View Article

Abstract

Cancer is a serious global health issue, making the search for new treatments crucial. This review looks at marine organisms—like plants, algae, bacteria, and fungi—as potential sources of anticancer drugs. It presents findings from laboratory and animal studies that show these organisms can help kill cancer cells and stop tumors from growing. The review also explains how these marine compounds work on a molecular level, emphasizing the importance of nature’s chemical variety in developing new medicines.

Keywords

Marine; Plants; Microorganism; Antitumor; Anticancer; Natural Sources

Introduction

Cancer remains one of the most lethal diseases worldwide. There is an urgent need for new drugs with novel modes of action and thus considerable research has been conducted for new anticancer drugs from natural sources, especially plants, microbes and marine organisms. Marine populations represent reservoirs of novel bioactive metabolites with diverse groups of chemical structures. This review highlights the impact of marine organisms, with particular emphasis on marine plants, algae, bacteria, actinomycetes, fungi, sponges and soft corals. Anti-cancer effects of marine natural products in in vitro and in vivo studies were first introduced; their activity in the prevention of tumour formation and the related compound-induced apoptosis and cytotoxicities were tackled. The possible molecular mechanisms behind the biological effects are also presented. Nature is an attractive source of new therapeutic candidate compounds as a tremendous chemical diversity is found in millions of species of plants, animals, marine organisms and microorganisms. For many living organisms, this chemical diversity reflects the impact of evolution in the selection and conservation of self-defence mechanisms that represent the strategies employed to repel or destroy predators.[1].

What Causes Cancer?

Cancer begins with mutations in DNA, which instructs the cells how to grow and divide. Normal cells have the ability to repair most of the mutations in their DNA, but the mutation which is not repaired and causing the cells to grow becomes cancerous [2].

Environmental Factors

 Environmental factors which, from a scientist’s standpoint, include smoking, diet, and infectious diseases as well as chemicals and radiation in our homes and workplace along with trace levels of pollutants in food, drinking water and in air. Other factors which are more likely to affect are tobacco use, unhealthy diet, not enough physical activity, however the degree of risk from pollutants depends on the concentration, intensity and exposure. The cancer risk becomes highly increased where workers are exposed to ionizing radiation, carcinomas chemicals, certain metals and some other specific substances even exposed at low levels. Passive tobacco smoke manifold increase the risk in a large population who do not smoke but exposed to exhaled smoke of smokers [3].

Role of Plants as Medicinal and Anticancer Agents

Plants, since ancient time, are using for health benefits by all cultures as well as source of medicines. It has been estimated that about 80-85% of global population rely on traditional medicines for their primarily health care needs and it is assumed that a major part of traditional therapy involves the use of plant extracts or their active principles [4,5,6]. Although a lot of recent investigations have been carried out for advancements in the treatment and control of cancer progression, significant work and room for improvement remain. The main disadvantages of synthetic drugs are the associated side effects. However natural therapies, such as the use of the plants or plant derived natural products are being beneficial to combat cancer. The search for anti-cancer agents from plant sources started in the 1950s when discovery and development of the vinca alkaloids (vinblastin and vincristine), and the isolation of the cytotoxic podophyllotoxins was carried out [7].

Plant-Derived Anti-Cancer Agents:

Podophyllotoxin

Podophyllotoxin (PPT) (19) is a toxin lignan isolated from the Berberidaceae family (i.e., Podophyllum). The resin known as podophyllin was obtained from the Podophyllum peltatum species found in North America. PPT was extracted from Podophyllum emodi resin from Asia [8]. Podophyllotoxin also occurs in the plants of the Linum amd Juniperus species and in Podophyllum versipelle [9]. Podophyllotoxin and its derivatives are aryl tetralin lactone (condensed tetracyclic ring with an aryl substituent) compounds that contain the lactone ring in its trans conformation. PPT and its derivatives exhibit significant biological activity as antiviral agents and as antineoplastic drugs. Podophyllotoxin and its glycosides exhibit a very strong cytostatic effect, as they disrupt the organisation of the karyokinetic spindle. These compounds attach to the colchicine domain of tubulin and inhibit tubulin polymerisation. In addition, the podophyllotoxins cause single-strand and double-strand breaks in DNA through their interactions with DNA topoisomerase II, inducing cell-cycle arrest in the G2-phase of the cell cycle. This activity is mediated through the formation of a stable complex with DNA and topoisomerase II. Etoposide and teniposide are the semisynthetic derivatives of podophyllotoxin and exhibit cytostatic activity.

