]. 2024 Feb 11 [cited 2024 Mar 1];653:123880. Available from: https://pubmed.ncbi.nlm.nih.gov/38350498/#:~:text=The%20in%20vivo%20diabetic%20wound
  32. Liu C, Zhu Y, Lun X, Sheng H, Yan A. Effects of wound dressing based on the combination of silver@curcumin nanoparticles and electrospun chitosan nanofibers on wound healing. Bioengineered. 2022 Feb 1;13(2):4328–39.
  33. Sharifi E, Rezvan Jamaledin, Fatemeh Familsattarian, Fereshteh Nejaddehbashi, Bagheri M, Chehelgerdi M, et al. Bioactive chitosan/poly(ethyleneoxide)/CuFe2O4 nanofibers for potential wound healing. Environmental Research. 2023 Oct 18;239:117448–8.
  34. Mansooreh Derakhshi, Mahdi Naseri, Zeinab Vafaeipour, Bizhan Malaekeh-Nikouei, Amir Hossein Jafarian, Ansari L. Enhanced wound-healing efficacy of electrospun mesoporous hydroxyapatite nanoparticle-loaded chitosan nanofiber developed using pluronic F127. International Journal of Biological Macromolecules. 2023 Apr 13;240:124427–7.
  35. Hosseini SM, Abdouss M, Mazinani S, Soltanabadi A, Kalaee M. Modified nanofiber containing chitosan and graphene oxide-magnetite nanoparticles as effective materials for smart wound dressing. Composites Part B: Engineering. 2022 Feb;231:109557.
  36. Fahimirad S, Khaki M, Ghaznavi-Rad E, Abtahi H. Investigation of a novel bilayered PCL/PVA electrospun nanofiber incorporated Chitosan-LL37 and Chitosan-VEGF nanoparticles as an advanced antibacterial cell growth-promoting wound dressing. International Journal of Pharmaceutics. 2024 Aug;661:124341.
  37. Tan Y, Xu C, Liu Y, Bai Y, Li X, Wang X. Sprayable and self-healing chitosan-based hydrogels for promoting healing of infected wound via anti-bacteria, anti-inflammation and angiogenesis. Carbohydrate Polymers. 2024 Aug;337:122147.
  38. Markandeywar TS, Narang RK. Collagen and chitosan-based biogenic sprayable gel of silver nanoparticle for advanced wound care. Naunyn-Schmiedeberg’s Archives of Pharmacology. 2024 Nov 22;398(5):5543–67.
  39. Huang Q, Yang Z, Tao X, Ma C, Cao P, Wei P, et al. Sprayable chitosan nanogel with nitric oxide to accelerate diabetic wound healing through bacteria inhibition, biofilm eradication and macrophage polarization. International Journal of Biological Macromolecules. 2024 Jan;254:127806.
  40. Xue R, He L, Wu J, Kong X, Wang Q, Chi Y, et al. Multifunctional sprayable carboxymethyl chitosan/polyphenol hydrogel for wound healing. International Journal of Biological Macromolecules. 2024 Jun 24;275:133303–3.
  41. Samuel SE, Ghosh T, Nayak AD, R. Deveswaran, B.V. Basavaraj. Exploring self-crosslinked hydrogel: Carboxymethyl chitosan and oxidized alginate for wound healing applications. Journal of Drug Delivery Science and Technology. 2024 May 6;97:105746–6.
  42. Liu X, Ma L, Mao Z, Gao C. Chitosan-Based Biomaterials for Tissue Repair and Regeneration. Advances in Polymer Science. 2011;81–127.

Photo
Vinu Gopakumar Krishna
Corresponding author

College of Pharmaceutical Sciences, Government Medical College, Thiruvananthapuram, 695011.

Photo
Neha Joshy
Co-author

College of Pharmaceutical Sciences, Government Medical College, Thiruvananthapuram, 695011.

Photo
Prasanth M. S.
Co-author

College of Pharmaceutical Sciences, Government Medical College, Thiruvananthapuram, 695011.

Vinu Gopakumar Krishna*, Neha Joshy, Prasanth M. S., Revolutionizing Wound Care with Chitosan-Based Biomaterials, Int. J. of Pharm. Sci., 2025, Vol 3, Issue 6, 2441-2456. https://doi.org/10.5281/zenodo.15649309

More related articles
Pharmacological Action Of Polyherbal Gel For Wound...
Shardul D Wadkar, Prachi Wavhal, Aarti Buchude, Yash Wayal, Abhis...
Pharmacological and Phytochemical Perspectives of ...
Chandrashekar VM, Marigouda Patil, Salma Banu, Sanjay Havaragi, L...
Formulation And Evaluation Of Herbal Shampoo With ...
Prasad Rodge, Mayur Bagul, Nilesh Bagal, Utkarsh Bhamare, Utkarsh...
A Detailed Review on Pharmaceutical Applications of Pickering Emulsion...
Neha Joshy, Vinu Gopakumar Krishna , Prasanth M. S., ...
Bioprinting Innovations: A Review of Emerging Techniques for Tissue Regeneration...
Ms. Pranali Prakash Yadav , Omkar Jadhav, Prathamesh Aughade, Shreyas Shete, Alfiya Mulani, ...
Applications Of Nano Materials in Drug Delivery and Release Mechanism: A Review ...
Ansua Roy, Satadal Das, Saswati Saha, Mahua Ghosh Chaudhuri, ...
Related Articles
Telemedicine in health care system:A review ...
Shubham B. Tarle , Akash A. pawar , Sapana K. Sonavane , Manisha P. Padme , Ashwini Dokhale, ...
Formulation And Evaluation of Anthralin Nano Particle Loaded Shampoo for Alopeci...
Aadi Sathyan, Dr. Rakesh Kumar Jat, Dr. Lal Prasanth M. L., ...
Pharmacological Action Of Polyherbal Gel For Wound Healing Activity On Albino W...
Shardul D Wadkar, Prachi Wavhal, Aarti Buchude, Yash Wayal, Abhishek Walunj, Nikita Bhapkar , Umesh ...
More related articles
Pharmacological Action Of Polyherbal Gel For Wound Healing Activity On Albino W...
Shardul D Wadkar, Prachi Wavhal, Aarti Buchude, Yash Wayal, Abhishek Walunj, Nikita Bhapkar , Umesh ...
Pharmacological and Phytochemical Perspectives of Cansjera rheedei: An Underexpl...
Chandrashekar VM, Marigouda Patil, Salma Banu, Sanjay Havaragi, Lingaraj Anawal, Mallappa Shalavad...
Formulation And Evaluation Of Herbal Shampoo With Goat Milk...
Prasad Rodge, Mayur Bagul, Nilesh Bagal, Utkarsh Bhamare, Utkarsha Chaudhari, ...
Pharmacological Action Of Polyherbal Gel For Wound Healing Activity On Albino W...
Shardul D Wadkar, Prachi Wavhal, Aarti Buchude, Yash Wayal, Abhishek Walunj, Nikita Bhapkar , Umesh ...
Pharmacological and Phytochemical Perspectives of Cansjera rheedei: An Underexpl...
Chandrashekar VM, Marigouda Patil, Salma Banu, Sanjay Havaragi, Lingaraj Anawal, Mallappa Shalavad...
Formulation And Evaluation Of Herbal Shampoo With Goat Milk...
Prasad Rodge, Mayur Bagul, Nilesh Bagal, Utkarsh Bhamare, Utkarsha Chaudhari, ...