Figure 1. Podophyllotoxin derivatives: (1) podophyllotoxin, (2) etoposide, (3) teniposide

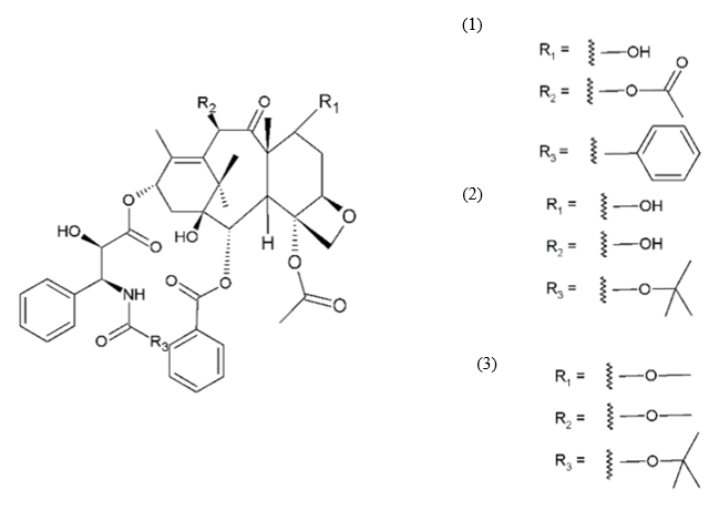
Vinca Alkaloids The first agents introduced in clinical use were vinca alkaloids, vinblastine (VLB) and vincristine (VCR), isolated from the Catharanthus roseus G. Don. (Apocynaceae).These drugs were discovered during an investigation for oral hypoglycemic agents. While research investigators could not confirm this activity, it was noted that plant extracts reduced significantly white blood cell counts and also caused bone marrow depression in rats. Plant extract also prolong the life of mice bearing a transplantable lymphocytic leukemia. Further extraction and fractionation led to the isolation of two active alkaloids namelyvincristine and vinblastine.The plant was originally endemic to Madagascar, but the samples used in the discovery of vincristine and vinblastin were collected in Philippines and theJamaica. Recently semi-synthetic analogues of vinca alkaloids are vinorelbine (VRLB) and vindesine (VDS). These are primarily using alone or in combination with other chemotherapeutic drugs to combat a variety of cancers. VLB is using for the treatment of lymphomas, leukemias, breast cancer, testicular cancer, lung cancers, and Kaposi’s sarcoma.[10] Taxanes Paclitaxel (PTX) (6) belongs to the group of drugs obtained from the European yew (Taxus baccata) and/or the Pacific yew (Taxus brevifolia) tree needles. It belongs to a group of compounds known as taxanes, which are mitosis inhibitors. Paclitaxel and its semisynthetic derivatives docetaxel (DTX) (7) and cabazitaxel (CTX) (8) are derived from 10-baccatin III or 10-deacetylbaccatin III (both contain characteristics of the taxane skeleton—three condenset homocyclic rings and one heterocyclic ring) . Although the full synthesis of paclitaxel has been described, there are still other methods for isolating taxanes from natural materials such as ArabidopsisNicotian sylvestric, or endophytic fungi, but these materials contain low concentrations of taxanes [11]. An interesting way to produce paclitaxel is plant cell fermentation. It is an effective and efficient method developed by Lin and colleagues that does not require the collection of natural products. The natural production of paclitaxel from Taxus is environmentally unsustainable and economically unfeasible. Lately, a method of synthesizing the precursor of paclitaxel 10-deacetylbaccatin III has been developed in the bioengineering sector [12]. Paclitaxel and docetaxel are used widely as monotherapies, as well as in combination with other anticancer drugs that inhibit mitosis and participate in cell apoptosis. However, both taxanes demonstrate differences in their toxicity profiles [13]. The anticancer activity of taxanes is similar to the action of vinca alkaloids and is associated with their effect on the microtubules, which are composed of heterodimers of α-tubulin and β-tubulin. Taxanes, however, constitute the second group of microtubule-interacting agents—microtubule-stabilising agents that stimulate the microtubule polymerization.

Figure 2. Taxanes: (1) paclitaxel, (2) docetaxel, (3) cabazitaxel.

Homoharringtonine Other plant-derived agents,which are in clinical use, are homoharringtonine. Homoharringtonine was originally isolated from the Chinese tree Cephalotaxus harringtonia var. drupacea (Cephalotaxaceae),. Elliptinium was isolated from species of several genera of the Apocynaceae familyincluding Bleekeria vitensis, a Fijian medicinal plant with reputed anti-cancer properties. A racemic mixture of harringtonine and homoharringtonine (HHT) is being used successfully in China to combat acute myelogenous leukemia and chronic myelogenous leukemia. Purified homoharringtonine has shown efficacy against various leukemias, including some resistant to standard treatment, and has been reported to produce complete hematologic remission in patients with late chronic phase chronic myelogenous leukemia. Elliptinium is marketed in France for the treatment of breast cancer [14]

Figure 3. (27) Homoharrigtonine.

Salvicine

Salvicine is a modified diterpenoquinone derivative isolated from the Chinese herb Salvia pronitis Hance (Labiatae). Salvicine was chemical synthesized by Sheng et al. in 1999 and it has shond potent inhibitory activity against a wide spectrum of human tumour cells in vitro and in mice bearing human tumour xenografts . Salvicine and its derivatives are nonintercalative topoisomerase II poisons that exhibit strong antitumour effects in vitro and in vivo and a broad spectrum of anti-multidrug resistant activity [15]. Salvicine initiates the break of two strands of DNA by facilitating TOP2 activity, inhibiting re-ligation, which is associated with the inhibition of tumour growth. In human cancer cells, salvicine induces damage to specific DNA genes, leading to apoptosis. Additionally, reactive oxygen species have been shown to play a key role in the salvicine-induced cellular response, including TOP2 inhibition, DNA damage, circumventing MDR and tumour cell adhesion inhibition .It was reported that new series of salvicine derivatives demonstrated potent cytotoxicity against tumour cell lines [16].

Figure 16. Salvicine.

Marine Plants

Marine plants have rarely been discussed in the literature as a distinct and self-contained group. These plants have traditionally been treated either as the poor relations of marine animals in courses and texts on marine biology or as examples of particular groups of algae, where the essential ‘marine-ness’ of marine plants tends to disappear among the taxonomic and morphological parallels with freshwater algae. Over 90% of marine plant species are algae. Because there is great chemical diversity in marine plants, including marine algae and mangroves, products isolated from these plants have been shown to possess antibacterial, antifungal, analgesic, anti-inflammatory, cytotoxic, hypotensive, and spasmogenic activities [17].

Macroalgae (Seaweed)

Macroalgae have long been recognized as food, functional food and potential drug sources. Also known as seaweed, multicellular macroalgae contain numerous pharmacologically important bioactive elements to include carotenoids, dietary fiber, protein, essential fatty acids, vitamins (A, B, B12, C, D, E), and minerals such as Ca, P, Na, and K ,in addition to polyphenols. An alcoholic extract of the red alga Acanthophora spicifera was supplemented to mice treated with Ehrlich’s ascites carcinoma cells, and to exhibit anti-tumor activity at an oral dose of 100 and 200 mg/kg .Similarly, an extract of the brown seaweed Sargassum thunbergii displayed antitumor activity against transplanted tumor such as sarcoma 180 and Ehrlich solid carcinoma (in vivo) . The anti-proliferative effect of fucoidan, isolated from Ascophyllum nodosum was demonstrated against sigmoid colon adenocarcinoma cells (COLO320 DM), in comparison to fibroblasts (hamster kidney fibroblast CCL39) [18]

Microalgae

yanobacteria, also known as blue-green algae, are prolific sources of more than 400 novel metabolites, particularly unique, biologically active peptide and polyketide metabolites,effective at either killing cancer cells by inducing apoptotic death or affecting cell signaling via activation of the protein kinase c family.Approximately half of the 41 screened strains of cyanobacteria exhibited the ability to cause cancer cell death . Two cyanobacteria-derived anti-microtubule agents, i.e., dolastatin 10 and curacin A, have been clinically evaluated for the treatment of cancer and to serve as lead structures for the synthesis of a number of synthetic analogs/derivatives. Calothrixins A and B, are pentacyclic metabolites isolated from Calothrix cyanobacteria with anticancer potent activity against human HeLa cancer cells in a dose-dependent manner at an IC50 of 40 and 350 nM, respectively (in vitro studies) .  Ulithiacyclamide and patellamide, produced by cyanobacteria Prochloron spp. and Lissoclinum patella , exhibited potent cytotoxic activity against a human nasopharyngeal carcinoma cell line at IC50 value of 17 and 3000 ng/mL, respectively. Borophycin, a boron-containing metabolite isolated from marine cyanobacterial strains of Nostoc linckia and Nostoc spongiaeforme var. tenue ,attributed potent cytotoxicity against human epidermoid carcinoma (LOVO) and human colorectal adenocarcinoma (KB) cell lines [19].

Marine Natural Compounds

Psammaplin

Psammaplin A (PsA) (34) is an anticancer compound isolated from Poecillastra sp. and Jaspis sp. It was first isolated from Psammaplin aplysilla sea sponges. PsA and biprasin are present in marine microalgae, cyanobacteria, and in the heterotrophic bacteria living in association with invertebrates (e.g., sponges, tunicates, and soft corals). Psammaplin A is a phenolic compound containing a disulphide bridge; it occurs in nature in the form of monomers or dimers. Additionally, psammaplin A contains a bromotyrosine ring. PsA exhibits varying effects on different pathways. Psammaplin A was synthesized by Hoshino and co-workers (1992) [20]. This drug exhibits antitumour properties and inhibits aminopeptidase N, which is a key factor in tumour cell invasion and angiogenesis [21]. Psammaplin A has been demonstrated to inhibit the proliferation of leukaemia cells through the induction of apoptosis, as well as the cell growth of Bap1-null cells, while causing minimal toxicity to human neuroblastomal SKN cells [22]. The results obtained are particularly strong when this drug is used in combination with camptothecin (a DNA damage inducing drug). This indicates that psammaplin A could serve as a potential adjuvant therapy for the cancer patients, particularly for Bap1-null lung cancer patients who are treated with the DNA damage-inducing therapies [23]. Psammaplin A (34) and its derivatives, psammaplin F (35), psammaplin G (36), and biprasin (37inhibit histone deacetylase (HDAC) activity, which performs a key role in tumourigenesis and angiogenesis.

Didemnin B

Didemnin B (39) is a cyclic depsipeptide which was isolated from the marine tunicate Trididemnum solidum. It was the first marine natural compound to enter clinical trials as an antitumour agent. It exhibits structural similarity to the cyanobacterial metabolites [24]. Didemnin B was synthesized by Ramanjulu and co-workers (1997) [25]. In clinical trials, it exhibited anticancer activity against a variety of tumours, such as bronchial carcinoid, colon cancer, oesophageal cancer, malignant melanoma, medullar thyroid carcinoma (MTC), metastatic breast cancer, non-small cell lung cancer, renal cancer, and squamous cell cervical cancer [26]. Didemnin B inhibits the synthesis of ribonucleic acid (RNA), DNA, and proteins and binds non-competitively to palmitoyl-protein thioesterase [27]. It has been demonstrated that didemnin B is able to induce apoptosis in a wide range of transformed cell lines. Didemnin B was shown to induce apoptosis in normal lymphocytes only after mitogenic stimulation [28]. The use of this drug in leukaemia requires further research. Furthermore, rapamycin inhibits didemnin-induced apoptosis in human HL60 cells, suggesting the activation of the FK506-binding protein apoptotic pathway . Didemnin B (Figure 24) possibly modulates the activity of FK506-binding proteins as a part of its immunomodulatory process, and thus leads to cell death via apoptosis. Plitidepsin (aplidine) (40) is an anticancer agent obtained from the ascidian Aplidium albicans. It binds specifically to the alpha subunit of the eukaryotic Elongation Factor 1 (eEF1A2), resulting in tumour cell death via apoptosis.

Figure 24. (39) Didemnin B, (40) plitidepsin.

Halichondrin B

Halichondrin B (48) is a complex polyether that is isolated from marine animals such as sponges and tunicates. Halichondrins were first isolated from the Japanese sponge Halichondria okadai by Uemura et al. (1985) [29], and their structures were determined using X-ray crystallography. Subsequently, halichondrin B and several of its natural analogues were isolated from various unrelated sponges, including the Lissodendoryx sp.Phakellia carteri, and Axinella sp. However, they may also be obtained from several other species, especially fish . Halichondrin B, as well as palytoxin and maitotoxin, exhibit structural complexity and were synthesized by Aicher et al. (1991) [30]. Several studies have examined their mechanisms for cell toxicity, and it was discovered that the halichondrins are potent tubulin inhibitors that bind non-competitively to the vinca-binding site and cause a characteristic G2–M cell-cycle arrest through a concomitant disruption of the mitotic spindle. Exquisite anticancer activity of halichondrin B and homohalichondrin B against the murine cancer cells was reported in both culture and in vivo studies. These studies confirmed that both compounds are highly cytotoxic (IC50 values of 0.3 nM and 1 nM, respectively, against the L1210 murine leukaemia cells), causing the accumulation of cells arrested in mitosis at toxic concentrations. The studies also confirmed that both compounds inhibit the polymerisation of purified tubulin and microtubule assembly that is dependent on microtubule-associated proteins [31].

REFERENCES

  1. Gurib-Fakim, A. Medicinal plants: Traditions of yesterday and drugs of tomorrow. Mol. Asp. Med. 2006, 27, 93. [Google Scholar] [CrossRef] [PubMed]
  2. Om Prakash, Amit Kumar, Pawan Kumar, and Ajeet, “Anticancer Potential of Plants and Natural Products: A Review.” American Journal of Pharmacological Sciences 1, no. 6 (2013): 104-115. doi: 10.12691/ajps-1-6-1.
  3. Krishnamurthi K. Screening of natural products for anticancer and antidiabetic properties. Health Administrator. XX (1&2): 69, (2000)
  4. Ignacimuthu S, Ayyanar M, Sivaraman S.K., Ethnobotanical investigations among tribes in Madurai district of Tamil Nadu (India). Journal of Ethnobiology and Ethnomedicine, 2. 1. 2006.
  5.  Elujoba A. A., Odeleye O. M., Ogunyemi C. M., Traditional medicine development for medical and dental primary health care delivery system in Africa. African Journal of Traditional, Complementary and Alternative Medicines, 2. 46. 2005.
  6.  Tomlinson T. R., Akerele O., Medicinal plants: their role in health and biodiversity. University of Pennsylvania Press, Philadelphia, 1998.
  7.  Gordon M. C., David J., Plants as a source of anti-cancer agents. Journal of Ethnopharmacology, 100. 72. 2005.
  8. Canel, C.; Moraes, R.M.; Dayan, F.E.; Ferreira, D. Molecules of Interest Podophyllotoxin. Phytochemistry 2000, 54, 115–120. [Google Scholar] [CrossRef]
  9. Doussot, J.; Mathieu, V.; Colas, C.; Molinie, R.; Corbin, C.; Montguillon, J.; Moreno, Y.; Banuls, L.; Renouard, S.; Lamblin, F.; et al. Investigation of the lignan content in extracts from Linum, Callitris and Juniperus species in relation to their in vitro antiproliferative activities. Planta Med. 2017, 83, 574–581. [Google Scholar] [CrossRef] [PubMed]
  10. Gueritte F., Fahy J., The vinca alkaloids. In Anticancer Agents from Natural Products, edited by Cragg GM, Kingston DGI, Newman DJ. Brunner-Routledge Psychology Press, Taylor & Francis Group, Boca Raton, Chapter 7. 23. 2005.
  11. Isah, T. Natural Sources of Taxol. Br. J. Pharm. Res. 2015, 6, 214–227. [Google Scholar] [CrossRef]
  12. Lin, S.L.; Wei, T.; Lin, J.F.; Guo, L.Q.; Wu, G.P.; Wei, J.B.; Huang, J.J.; Ouyang, P.L. Bio-production of Baccatin III, an Important Precursor of Paclitaxel by a Cost-Effective Approach. Mol. Biotechnol. 2018, 60, 492–505. [Google Scholar] [CrossRef] [PubMed]
  13. Guastalla, J.P.; Dieras, V. The taxanes: Toxicity and quality of life considerations in advanced ovarian cancer. Br. J. Cancer 2003, 89, S16–S22. [Google Scholar] [CrossRef] [PubMed]
  14. Itokawa H., Ibraheim Z. Z, Ya F. Q., Takeya K., Anthraquinones, naphthohydroquinones and naphthohydroquinone dimmers from Rubia cordifolia and their cytotoxic activity. Chemical and Pharmaceutical Bulletin, 41(10). 1869. 1993.
  15. Hu, C.X.; Zuo, Z.L.; Xiong, B.; Ma, J.G.; Geng, M.Y.; Lin, L.P.; Jiang, H.L.; Ding, J. Salvicine functions as novel topoisomerase II poison by binding to ATP pocket. Mol. Pharmacol. 2006, 70, 1593–1601. [Google Scholar] [CrossRef] [PubMed]
  16. Deng, F.; Lu, J.J.; Liu, H.Y.; Lin, L.P.; Ding, J.; Zhang, J.S. Synthesis and antitumor activity of novel salvicine analogues. Chin. Chem. Lett. 2011, 22, 25–28. [Google Scholar] [CrossRef]
  17. Bhosale, S.H.; Nagle, V.L.; Jagtap, T.G. Antifouling potential of some marine organisms from India against species of Bacillus and Pseudomonas. Mar. Biotechnol. 2002, 4, 111–118. [Google Scholar] [CrossRef] [PubMed]
  18. Vischer, P.; Buddecke, E. Different action of heparin and fucoidan on arterial smooth muscle cell proliferation and thrombospondin and fibronectin metabolism. Eur. J. Cell Biol. 1991, 56, 407–414. [Google Scholar] [PubMed]
  19. Davidson, B.S. New dimensions in natural products research: Cultured marine microorganisms. Curr. Opin. Biotechnol. 1995, 6, 284–291. [Google Scholar] [CrossRef]
  20. Hoshino, O.; Murakata, M.; Yamada, K. A convenient synthesis of a bromotyrosine derived metabolite, psammaplin A, from psammaplysilla sp. Bioorg. Med. Chem. Lett. 1992, 2, 1561–1562. [Google Scholar] [CrossRef]
  21. Shim, J.S.; Lee, H.S.; Shin, J.; Kwon, H.J. Psammaplin A, a marine natural product, inhibits aminopeptidase N and suppresses angiogenesis in vitro. Cancer Lett 2004, 203, 163–169. [Google Scholar] [CrossRef] [PubMed]
  22. Garcia, J.; Franci, G.; Pereira, R.; Benedetti, R.; Nebbioso, A.; Rodríguez-Barrios, F.; Gronemeyer, H.; Altucci, L.; de Lera, A.R. Epigenetic profiling of the antitumor natural product psammaplin A and its analogues. Bioorg. Med. Chem. 2011, 19, 3637–3649. [Google Scholar] [CrossRef] [PubMed]
  23. Charkie, J. Psammaplin A: A Putative Adjuvant for DNA Damaging Therapies. J. Cancer Sci. Ther. 2014, 6, 505–509. [Google Scholar] [CrossRef]
  24. Nuijen, B.; Bouma, M.; Manada, C.; Jimeno, J.M.; Schellens, J.H.; Bult, A.; Beijnen, J.H. Pharmaceutical development of anticancer agents derived from marine sources. Anticancer Drugs 2000, 11, 793–811. [Google Scholar] [CrossRef] [PubMed]
  25. Ramanjulu, J.M.; Ding, X.; Joullie, M.M.; Li, W.R. Synthesis of a Reduced Ring Analog of Didemnin B. J. Org. Chem. 1997, 62, 4961–4969. [Google Scholar] [CrossRef]
  26. Potts, M.B.; McMillan, E.A.; Rosales, T.I.; Kim, H.S.; Ou, Y.H.; Toombs, J.E.; Brekken, R.A.; Minden, M.D.; MacMillan, J.B.; White, M.A. Mode of action and pharmacogenomic biomarkers for exceptional responders to didemnin B. Nat. Chem. Biol. 2015, 11, 401–408. [Google Scholar] [CrossRef] [PubMed] [Green Version]
  27. Vera, M.D.; Joullie, M.M. Natural products as probes of cell biology: 20 years of didemnin research. Med. Res. Rev. 2002, 22, 102–145. [Google Scholar] [CrossRef] [PubMed]
  28. Baker, M.A.; Grubb, D.R.; Lawen, A. Didemnin B induces apoptosis in proliferating but not resting peripheral blood mononuclear cells. Apoptosis 2002, 7, 407–412. [Google Scholar] [CrossRef] [PubMed]
  29. Uemura, D.; Takahashi, K.; Yamamoto, T.; Katayama, C.; Tanaka, J.; Okumura, Y.; Hirata, Y. Norhalichondrin A: An antitumor polyether macrolide from a marine sponge. J. Am. Chem. Soc. 1985, 107, 16–4796. [Google Scholar] [CrossRef]
  30. Aicher, T.D.; Buszek, K.R.; Fang, F.G.; Forsyth, C.J.; Jung, S.H.; Kishi, Y.; Matelich, M.C.; Scola, P.M.; Spero, D.M.; Yoon, S.K. Total synthesis of halichondrin B and norhalichondrin B. J. Am. Chem. Soc. 1992, 114, 3162–3164. [Google Scholar] [CrossRef]
  31. Bai, R.L.; Paull, K.D.; Herald, C.L.; Malspeis, L.; Pettit, G.R.; Hamel, E. Halichondrin B and homohalichondrin B, marine natural products binding in the Vinca domain of tubulin. Discovery of tubulin-based mechanism of action by analysis of differential cytotoxicity data. J. Biol. Chem. 1991, 266, 15882–15889. [Google Scholar] [PubMed].

Reference

  1. Gurib-Fakim, A. Medicinal plants: Traditions of yesterday and drugs of tomorrow. Mol. Asp. Med. 2006, 27, 93. [Google Scholar] [CrossRef] [PubMed]
  2. Om Prakash, Amit Kumar, Pawan Kumar, and Ajeet, “Anticancer Potential of Plants and Natural Products: A Review.” American Journal of Pharmacological Sciences 1, no. 6 (2013): 104-115. doi: 10.12691/ajps-1-6-1.
  3. Krishnamurthi K. Screening of natural products for anticancer and antidiabetic properties. Health Administrator. XX (1&2): 69, (2000)
  4. Ignacimuthu S, Ayyanar M, Sivaraman S.K., Ethnobotanical investigations among tribes in Madurai district of Tamil Nadu (India). Journal of Ethnobiology and Ethnomedicine, 2. 1. 2006.
  5.  Elujoba A. A., Odeleye O. M., Ogunyemi C. M., Traditional medicine development for medical and dental primary health care delivery system in Africa. African Journal of Traditional, Complementary and Alternative Medicines, 2. 46. 2005.
  6.  Tomlinson T. R., Akerele O., Medicinal plants: their role in health and biodiversity. University of Pennsylvania Press, Philadelphia, 1998.
  7.  Gordon M. C., David J., Plants as a source of anti-cancer agents. Journal of Ethnopharmacology, 100. 72. 2005.
  8. Canel, C.; Moraes, R.M.; Dayan, F.E.; Ferreira, D. Molecules of Interest Podophyllotoxin. Phytochemistry 2000, 54, 115–120. [Google Scholar] [CrossRef]
  9. Doussot, J.; Mathieu, V.; Colas, C.; Molinie, R.; Corbin, C.; Montguillon, J.; Moreno, Y.; Banuls, L.; Renouard, S.; Lamblin, F.; et al. Investigation of the lignan content in extracts from Linum, Callitris and Juniperus species in relation to their in vitro antiproliferative activities. Planta Med. 2017, 83, 574–581. [Google Scholar] [CrossRef] [PubMed]
  10. Gueritte F., Fahy J., The vinca alkaloids. In Anticancer Agents from Natural Products, edited by Cragg GM, Kingston DGI, Newman DJ. Brunner-Routledge Psychology Press, Taylor & Francis Group, Boca Raton, Chapter 7. 23. 2005.
  11. Isah, T. Natural Sources of Taxol. Br. J. Pharm. Res. 2015, 6, 214–227. [Google Scholar] [CrossRef]
  12. Lin, S.L.; Wei, T.; Lin, J.F.; Guo, L.Q.; Wu, G.P.; Wei, J.B.; Huang, J.J.; Ouyang, P.L. Bio-production of Baccatin III, an Important Precursor of Paclitaxel by a Cost-Effective Approach. Mol. Biotechnol. 2018, 60, 492–505. [Google Scholar] [CrossRef] [PubMed]
  13. Guastalla, J.P.; Dieras, V. The taxanes: Toxicity and quality of life considerations in advanced ovarian cancer. Br. J. Cancer 2003, 89, S16–S22. [Google Scholar] [CrossRef] [PubMed]
  14. Itokawa H., Ibraheim Z. Z, Ya F. Q., Takeya K., Anthraquinones, naphthohydroquinones and naphthohydroquinone dimmers from Rubia cordifolia and their cytotoxic activity. Chemical and Pharmaceutical Bulletin, 41(10). 1869. 1993.
  15. Hu, C.X.; Zuo, Z.L.; Xiong, B.; Ma, J.G.; Geng, M.Y.; Lin, L.P.; Jiang, H.L.; Ding, J. Salvicine functions as novel topoisomerase II poison by binding to ATP pocket. Mol. Pharmacol. 2006, 70, 1593–1601. [Google Scholar] [CrossRef] [PubMed]
  16. Deng, F.; Lu, J.J.; Liu, H.Y.; Lin, L.P.; Ding, J.; Zhang, J.S. Synthesis and antitumor activity of novel salvicine analogues. Chin. Chem. Lett. 2011, 22, 25–28. [Google Scholar] [CrossRef]
  17. Bhosale, S.H.; Nagle, V.L.; Jagtap, T.G. Antifouling potential of some marine organisms from India against species of Bacillus and Pseudomonas. Mar. Biotechnol. 2002, 4, 111–118. [Google Scholar] [CrossRef] [PubMed]
  18. Vischer, P.; Buddecke, E. Different action of heparin and fucoidan on arterial smooth muscle cell proliferation and thrombospondin and fibronectin metabolism. Eur. J. Cell Biol. 1991, 56, 407–414. [Google Scholar] [PubMed]
  19. Davidson, B.S. New dimensions in natural products research: Cultured marine microorganisms. Curr. Opin. Biotechnol. 1995, 6, 284–291. [Google Scholar] [CrossRef]
  20. Hoshino, O.; Murakata, M.; Yamada, K. A convenient synthesis of a bromotyrosine derived metabolite, psammaplin A, from psammaplysilla sp. Bioorg. Med. Chem. Lett. 1992, 2, 1561–1562. [Google Scholar] [CrossRef]
  21. Shim, J.S.; Lee, H.S.; Shin, J.; Kwon, H.J. Psammaplin A, a marine natural product, inhibits aminopeptidase N and suppresses angiogenesis in vitro. Cancer Lett 2004, 203, 163–169. [Google Scholar] [CrossRef] [PubMed]
  22. Garcia, J.; Franci, G.; Pereira, R.; Benedetti, R.; Nebbioso, A.; Rodríguez-Barrios, F.; Gronemeyer, H.; Altucci, L.; de Lera, A.R. Epigenetic profiling of the antitumor natural product psammaplin A and its analogues. Bioorg. Med. Chem. 2011, 19, 3637–3649. [Google Scholar] [CrossRef] [PubMed]
  23. Charkie, J. Psammaplin A: A Putative Adjuvant for DNA Damaging Therapies. J. Cancer Sci. Ther. 2014, 6, 505–509. [Google Scholar] [CrossRef]
  24. Nuijen, B.; Bouma, M.; Manada, C.; Jimeno, J.M.; Schellens, J.H.; Bult, A.; Beijnen, J.H. Pharmaceutical development of anticancer agents derived from marine sources. Anticancer Drugs 2000, 11, 793–811. [Google Scholar] [CrossRef] [PubMed]
  25. Ramanjulu, J.M.; Ding, X.; Joullie, M.M.; Li, W.R. Synthesis of a Reduced Ring Analog of Didemnin B. J. Org. Chem. 1997, 62, 4961–4969. [Google Scholar] [CrossRef]
  26. Potts, M.B.; McMillan, E.A.; Rosales, T.I.; Kim, H.S.; Ou, Y.H.; Toombs, J.E.; Brekken, R.A.; Minden, M.D.; MacMillan, J.B.; White, M.A. Mode of action and pharmacogenomic biomarkers for exceptional responders to didemnin B. Nat. Chem. Biol. 2015, 11, 401–408. [Google Scholar] [CrossRef] [PubMed] [Green Version]
  27. Vera, M.D.; Joullie, M.M. Natural products as probes of cell biology: 20 years of didemnin research. Med. Res. Rev. 2002, 22, 102–145. [Google Scholar] [CrossRef] [PubMed]
  28. Baker, M.A.; Grubb, D.R.; Lawen, A. Didemnin B induces apoptosis in proliferating but not resting peripheral blood mononuclear cells. Apoptosis 2002, 7, 407–412. [Google Scholar] [CrossRef] [PubMed]
  29. Uemura, D.; Takahashi, K.; Yamamoto, T.; Katayama, C.; Tanaka, J.; Okumura, Y.; Hirata, Y. Norhalichondrin A: An antitumor polyether macrolide from a marine sponge. J. Am. Chem. Soc. 1985, 107, 16–4796. [Google Scholar] [CrossRef]
  30. Aicher, T.D.; Buszek, K.R.; Fang, F.G.; Forsyth, C.J.; Jung, S.H.; Kishi, Y.; Matelich, M.C.; Scola, P.M.; Spero, D.M.; Yoon, S.K. Total synthesis of halichondrin B and norhalichondrin B. J. Am. Chem. Soc. 1992, 114, 3162–3164. [Google Scholar] [CrossRef]
  31. Bai, R.L.; Paull, K.D.; Herald, C.L.; Malspeis, L.; Pettit, G.R.; Hamel, E. Halichondrin B and homohalichondrin B, marine natural products binding in the Vinca domain of tubulin. Discovery of tubulin-based mechanism of action by analysis of differential cytotoxicity data. J. Biol. Chem. 1991, 266, 15882–15889. [Google Scholar] [PubMed].

Photo
Rutuja Mane
Corresponding author

Department of Pharmaceutical Chemistry Shivlingeshwar College of Pharmacy, Almala. Tq. Ausa, Dist. Latur-413520, Maharashtra (MH), India.

Photo
Dr. Dharashive Vishweshwar M.
Co-author

Department of Pharmaceutical Chemistry Shivlingeshwar College of Pharmacy, Almala. Tq. Ausa, Dist. Latur-413520, Maharashtra (MH), India.

Photo
Vaishnavi Siral
Co-author

Department of Pharmaceutical Chemistry Shivlingeshwar College of Pharmacy, Almala. Tq. Ausa, Dist. Latur-413520, Maharashtra (MH), India.

Photo
Bhakare Mahesh
Co-author

Department of Pharmaceutical Chemistry Shivlingeshwar College of Pharmacy, Almala. Tq. Ausa, Dist. Latur-413520, Maharashtra (MH), India.

Photo
Charan Shinde
Co-author

Department of Pharmaceutical Chemistry Shivlingeshwar College of Pharmacy, Almala. Tq. Ausa, Dist. Latur-413520, Maharashtra (MH), India.

Photo
Sonal Doltade
Co-author

Department of Pharmaceutical Chemistry Shivlingeshwar College of Pharmacy, Almala. Tq. Ausa, Dist. Latur-413520, Maharashtra (MH), India.

Rutuja Mane*, Dr. Dharashive Vishweshwar M., Vaishnavi Siral, Bhakare Mahesh, Charan Shinde, Sonal Doltade, Natural Plant Potential for Anticancer Activity, Int. J. of Pharm. Sci., 2025, Vol 3, Issue 6, 3630-3640. https://doi.org/10.5281/zenodo.15722671

More related articles
Cubosomes as Smart Nanocarriers: Advances in Targe...
Navya Sri Devi Rachapalli, Amulya Kandula, Dr. U. Annapurna, ...
Formulation And Evaluation of Ashwagandha Gel Usin...
Kshitija Khirodkra, Pranjali Rathod, Ankita Jadhav, Dr. Swati Des...
Molecular Docking, 3D-QSAR, and ADMET Study of 1,2...
Sonali Anardi, Mansi Pabale, Srushti Thasale, Omshree Konda, Avi...
Overcoming The Limitations Of Hydrogels: Exploring Superior Materials For Improv...
Kajal Kumari, K. Rajeswar Dutt, Arnab Roy, Abrarul Haque, Nur Hasan, Maheshwar Prasad Deep, Manav Ku...
Bioinformatics in Early detection and Prognosis of Cancer...
Md. Solayman Hossain, Farha Matin Juliana, ...
Related Articles
Phytotherapeutic Prospects of Neolamarckia cadamba: Mechanistic Insights into it...
Satyaraj D. Ombase, Sourabh S. Khot, Athashree K. Pawar, Abhishek M. Salunkhe, Somraj B.Nangare, ...
Tradition Healing Wisdom: A Study on Tribal Medicine Practices and Medicinal Pla...
V. Kasi Viswanadham, DR. T. K. V. Kesava Rao, A. Venkateswara Rao, S. Lakshmi Kavya, S. Divya Sruthi...
Formulation And Evaluation of Sustained Release Matrix Tablets A Review...
Muni Raja Lakshmi K, Naseema Shaik, Lavanya E, Venkata Rao Gadde, ...
Formulation And Evaluation Of Herbal Ointment...
Ritika Manjunath Revankar, Dr. N. B chougule , ...
Cubosomes as Smart Nanocarriers: Advances in Targeted Drug Delivery and Anticanc...
Navya Sri Devi Rachapalli, Amulya Kandula, Dr. U. Annapurna, ...
More related articles
Cubosomes as Smart Nanocarriers: Advances in Targeted Drug Delivery and Anticanc...
Navya Sri Devi Rachapalli, Amulya Kandula, Dr. U. Annapurna, ...
Formulation And Evaluation of Ashwagandha Gel Using for Treatment of Acne...
Kshitija Khirodkra, Pranjali Rathod, Ankita Jadhav, Dr. Swati Deshmukh, ...
Molecular Docking, 3D-QSAR, and ADMET Study of 1,2,3-Triazole Derivatives for Mu...
Sonali Anardi, Mansi Pabale, Srushti Thasale, Omshree Konda, Avinash Kadale, Sahil Galinde, ...
Cubosomes as Smart Nanocarriers: Advances in Targeted Drug Delivery and Anticanc...
Navya Sri Devi Rachapalli, Amulya Kandula, Dr. U. Annapurna, ...
Formulation And Evaluation of Ashwagandha Gel Using for Treatment of Acne...
Kshitija Khirodkra, Pranjali Rathod, Ankita Jadhav, Dr. Swati Deshmukh, ...
Molecular Docking, 3D-QSAR, and ADMET Study of 1,2,3-Triazole Derivatives for Mu...
Sonali Anardi, Mansi Pabale, Srushti Thasale, Omshree Konda, Avinash Kadale, Sahil Galinde, ...